Low-Cost Thermohygrometers to Assess Thermal Comfort in the Built Environment: A Laboratory Evaluation of Their Measurement Performance
Abstract
:1. Introduction
1.1. Reliability of Temperature and Relative Humidity Low-Cost Sensors
1.2. Thermal Comfort in a Human-Centered Perspective
- Each user has their perception when exposed to certain environmental stimuli;
- Each user has their own behavioral, physiological, and psychological responses to environmental stimuli;
- Each user has an environmental quality preference, which depends not only on the environmental stimuli but also on other external factors (e.g., gender, age, culture, expectations).
1.3. Thermal Comfort in a Multi-Domain Perspective
2. Materials and Methods
2.1. Hardware and Software Configuration
- Arduino Mega 2560 Rev3;
- Arduino Wireless SD shield;
- RTC module based on DS1307 chip;
- DHT22 air temperature and relative humidity sensor;
- DHT11 air temperature and relative humidity sensor;
- DHT20 air temperature and relative humidity sensor;
- SHT85 air temperature and relative humidity sensor;
- SHTC3 air temperature and relative humidity sensor;
- SCD30 sensor for CO2 concentration, air temperature and relative humidity;
- BME680 sensor for pressure, air temperature and relative humidity.
2.2. Data Processing and Analysis
- Scenario 1: air-conditioned indoor spaces in winter and PMV calculation;
- Scenario 2: outdoor climate in summer and UTCI calculation.
3. Results
3.1. Air Temperature and Relative Humidity of the Four Reference Sensors
3.2. Results of Test Lab of Air Temperature from Low-Cost Sensors
3.3. Results of Test Lab of Relative Humidity from Low-Cost Sensors
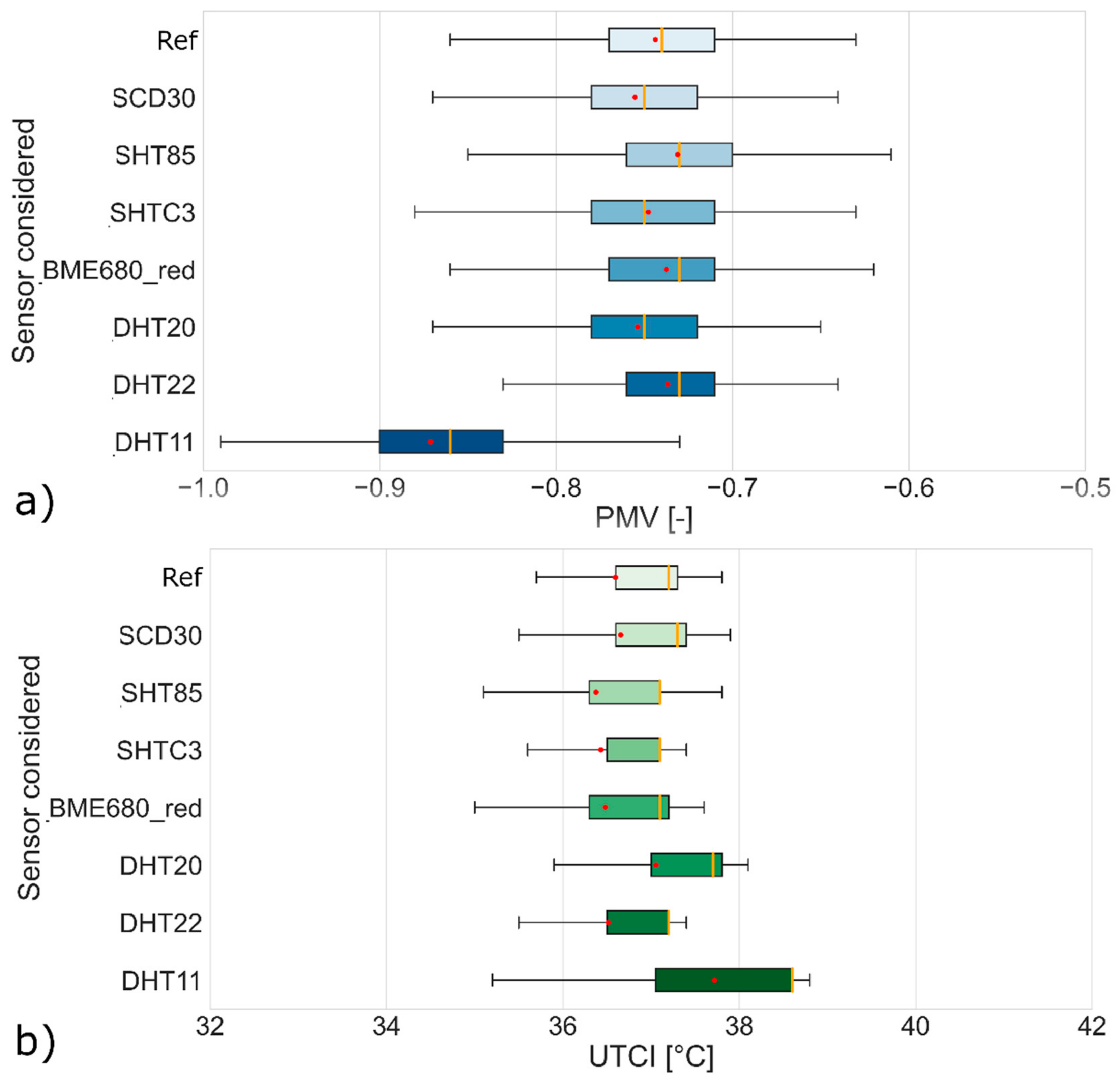
3.4. Thermal Comfort Index Comparison
- The main steps of a procedure for evaluating low-cost sensors in a controlled environment by direct comparison with reference sensors were described; they can be summarized as follows:
