Two-Stage Lifecycle Energy Optimization of Mid-Rise Residential Buildings with Building-Integrated Photovoltaic and Alternative Composite Façade Materials
Abstract
:1. Introduction
1.1. Study Background
1.2. Literature Review
1.3. Objectives and Novelty of Study
2. Methodology
2.1. Case Study Building Model
2.2. Low-Energy Design Measures
2.3. Climate Data
2.4. Energy Analysis
2.5. Optimization
3. Results and Discussion
3.1. Stage-One Optimization
3.2. Stage-Two Optimization
4. Conclusions
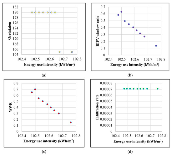
- Based on the stage-one optimization, the optimal design solution which maximizes PV energy generation and minimizes operational energy use is mainly south oriented. The coupling of WWR and prefabricated BIPV window is identified to have a much higher influence on the power supply than operational energy. The increase in the BIPV window area leads to a corresponding increase in the PV power supply but a low window u-value which increases the cooling load in return. Notwithstanding, the rooftop PV alone contributes to nearly 80% of the PV energy supply while the prefabricated BIPV window contributes to about 20% of the PV power supply.
- The joint optimization of operational and embodied energy is proven a more efficient method to reduce the whole lifecycle energy use. Specifically, the different façade types with a wide range of embodied energy values are capable of achieving very similar optimal operational energy. Therefore, a sub-optimal design solution may be selected if not considered from a lifecycle perspective. From the perspective of the different façades explored, it is realized that a slight reduction in the thickness of cementitious materials can reduce the embodied energy without significantly affecting the thermal mass and therefore operational energy. Similarly, an increase in the thicknesses does not necessarily guarantee a decrease in operational energy but increases the embodied energy. Regarding the composite façades with insulation materials, an increase in the insulation thickness significantly reduces operational energy. However, this could also have a counteracting impact on the whole lifecycle energy due to the exponential increase in embodied energy.
- The lifecycle energy performance of the explored façade is found to vary significantly among the three regions explored with increased performance in the order of Ghana, Burkina Faso, and Nigeria. Particularly their performance at the operational stage varies significantly due to the variation in weather conditions. Additionally, the different modes of material production, transportation, and construction processes impact embodied energy. Hence it is necessary to pay attention to the specificities of the evaluated region. Overall, the first stage of the optimization reduced the total lifecycle building energy use by 26.78%. Cumulatively, over 24.59, 33.33, and 36.93% energy reduction are achieved for Ghana, Burkina Faso, and Nigeria, respectively.
Author Contributions
Funding
Data Availability Statement
Acknowledgments
Conflicts of Interest
Abbreviations
| ASHRAE | American Society of Heating, Refrigerating and Air Conditioning Engineers | 
| BIPV | Building-integrated photovoltaics | 
| PV | Photovoltaics | 
| WWR | Window-to-wall ratio | 
| CMBF | Compressed mud block façade | 
| CV(RMSE) | Coefficient of variation of root mean square error | 
| BWMF | Block wall and mortar façade | 
| GS. ICF | Galvanized steel insulated composite façade | 
| Shotcrete ICF | Shotcrete insulated composite façade | 
| GHG | Greenhouse gases | 
| LCA | Lifecycle assessment | 
| NMBE | Normalized mean bias error | 
References
- Emami, N.; Heinonen, J.; Marteinsson, B.; Säynäjoki, A.; Junnonen, J.-M.; Laine, J.; Junnila, S. A Life Cycle Assessment of Two Residential Buildings Using Two Different LCA Database-Software Combinations: Recognizing Uniformities and Inconsistencies. Buildings 2019, 9, 20. [Google Scholar] [CrossRef] [Green Version]
- Kim, S.; Van Quy, H.; Bark, C.W. Photovoltaic technologies for flexible solar cells: Beyond silicon. Mater. Today Energy 2021, 19, 100583. [Google Scholar] [CrossRef]
- Salehian, S.; Ismail, M.A.; Ariffin, A.R.M. Assessment on Embodied Energy of Non-Load Bearing Walls for Office Buildings. Buildings 2020, 10, 79. [Google Scholar] [CrossRef] [Green Version]
- Vieira, F.; Sarmento, B.; Reis-Machado, A.S.; Facão, J.; Carvalho, M.J.; Mendes, M.J.; Fortunato, E.; Martins, R. Prediction of sunlight-driven CO2 conversion: Producing methane from photovoltaics, and full system design for single-house application. Mater. Today Energy 2019, 14, 100333. [Google Scholar] [CrossRef] [Green Version]
- International Energy Agency. Buildings—A Source of Enormous Untapped Efficiency Potential. 2021. Available online: https://www.iea.org/topics/buildings (accessed on 25 July 2021).