- A guard ring of reference sensors must be considered around the sensors to be analyzed to eliminate possible spatial differences in the measured variables. The desired accuracy for these sensors could be at least ±0.2 °C for air temperatures and at least ±3% for relative humidity for thermal comfort assessment.
- The plane on which the different sensors are placed should be as small as possible to avoid spatial differences in the measured variables.
- Consider possible hot spots as well, the presence of which should be checked with a thermographic camera when the sensors are working, and determine the position of the reference sensors to avoid overheating effects.
- Determine the ranges of air temperature and relative humidity that are consistent with the scope of the research.
- Define the number of cycles in the climatic chamber in accordance with the scope of the research. If is not possible to carry out the analysis for longer periods, it would be useful to repeat the test for a shorter period before and after the research study.
- Compare the performance of the low-cost sensors with the average values recorded by the reference sensors, and possibly apply a simple regression analysis to better match the raw data from low-cost sensors with that of reference sensors.
- Low-cost sensors are not necessarily less accurate than professional sensors, but they need more attention and initial calibration;
- Except for DHT11, low-cost sensors have an extremely linear behavior compared to professional sensors, and if you determine the regression equation, the derived results in terms of PMV and UTCI can be very satisfactory for all the sensors considered.
4. Discussion
5. Conclusions
Author Contributions
Funding
Institutional Review Board Statement
Informed Consent Statement
Data Availability Statement
Conflicts of Interest
References
- Temperature scales and temperature fixed points. In The Art of Cryogenics; Elsevier: Amsterdam, The Netherlands, 2008; pp. 175–191.
- Schurer, K. Comparison of Sensors for Measurement of Air Humidity. In Properties of Water in Foods; Springer: Dordrecht, The Netherlands, 1985; pp. 647–660. [Google Scholar]
- Fox, S. Third Wave Do-It-Yourself (DIY): Potential for prosumption, innovation, and entrepreneurship by local populations in regions without industrial manufacturing infrastructure. Technol. Soc. 2014, 39, 18–30. [Google Scholar] [CrossRef]
- Roelands, M.; Plomp, J.; Mansilla, D.C.; Velasco, J.R.; Salhi, I.; Lee, G.M.; Crespi, N.; dos Santos, F.V.; Vachaudez, J.; Bettens, F.; et al. The DiY Smart Experiences Project. In Architecting the Internet of Things; Springer: Berlin/Heidelberg, Germany, 2011; pp. 279–315. [Google Scholar]
- Gubbi, J.; Buyya, R.; Marusic, S.; Palaniswami, M. Internet of Things (IoT): A vision, architectural elements, and future directions. Futur. Gener. Comput. Syst. 2013, 29, 1645–1660. [Google Scholar] [CrossRef] [Green Version]
- Kim, T.; Shin, D.-H. Social platform innovation of open source hardware in South Korea. Telemat. Inform. 2016, 33, 217–226. [Google Scholar] [CrossRef]
- Pearce, J.M. Open-Source Lab: How to Build Your Own Hardware and Reduce Research Costs. In Open-Source Lab; Elsevier: Amsterdam, The Netherlands, 2014. [Google Scholar] [CrossRef]
- Chu, M.; Song, Y. Analysis of network security and privacy security based on AI in IOT environment. In Proceedings of the 2021 IEEE 4th International Conference on Information Systems and Computer Aided Education (ICISCAE), Dalian, China, 24–26 September 2021; pp. 390–393. [Google Scholar]
- Xin, Z. Research on Network Security and Privacy Protection in the Background of Big Data. Netw. Secur. Technol. Appl. 2020, 518–521. [Google Scholar] [CrossRef]
- Tzafestas, S.G. Synergy of IoT and AI in Modern Society: The Robotics and Automation Case. Robot. Autom. Eng. J. 2018, 3, 1–15. [Google Scholar] [CrossRef]
- Salamone, F.; Masullo, M.; Sibilio, S. Wearable Devices for Environmental Monitoring in the Built Environment: A Systematic Review. Sensors 2021, 21, 4727. [Google Scholar] [CrossRef]
- Zeng, S.; Sun, H.; Park, C.; Zhang, M.; Zhu, M.; Yan, M.; Chov, N.; Li, E.; Smith, A.T.; Xu, G.; et al. Multi-stimuli responsive chromism with tailorable mechanochromic sensitivity for versatile interactive sensing under ambient conditions. Mater. Horiz. 2020, 7, 164–172. [Google Scholar] [CrossRef]
- De Vecchi, R.; Ripper, J.D.S.C.; Roy, D.; Breton, L.; Marciano, A.G.; De Souza, P.M.B.; Corrêa, M.D.P. Using wearable devices for assessing the impacts of hair exposome in Brazil. Sci. Rep. 2019, 9, 13357. [Google Scholar] [CrossRef] [Green Version]
- Wang, S.; Richardson, M.B.; Wu, C.Y.H.; Cholewa, C.D.; Lungu, C.T.; Zaitchik, B.F.; Gohlke, J.M. Estimating Occupational Heat Exposure from Personal Sampling of Public Works Employees in Birmingham, Alabama. J. Occup. Environ. Med. 2019, 61, 518–524. [Google Scholar] [CrossRef]
- Antolín, D.; Medrano, N.; Calvo, B.; Pérez, F. A wearable wireless sensor network for indoor smart environment monitoring in safety applications. Sensors 2017, 17, 365. [Google Scholar] [CrossRef]
- Nakayoshi, M.; Kanda, M.; Shi, R.; de Dear, R. Outdoor thermal physiology along human pathways: A study using a wearable measurement system. Int. J. Biometeorol. 2015, 59, 503–515. [Google Scholar] [CrossRef] [PubMed]
- Frampton, T.H.; Tiele, A.; Covington, J.A. Development of a Personalised Environmental Quality Monitoring System (PONG). IEEE Sens. J. 2021, 21, 15230–15236. [Google Scholar] [CrossRef]