- European Commission. Energy Efficient Buildings. 2020. Available online: https://ec.europa.eu/energy/topics/energy-efficiency/energy-efficient-buildings_en (accessed on 25 August 2021).
- United Nations. The Paris Agreement | UNFCCC. 2021. Available online: https://unfccc.int/process-and-meetings/the-paris-agreement/the-paris-agreement (accessed on 14 September 2021).
- European Union. 2030 Climate & Energy Framework—Greenhouse Gas Emissions—Raising the Ambition. 2021. Available online: https://ec.europa.eu/clima/policies/strategies/2030_en (accessed on 27 October 2021).
- Hong Kong Government. GovHK: Climate Change—Carbon Emissions and Hong Kong. 2021. Available online: https://www.gov.hk/en/residents/environment/global/climate.htm (accessed on 15 August 2021).
- Renewable Energy and Energy Efficiency in Developing Countries: Contributions to Reducing Global Emissions; United Nations Environment Programme: Nairobi, Kenya, 2017; ISBN 9789291426515.
- Ansah, M.K.; Chen, X.; Yang, H.; Lu, L.; Lam, P.T.I. An integrated life cycle assessment of different façade systems for a typical residential building in Ghana. Sustain. Cities Soc. 2019, 53, 101974. [Google Scholar] [CrossRef]
- Ghana Energy Commission. Energy Statistics. 2021. Available online: http://energycom.gov.gh/planning/energy-statistics (accessed on 17 July 2021).
- Tian, Z.; Zhang, X.; Jin, X.; Zhou, X.; Si, B.; Shi, X. Towards adoption of building energy simulation and optimization for passive building design: A survey and a review. Energy Build. 2018, 158, 1306–1316. [Google Scholar] [CrossRef]
- Al-Saadi, S.N.; Al-Jabri, K.S. Optimization of envelope design for housing in hot climates using a genetic algorithm (GA) computational approach. J. Build. Eng. 2020, 32, 101712. [Google Scholar] [CrossRef]
- Saroglou, T.; Theodosiou, T.; Givoni, B.; Meir, I.A. A study of different envelope scenarios towards low carbon high-rise buildings in the Mediterranean climate—Can DSF be part of the solution? Renew. Sustain. Energy Rev. 2019, 113, 109237. [Google Scholar] [CrossRef]
- Fang, Y.; Cho, S. Design optimization of building geometry and fenestration for daylighting and energy performance. Sol. Energy 2019, 191, 7–18. [Google Scholar] [CrossRef]
- Ilbeigi, M.; Ghomeishi, M.; Dehghanbanadaki, A. Prediction and optimization of energy consumption in an office building using artificial neural network and a genetic algorithm. Sustain. Cities Soc. 2020, 61, 102325. [Google Scholar] [CrossRef]
- Giouri, E.D.; Tenpierik, M.; Turrin, M. Zero energy potential of a high-rise office building in a Mediterranean climate: Using multi-objective optimization to understand the impact of design decisions towards zero-energy high-rise buildings. Energy Build. 2020, 209, 109666. [Google Scholar] [CrossRef]
- Cuce, E.; Sher, F.; Sadiq, H.; Cuce, P.M.; Guclu, T.; Besir, A.B. Sustainable ventilation strategies in buildings: CFD research. Sustain. Energy Technol. Assess. 2019, 36, 100540. [Google Scholar] [CrossRef]
- Acar, U.; Kaska, O.; Tokgoz, N. Multi-objective optimization of building envelope components at the preliminary design stage for residential buildings in Turkey. J. Build. Eng. 2021, 42, 102499. [Google Scholar] [CrossRef]
- Cuce, E.; Riffat, S.B. Aerogel-Assisted Support Pillars for Thermal Performance Enhancement of Vacuum Glazing: A CFD Research for a Commercial Product. Arab. J. Sci. Eng. 2015, 40, 2233–2238. [Google Scholar] [CrossRef]
- Cuce, E.; Cuce, P.M.; Young, C.H. Energy saving potential of heat insulation solar glass: Key results from laboratory and in-situ testing. Energy 2016, 97, 369–380. [Google Scholar] [CrossRef]
- Cuce, E.; Riffat, S.B. Vacuum tube window technology for highly insulating building fabric: An experimental and numerical investigation. Vacuum 2015, 111, 83–91. [Google Scholar] [CrossRef] [Green Version]