- Vajs, I.; Drajic, D.; Gligoric, N.; Radovanovic, I.; Popovic, I. Developing Relative Humidity and Temperature Corrections for Low-Cost Sensors Using Machine Learning. Sensors 2021, 21, 3338. [Google Scholar] [CrossRef]
- Moghavvemi, M.; Ng, K.E.; Soo, C.Y.; Tan, S.Y. A reliable and economically feasible remote sensing system for temperature and relative humidity measurement. Sens. Actuators A Phys. 2005, 117, 181–185. [Google Scholar] [CrossRef]
- Demanega, I.; Mujan, I.; Singer, B.C.; Anđelković, A.S.; Babich, F.; Licina, D. Performance assessment of low-cost environmental monitors and single sensors under variable indoor air quality and thermal conditions. Build. Environ. 2021, 187, 107415. [Google Scholar] [CrossRef]
- Mei, H.; Han, P.; Wang, Y.; Zeng, N.; Liu, D.; Cai, Q.; Deng, Z.; Wang, Y.; Pan, Y.; Tang, X. Field Evaluation of Low-Cost Particulate Matter Sensors in Beijing. Sensors 2020, 20, 4381. [Google Scholar] [CrossRef] [PubMed]
- Zhao, Q.; Lian, Z.; Lai, D. Thermal comfort models and their developments: A review. Energy Built Environ. 2021, 2, 21–33. [Google Scholar] [CrossRef]
- Tanabe, S.-I.; Haneda, M.; Nishihara, N. Workplace productivity and individual thermal satisfaction. Build. Environ. 2015, 91, 42–50. [Google Scholar] [CrossRef]
- Uzelac, A.; Gligoric, N.; Krco, S. A comprehensive study of parameters in physical environment that impact students’ focus during lecture using Internet of Things. Comput. Hum. Behav. 2015, 53, 427–434. [Google Scholar] [CrossRef]
- Salamone, F.; Belussi, L.; Currò, C.; Danza, L.; Ghellere, M.; Guazzi, G.; Lenzi, B.; Megale, V.; Meroni, I. Integrated method for personal thermal comfort assessment and optimization through users’ feedback, IoT and machine learning: A case study. Sensors 2018, 18, 1602. [Google Scholar] [CrossRef] [Green Version]
- Salamone, F.; Belussi, L.; Currò, C.; Danza, L.; Ghellere, M.; Guazzi, G.; Lenzi, B.; Megale, V.; Meroni, I. Application of IoT and Machine Learning techniques for the assessment of thermal comfort perception. Energy Procedia 2018, 148, 798–805. [Google Scholar] [CrossRef]
- Mackey, C.W. Pan Climatic Humans: Shaping Thermal Habits in an Unconditioned Society. Ph.D. Thesis, Massachusetts Institute of Technology, Cambridge, MA, USA, 2015. [Google Scholar]
- Dieffenderfer, J.; Goodell, H.; Mills, S.; McKnight, M.; Yao, S.; Lin, F.; Beppler, E.; Bent, B.; Lee, B.; Misra, V.; et al. Low-Power Wearable Systems for Continuous Monitoring of Environment and Health for Chronic Respiratory Disease. IEEE J. Biomed. Health Inform. 2016, 20, 1251–1264. [Google Scholar] [CrossRef] [PubMed]
- Vellei, M.; de Dear, R.; Inard, C.; Jay, O. Dynamic thermal perception: A review and agenda for future experimental research. Build. Environ. 2021, 205, 108269. [Google Scholar] [CrossRef]
- Pioppi, B.; Pigliautile, I.; Pisello, A.L. Data collected by coupling fix and wearable sensors for addressing urban microclimate variability in an historical Italian city. Data Brief 2020, 29, 105322. [Google Scholar] [CrossRef]
- Cureau, R.J.; Pigliautile, I.; Pisello, A.L. A New Wearable System for Sensing Outdoor Environmental Conditions for Monitoring Hyper-Microclimate. Sensors 2022, 22, 502. [Google Scholar] [CrossRef]
- European Union Complete Guide to GDPR Compliance. Available online: https://gdpr.eu (accessed on 21 January 2022).
- De Capitani di Vimercati, S.; Genovese, A.; Livraga, G.; Piuri, V.; Scotti, F. Privacy and security in environmental monitoring systems. In Computer and Information Security Handbook; Elsevier: Amsterdam, The Netherlands, 2013; pp. 835–853. [Google Scholar]
- Ramos, J.L.H.; Skarmeta, A. Security and Privacy in the Internet of Things: Challenges and Solutions; IOS Press: Amsterdam, The Netherlands, 2020; ISBN 978-1-64368-053-8. [Google Scholar]
- Iachini, T.; Maffei, L.; Masullo, M.; Senese, V.P.; Rapuano, M.; Pascale, A.; Sorrentino, F.; Ruggiero, G. The experience of virtual reality: Are individual differences in mental imagery associated with sense of presence? Cogn. Process. 2019, 20, 291–298. [Google Scholar] [CrossRef]
- Coulby, G.; Clear, A.; Jones, O.; Godfrey, A. A Scoping Review of Technological Approaches to Environmental Monitoring. Int. J. Environ. Res. Public Health 2020, 17, 3995. [Google Scholar] [CrossRef]
- Schweiker, M.; Ampatzi, E.; Andargie, M.S.; Andersen, R.K.; Azar, E.; Barthelmes, V.M.; Berger, C.; Bourikas, L.; Carlucci, S.; Chinazzo, G.; et al. Review of multi-domain approaches to indoor environmental perception and behaviour. Build. Environ. 2020, 176, 106804. [Google Scholar] [CrossRef]
- Cabanac, M. Sensory Pleasure. Q. Rev. Biol. 1979, 54, 1–29. [Google Scholar] [CrossRef]
- Vellei, M.; Chinazzo, G.; Zitting, K.M.; Hubbard, J. Human thermal perception and time of day: A review. Temperature 2021, 8, 320–341. [Google Scholar] [CrossRef]
- Abdelrahman, M.M.; Chong, A.; Miller, C. Personal thermal comfort models using digital twins: Preference prediction with BIM-extracted spatial–temporal proximity data from Build2Vec. Build. Environ. 2022, 207, 108532. [Google Scholar] [CrossRef]
- Ulpiani, G.; Nazarian, N.; Zhang, F.; Pettit, C.J. Towards a Living Lab for Enhanced Thermal Comfort and Air Quality: Analyses of Standard Occupancy, Weather Extremes, and COVID-19 Pandemic. Front. Environ. Sci. 2021, 9, 9. [Google Scholar] [CrossRef]
- Miranda, M.T.; Romero, P.; Valero-Amaro, V.; Arranz, J.I.; Montero, I. Ventilation conditions and their influence on thermal comfort in examination classrooms in times of COVID-19. A case study in a Spanish area with Mediterranean climate. Int. J. Hyg. Environ. Health 2022, 240, 113910. [Google Scholar] [CrossRef] [PubMed]
- Pietrogrande, M.C.; Casari, L.; Demaria, G.; Russo, M. Indoor Air Quality in Domestic Environments during Periods Close to Italian COVID-19 Lockdown. Int. J. Environ. Res. Public Health 2021, 18, 4060. [Google Scholar] [CrossRef] [PubMed]
- Arduino Mega 2560 Rev3—Arduino Official Store. Available online: https://store.arduino.cc/products/arduino-mega-2560-rev3 (accessed on 26 January 2022).
- Arduino Wireless SD Shield|Arduino Documentation|Arduino Documentation. Available online: https://docs.arduino.cc/retired/shields/arduino-wireless-sd-shield (accessed on 26 January 2022).
- DS1307 Datasheet. Available online: https://cdn.sparkfun.com/datasheets/BreakoutBoards/DS1307.pdf (accessed on 26 January 2022).
- DHT22 Temperature and Humidity Sensor. Available online: https://www.adafruit.com/product/385 (accessed on 26 January 2022).
- DHT11 Temperature and Humidity Sensor. Available online: https://www.microbot.it/documents/mr003-005-2_datasheet.pdf (accessed on 26 January 2022).
- DHT20 Temperature and Humidity Sensor. Available online: https://cdn.sparkfun.com/assets/8/a/1/5/0/DHT20.pdf (accessed on 26 January 2022).
- SHT85 Temperature and Humidity Sensor. Available online: https://create.arduino.cc/projecthub/sd9martins/sht85-arduino-temperature-and-humidity-sensor-6e727d (accessed on 26 January 2022).
- SHTC3 Temperature and Humidity Sensor. Available online: https://github.com/sparkfun/SparkFun_SHTC3_Arduino_Library (accessed on 26 January 2022).
- SCD30 Temperature, Humidity and CO2 Concentration Sensor. Available online: https://cdn.sparkfun.com/assets/4/8/8/7/7/Sensirion_CO2_Sensors_SCD30_Datasheet.pdf (accessed on 26 January 2022).