- Chen, X.; Yang, H.; Peng, J. Energy optimization of high-rise commercial buildings integrated with photovoltaic facades in urban context. Energy 2019, 172, 1–17. [Google Scholar] [CrossRef]
- Chen, X.; Huang, J.; Yang, H.; Peng, J. Approaching low-energy high-rise building by integrating passive architectural design with photovoltaic application. J. Clean. Prod. 2019, 220, 313–330. [Google Scholar] [CrossRef]
- Jayathissa, P.; Luzzatto, M.; Schmidli, J.; Hofer, J.; Nagy, Z.; Schlueter, A. Optimising building net energy demand with dynamic BIPV shading. Appl. Energy 2017, 202, 726–735. [Google Scholar] [CrossRef]
- Skandalos, N.; Karamanis, D. An optimization approach to photovoltaic building integration towards low energy buildings in different climate zones. Appl. Energy 2021, 295, 117017. [Google Scholar] [CrossRef]
- Shadram, F.; Bhattacharjee, S.; Lidelöw, S.; Mukkavaara, J.; Olofsson, T. Exploring the trade-off in life cycle energy of building retrofit through optimization. Appl. Energy 2020, 269, 115083. [Google Scholar] [CrossRef]
- Satola, D.; Röck, M.; Houlihan-Wiberg, A.; Gustavsen, A. Life Cycle GHG Emissions of Residential Buildings in Humid Subtropical and Tropical Climates: Systematic Review and Analysis. Buildings 2021, 11, 6. [Google Scholar] [CrossRef]
- Takano, A.; Pal, S.K.; Kuittinen, M.; Alanne, K. Life cycle energy balance of residential buildings: A case study on hypothetical building models in Finland. Energy Build. 2015, 105, 154–164. [Google Scholar] [CrossRef]
- Omrany, H.; Soebarto, V.; Zuo, J.; Chang, R. A Comprehensive Framework for Standardising System Boundary Definition in Life Cycle Energy Assessments. Buildings 2021, 11, 230. [Google Scholar] [CrossRef]
- Tushar, Q.; Bhuiyan, M.A.; Zhang, G.; Maqsood, T. An integrated approach of BIM-enabled LCA and energy simulation: The optimized solution towards sustainable development. J. Clean. Prod. 2021, 289, 125622. [Google Scholar] [CrossRef]
- Lin, Y.H.; Lin, M.D.; Tsai, K.T.; Deng, M.J.; Ishii, H. Multi-objective optimization design of green building envelopes and air conditioning systems for energy conservation and CO2 emission reduction. Sustain. Cities Soc. 2021, 64, 102555. [Google Scholar] [CrossRef]
- Kiss, B.; Szalay, Z. Modular approach to multi-objective environmental optimization of buildings. Autom. Constr. 2020, 111, 103044. [Google Scholar] [CrossRef]
- Shadram, F.; Mukkavaara, J. An integrated BIM-based framework for the optimization of the trade-off between embodied and operational energy. Energy Build. 2018, 158, 1189–1205. [Google Scholar] [CrossRef]
- Abbasi, S.; Noorzai, E. The BIM-Based multi-optimization approach in order to determine the trade-off between embodied and operation energy focused on renewable energy use. J. Clean. Prod. 2021, 281, 125359. [Google Scholar] [CrossRef]
- Roudsari, M.; Pak, M.; Lyon, A.S.-I. Conference Held in France; 2013, U. Ladybug: A Parametric Environmental Plugin for Grasshopper to Help Designers Create an Environmentally-Conscious Design. ibpsa.org. 2013. Available online: https://www.ibpsa.org/proceedings/bs2013/p_2499.pdf (accessed on 26 November 2021).
- Ghana Standards Authority. 2018 Ghana Building Code Building and Construction | ICC Digital Codes. 2018. Available online: https://codes.iccsafe.org/content/GHBCBC2018 (accessed on 26 November 2021).
- Marion, W.; Urban, K. User’ s Manual for Radiation Data Base. 1995. Available online: https://www.osti.gov/biblio/87130 (accessed on 3 September 2021).
- Siu, C.Y.; Liao, Z. Is building energy simulation based on TMY representative: A comparative simulation study on doe reference buildings in Toronto with typical year and historical year type weather files. Energy Build. 2020, 211, 109760. [Google Scholar] [CrossRef]
- Halverson, R.; Hart, R.; Athalye, W. ANSI/ASHRAE/IES Standard 90.1-2013 Determination of Energy Savings: Qualitative Analysis. 2014. Available online: https://www.osti.gov/biblio/1734447 (accessed on 26 November 2021).