- BME680 Temperature, Humidity, Pressure and Air Quality Sensor. Available online: https://cdn.sparkfun.com/assets/8/a/1/c/f/BME680-Datasheet.pdf (accessed on 26 January 2022).
- Reference Sensor Case. Available online: http://www.nesasrl.eu/media/pdf/TAI.pdf (accessed on 14 February 2022).
- Technical Data of the Reference Sensor. Available online: http://www.nesasrl.eu/media/pdf/UTAI.pdf (accessed on 9 February 2022).
- Arduino Wire Library. Available online: http://arduino.cc/en/reference/wire (accessed on 28 January 2022).
- SD Library. Available online: https://www.arduino.cc/en/reference/SD%0Ahttps://www.arduino.cc/en/Tutorial/Datalogger (accessed on 28 January 2022).
- RTC Library. Available online: https://github.com/adafruit/RTClib (accessed on 29 January 2022).
- DHT11 and 22 Library. Available online: https://github.com/adafruit/DHT-sensor-library (accessed on 29 January 2022).
- DHT20 Library. Available online: https://github.com/DFRobot/DFRobot_DHT20 (accessed on 29 January 2022).
- SHT85 Library. Available online: https://github.com/RobTillaart/SHT85 (accessed on 29 January 2022).
- SHTC3 Library. Available online: https://github.com/adafruit/Adafruit_SHTC3 (accessed on 29 January 2022).
- SCD30 Library. Available online: https://github.com/sparkfun/SparkFun_SCD30_Arduino_Library (accessed on 29 January 2022).
- BME680 Library. Available online: https://github.com/Zanduino/BME680 (accessed on 29 January 2022).
- Salamone, F.; Danza, L.; Meroni, I.; Pollastro, M. A Low-Cost Environmental Monitoring System: How to Prevent Systematic Errors in the Design Phase through the Combined Use of Additive Manufacturing and Thermographic Techniques. Sensors 2017, 17, 828. [Google Scholar] [CrossRef] [Green Version]
- Pisello, A.L.; Pigliautile, I.; Andargie, M.; Berger, C.; Bluyssen, P.M.; Carlucci, S.; Chinazzo, G.; Deme Belafi, Z.; Dong, B.; Favero, M.; et al. Test rooms to study human comfort in buildings: A review of controlled experiments and facilities. Renew. Sustain. Energy Rev. 2021, 149, 111359. [Google Scholar] [CrossRef]
- Ramezani, B.; Tadeu, A.; Jesus, T.; Brett, M.; Mendes, J. Evaluation of the thermofluidic performance of climatic chambers: Numerical and experimental studies. Fluids 2021, 6, 433. [Google Scholar] [CrossRef]
- Coefficient of Determination R2, Scikit-Learn Webpage. Available online: https://scikit-learn.org/stable/modules/model_evaluation.html#r2-score-the-coefficient-of-determination (accessed on 27 January 2022).
- Root Mean Squared Error RMSE, Scikit-Learn Webpage. Available online: https://scikit-learn.org/stable/modules/generated/sklearn.metrics.mean_squared_error.html (accessed on 27 January 2022).
- Seaborn Python Package. Available online: https://seaborn.pydata.org/ (accessed on 29 January 2022).
- Matplotlib Python Package. Available online: https://matplotlib.org/ (accessed on 29 January 2022).
- Scipy Python Package. Available online: https://scipy.org/ (accessed on 29 January 2022).
- Numpy Python Package. Available online: https://numpy.org/ (accessed on 29 January 2022).
- Coefficient of Determination R2, Numpy Calculation, Keras Webpage. Available online: https://www.kite.com/python/answers/how-to-calculate-r-squared-with-numpy-in-python (accessed on 27 January 2022).
- Pandas Python Package. Available online: https://pandas.pydata.org/pandas-docs/stable/index.html (accessed on 29 January 2022).
- Tartarini, F.; Schiavon, S. pythermalcomfort: A Python package for thermal comfort research. SoftwareX 2020, 12, 100578. [Google Scholar] [CrossRef]
- Pythermalcomfort Python Package Repository. Available online: https://github.com/CenterForTheBuiltEnvironment/pythermalcomfort (accessed on 29 January 2022).