- Wolfgang, F. What Is a Passive House. proyectocasapasiva.com. 2007. Available online: http://proyectocasapasiva.com/wp-content/uploads/2014/11/CERTIFICADO-PASSIVHAUS-HERRERA-2017-1.pdf (accessed on 26 November 2021).
- Vukadinović, A.; Radosavljević, J.; Đorđević, A.; Protić, M.; Petrović, N. Multi-objective optimization of energy performance for a detached residential building with a sunspace using the NSGA-II genetic algorithm. Sol. Energy 2021, 224, 1426–1444. [Google Scholar] [CrossRef]
- Deb, K.; Pratap, A.; Agarwal, S.; Meyarivan, T. A fast and elitist multiobjective genetic algorithm: NSGA-II. IEEE Trans. Evol. Comput. 2002, 6, 182–197. [Google Scholar] [CrossRef] [Green Version]
- ASHRAE. ASHRAE Guideline 14-2002 Measurement of Energy and Demand Savings. Ashrae 2002, 8400, 170. [Google Scholar]














| Variable | Values (Unit) | Range (Unit) | Notes | |
|---|---|---|---|---|
| Building orientation | 0 (°) | 0 (°)–180 (°). | 15° interval | |
| Window-to-wall ratio | 0.35 | 0.15–0.80 | 0.05 interval | |
| Façade infiltration rate | 0.0003 (m3/s/m2) | 0.0001, 0.000071, 0.000285, 0.0003, 0.0006 (m3/s/m2) | Represent tight building, passive house, ASHRAE 90.1-2013, Average leaky building and leaky building, respectively. | |
| Rooftop PV | 90 (% of roof area) | Mono-Si cells with 15% conversion efficiency | ||
| BIPV Windows | 90 (% window area) | Driven by WWR variable; a-Si cells with 6.3% conversion efficiency | ||
| Block wall and Mortar façade (BWMF) | Ext. render | 12 (mm) | 10 (mm), 12 (mm), 15 (mm) | |
| Block wall | 150 (mm) | 100 (mm), 150 (mm), 200 (mm) | ||
| Internal render | 12 (mm) | 10 (mm), 12 (mm), 15 (mm) | ||
| Shotcrete Insulated composite façade (SICF) | Ext. shotcrete | 15 (mm) | 10 (mm), 12 (mm), 15 (mm) | |
| Mesh reinforcement | ||||
| EPS insulation | 78 (mm) | 50 (mm), 78 (mm), 100 (mm) | ||
| Mesh reinforcement | ||||
| Int. shotcrete | 15 (mm) | 10 (mm), 12 (mm), 15 (mm) | ||
| Galvanized steel Insulated composite façade (GS. ICF) | Int. galvanized steel plate | 0.6 (mm) | - | |
| EPS insulation | 78 (mm) | 50 (mm), 78 (mm), 100 (mm) | ||
| Ext. galvanized steel plate | 0.6 (mm) | - | ||
| Compressed mud block façade (CMBF) | 200 (mm) | 150 (mm), 200 (mm), 250 (mm) | ||
| Variable | Value (Unit) | 
|---|---|
| Occupancy activity level | 2 (person/room) 120 (W/person) | 
| Lighting gain | 12 (W/m2) | 
| Equipment gain | 10 (W/m2) | 
| HVAC system | IdeaLoadAirSystem | 
| Cooling setpoint | 24 (°C) | 
| Roof U-value | 0.35 (W/m2 °C) | 
| Floor U-value | 1.5 (W/m2 °C) | 
| Window U-value | 5.69 (W/m2 k) | 
| Index | ASHRAE Criteria | Baseline Model | Calibrated Model | 
|---|---|---|---|
| CV(RMSE) | 15 | 32.58% | 14.56% | 
| NMBE | ±5% | 24.43% | −4.79% | 
| Building Orientation (°) | Window-to-Wall Ratio | Façade Infiltration Rate (m3/s/m2) | Rooftop PV (% of Roof Area) | BIPV Windows-to-Wall Ratio | Energy Use Intensity (kWh/m2/yr) | PV Energy Supply (kWh/m2/yr) | Number of Pareto Solutions in Series | 
|---|---|---|---|---|---|---|---|
| 165 | 0.15 | 0.000071 | 90 | 0.135 | 102.7616 | 84.97314 | 115 | 
| 165 | 0.3 | 0.000071 | 90 | 0.27 | 102.6732 | 89.84629 | 92 | 