- Fanger, P. Calculation of Thermal Comfort, Introduction of a Basic Comfort Equation. ASHRAE Trans. 1967, 73, III.4.1–III.4.20. [Google Scholar]
- Ole Fanger, P.; Toftum, J. Extension of the PMV model to non-air-conditioned buildings in warm climates. Energy Build. 2002, 34, 533–536. [Google Scholar] [CrossRef]
- Bröde, P.; Błazejczyk, K.; Fiala, D.; Havenith, G.; Holmér, I.; Jendritzky, G.; Kuklane, K.; Kampmann, B. The universal thermal climate index UTCI compared to ergonomics standards for assessing the thermal environment. Ind. Health 2013, 51, 16–24. [Google Scholar] [CrossRef] [PubMed] [Green Version]
- Fiala, D.; Havenith, G.; Bröde, P.; Kampmann, B.; Jendritzky, G. UTCI-Fiala multi-node model of human heat transfer and temperature regulation. Int. J. Biometeorol. 2012, 56, 429–441. [Google Scholar] [CrossRef] [PubMed] [Green Version]
- Hoffmann, P.; Krueger, O.; Schlünzen, K.H. A statistical model for the urban heat island and its application to a climate change scenario. Int. J. Climatol. 2012, 32, 1238–1248. [Google Scholar] [CrossRef]
- Luo, M.; Lau, N. Increasing Heat Stress in Urban Areas of Eastern China: Acceleration by Urbanization. Geophys. Res. Lett. 2018, 45, 45. [Google Scholar] [CrossRef]
- García-Herrera, R.; Díaz, J.; Trigo, R.M.; Luterbacher, J.; Fischer, E.M. A Review of the European Summer Heat Wave of 2003. Crit. Rev. Environ. Sci. Technol. 2010, 40, 267–306. [Google Scholar] [CrossRef]
- Sulikowska, A.; Wypych, A. Summer temperature extremes in Europe: How does the definition affect the results? Theor. Appl. Climatol. 2020, 141, 19–30. [Google Scholar] [CrossRef] [Green Version]
- Setiawati, M.D.; Jarzebski, M.P.; Gomez-Garcia, M.; Fukushi, K. Accelerating Urban Heating under Land-Cover and Climate Change Scenarios in Indonesia: Application of the Universal Thermal Climate Index. Front. Built Environ. 2021, 7, 65. [Google Scholar] [CrossRef]











| Sensor Name [Ref.] | Range Measurement | Resolution | Accuracy | Response Time | Working Temperature | Physical Size | Approximate Price |
|---|---|---|---|---|---|---|---|
| DHT22 [47] | Ta: −40 ÷ 80 °C RH: 0 ÷ 100% | Ta: 0.1 °C RH: 0.1% | Ta: ±0.5 °C RH: ±2% | - | - | 15.1 × 25.1 × 7.7 mm | 10 € |
| DHT11 [48] | Ta: −0 ÷ 50 °C RH: 20 ÷ 90% | - | Ta: ±2 °C RH: ±5% | - | - | 17.78 × 26.67 × 7.7 mm | 5 € |
| DHT20 [49] | Ta: −40 ÷ 80 °C RH: 0 ÷ 100% | Ta: 0.1 °C RH:0.1% | Ta: ±0.5 °C RH: ±3% | <8 s | - | 12.6 × 16.10 × 5.8 mm | 5 € |
| SHT85 [50] | Ta: −40 ÷ 105 °C RH: 0÷100% | Ta: 0.01 °C RH: 0.01% | Ta: ±0.1 °C RH: ±1.5% | Ta: >2 s RH: 8 s | - | 4.9 × 17.8 × 2.1 mm | 35 € |
| SHTC3 [51] | Ta: −40 ÷ 125 °C RH: 0 ÷ 100% | Ta: 0.01 °C RH: 0.01% | Ta: ±0.2 °C RH: ±2% | Ta: <5 s RH: 8 s | - | 25.4 × 25.4 × 5 mm | 10 € |
| SCD30 [52] | Ta: −40 ÷ 70 °C RH: 0 ÷ 100% | Ta: 0.01 °C RH: 0.01% | Ta: ±(0.4 °C + 0.023 × (T [°C] – 25 °C)) RH: ±3% | Ta: >10 s RH: 8 s | 23.4 × 35 × 7 mm | 60 € | |
| BME680 [53] | Ta: − 40 ÷ 85 °C RH: 0 ÷ 100% | Ta: 0.01 °C RH: 0.008% | Ta: ±0.5 °C RH: ±3% | Ta: >10 s RH: 8 s | - | 25.4 × 25.4 × 5 mm | 20 € |
| Ref [54,55] | Ta: −40 ÷ 80 °C RH: 0 ÷ 100% | Ta: 0.015 °C RH: 0.1% | Ta: ±0.1 a 0 °C RH: ±2% | Ta: <60 s RH: <100 s | Ta: −40 ÷ 80 °C | 12 × 73 mm | 450 € |
| Variable (U.M.) | Description | Scenario 1: Indoors | Scenario 2: Outdoors |
|---|---|---|---|
| - | Selection criteria | 19 °C < Ta_ref < 21 °C 35% < RH_ref < 55% | Ta_ref > 35 °C |
| Ta, dry bulb air temperature (°C) | Count | 565 | 691 |
| Mean | 20.43 | 40.03 | |
| Dev. st. | 0.22 | 1.59 | |
| RH, relative humidity (%) | Count | 565 | 691 |
| Mean | 42.11 | 3.30 | |
| Dev. st. | 5.15 | 3.64 | |
| V, air velocity (m/s) | - | 0.1 | 1 |
| Tr, mean radiant temperature (°C) | - | 21 | 35 |
| Iclo, clothing insulation (clo) | - | 1 | Default as defined by UTCI clothing model |
| Met, metabolic rate (met) | - | 1 | Fixed value as defined by UTCI model: 2.32 |
| Sensor | Supply Voltage [V] | Max Supply Current [mA] | Max Power Consumption [mW] |
|---|---|---|---|
| DHT22 | 5 | 1.5 | 7.5 |
| DHT11 | 5 | 2.5 | 12.5 |
| DHT20 | 5 | 0.98 | 4.9 |
| SHT85 | 5 | 1.5 | 7.5 |
| SHTC3 | 3.3 | 0.9 | 2.9 |
| SCD30 | 3.3 | 75 | 247.5 |
| BME680 | 3.3 | 12 | 39.6 |
Publisher’s Note: MDPI stays neutral with regard to jurisdictional claims in published maps and institutional affiliations. |
© 2022 by the authors. Licensee MDPI, Basel, Switzerland. This article is an open access article distributed under the terms and conditions of the Creative Commons Attribution (CC BY) license (https://creativecommons.org/licenses/by/4.0/).
Share and Cite
Salamone, F.; Chinazzo, G.; Danza, L.; Miller, C.; Sibilio, S.; Masullo, M. Low-Cost Thermohygrometers to Assess Thermal Comfort in the Built Environment: A Laboratory Evaluation of Their Measurement Performance. Buildings 2022, 12, 579. https://doi.org/10.3390/buildings12050579
Salamone F, Chinazzo G, Danza L, Miller C, Sibilio S, Masullo M. Low-Cost Thermohygrometers to Assess Thermal Comfort in the Built Environment: A Laboratory Evaluation of Their Measurement Performance. Buildings. 2022; 12(5):579. https://doi.org/10.3390/buildings12050579
Chicago/Turabian StyleSalamone, Francesco, Giorgia Chinazzo, Ludovico Danza, Clayton Miller, Sergio Sibilio, and Massimiliano Masullo. 2022. "Low-Cost Thermohygrometers to Assess Thermal Comfort in the Built Environment: A Laboratory Evaluation of Their Measurement Performance" Buildings 12, no. 5: 579. https://doi.org/10.3390/buildings12050579
APA StyleSalamone, F., Chinazzo, G., Danza, L., Miller, C., Sibilio, S., & Masullo, M. (2022). Low-Cost Thermohygrometers to Assess Thermal Comfort in the Built Environment: A Laboratory Evaluation of Their Measurement Performance. Buildings, 12(5), 579. https://doi.org/10.3390/buildings12050579