| 180 | 0.45 | 0.000071 | 90 | 0.405 | 102.6403 | 91.47067 | 161 | 
| 180 | 0.35 | 0.000071 | 90 | 0.315 | 102.6139 | 93.09505 | 115 | 
| 180 | 0.55 | 0.000071 | 90 | 0.495 | 102.5882 | 94.71943 | 138 | 
| 180 | 0.5 | 0.000071 | 90 | 0.45 | 102.5545 | 96.34381 | 161 | 
| 180 | 0.4 | 0.000071 | 90 | 0.36 | 102.5248 | 97.96819 | 115 | 
| 180 | 0.65 | 0.000071 | 90 | 0.585 | 102.4983 | 99.59257 | 115 | 
| 180 | 0.7 | 0.000071 | 90 | 0.63 | 102.4748 | 101.217 | 138 | 
| Materials Thickness (mm) | Pareto Solutions | |||||||||
|---|---|---|---|---|---|---|---|---|---|---|
| CMBF | BWMF | Shotcrete ICF | GS. ICF | Operation Energy (kWh/m2/yr) | Embodied Energy (kWh/m2/yr) | Number of Pareto Solutions in Series | ||||
| Ext. Render | Block Wall | Int. Render | Ext. Shotcrete | EPS Insulation | Int. Shotcrete | EPS Insulation | ||||
| 150 | 92.63 | 9.24 | 92 | |||||||
| 200 | 91.85 | 12.22 | 115 | |||||||
| 250 | 91.23 | 15.18 | 138 | |||||||
| 10 | 100 | 10 | 91.22 | 21.86 | 92 | |||||
| 10 | 150 | 10 | 91.08 | 23.96 | 161 | |||||
| 12 | 150 | 12 | 91.11 | 24.36 | 69 | |||||
| 15 | 78 | 12 | 87.80 | 24.06 | 115 | |||||
| 15 | 78 | 15 | 87.79 | 24.45 | 92 | |||||
| 50 | 87.61 | 25.38 | 69 | |||||||
| 50 | 87.09 | 25.82 | 92 | |||||||
| 15 | 200 | 15 | 87.80 | 25.06 | 115 | |||||
| 15 | 100 | 15 | 86.59 | 29.33 | 69 | |||||
| 12 | 78 | 12 | 87.80 | 24.33 | 115 | |||||
| 12 | 200 | 12 | 87.80 | 24.36 | 69 | |||||
| 15 | 200 | 12 | 87.80 | 24.98 | 115 | |||||
| 100 | 86.78 | 30.00 | 161 | |||||||
| 12 | 100 | 10 | 86.59 | 28.93 | 138 | |||||
| 12 | 100 | 12 | 86.59 | 29.33 | 69 | |||||
| Publisher’s Note: MDPI stays neutral with regard to jurisdictional claims in published maps and institutional affiliations. | 
© 2021 by the authors. Licensee MDPI, Basel, Switzerland. This article is an open access article distributed under the terms and conditions of the Creative Commons Attribution (CC BY) license (https://creativecommons.org/licenses/by/4.0/).
Share and Cite
Ansah, M.K.; Chen, X.; Yang, H. Two-Stage Lifecycle Energy Optimization of Mid-Rise Residential Buildings with Building-Integrated Photovoltaic and Alternative Composite Façade Materials. Buildings 2021, 11, 642. https://doi.org/10.3390/buildings11120642
Ansah MK, Chen X, Yang H. Two-Stage Lifecycle Energy Optimization of Mid-Rise Residential Buildings with Building-Integrated Photovoltaic and Alternative Composite Façade Materials. Buildings. 2021; 11(12):642. https://doi.org/10.3390/buildings11120642
Chicago/Turabian StyleAnsah, Mark Kyeredey, Xi Chen, and Hongxing Yang. 2021. "Two-Stage Lifecycle Energy Optimization of Mid-Rise Residential Buildings with Building-Integrated Photovoltaic and Alternative Composite Façade Materials" Buildings 11, no. 12: 642. https://doi.org/10.3390/buildings11120642
APA StyleAnsah, M. K., Chen, X., & Yang, H. (2021). Two-Stage Lifecycle Energy Optimization of Mid-Rise Residential Buildings with Building-Integrated Photovoltaic and Alternative Composite Façade Materials. Buildings, 11(12), 642. https://doi.org/10.3390/buildings11120642
 
         
                                                



 
       
       