Baking Effect on Desorption of Diffusible Hydrogen and Hydrogen Embrittlement on Hot-Stamped Boron Martensitic Steel
Abstract
1. Introduction
2. Materials and Methods
3. Results
3.1. Microstructure and Coating
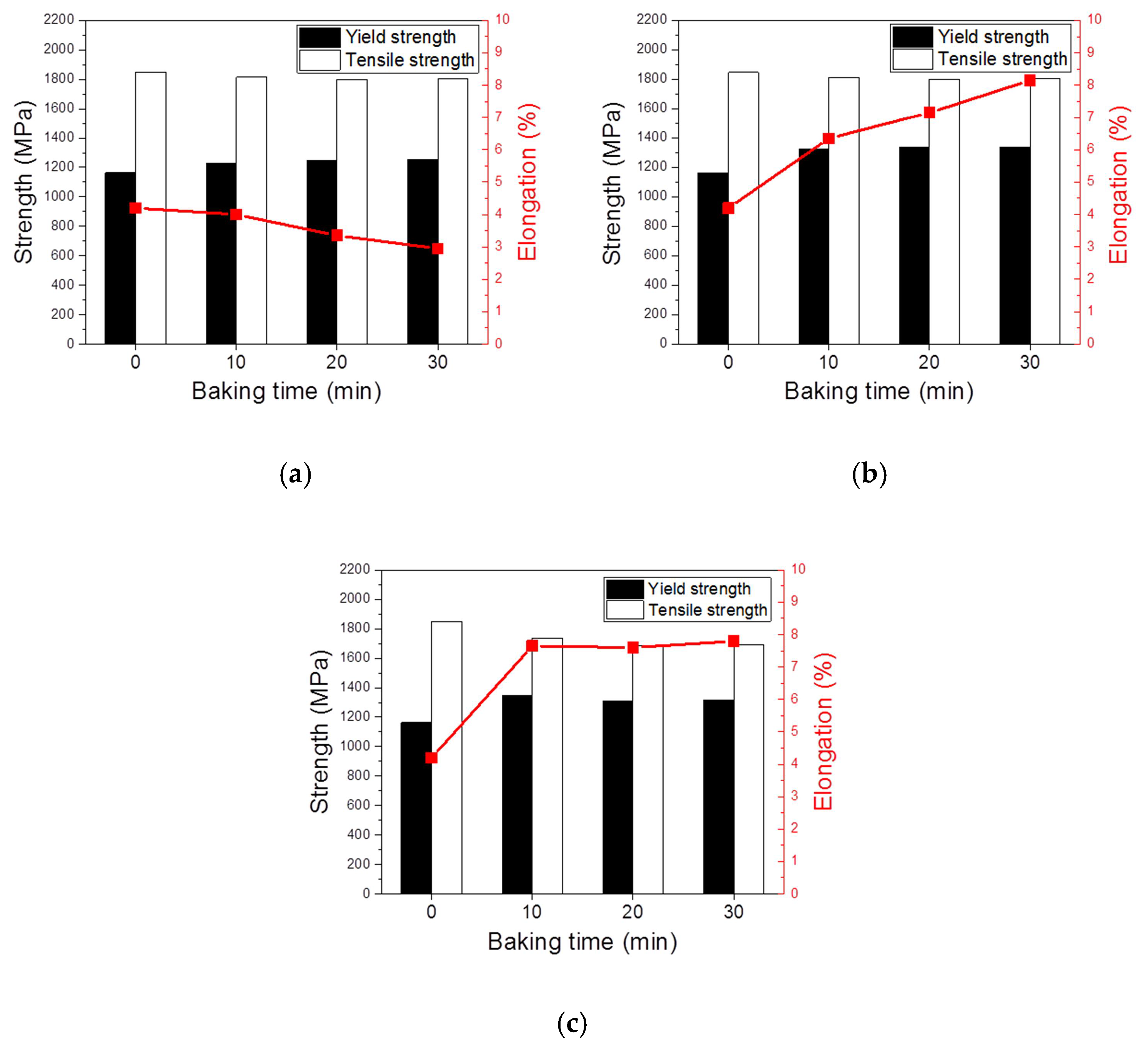
3.2. Baking Effect on Hydrogen Embrittlement based on SSRT Results
3.3. Baking Effect on Desorption of Diffusible Hydrogen based on TDS Results
3.4. Effect of Baking Process and Hydrogen Embrittlement based on Fractography
4. Discussion
5. Conclusions
- (1)
- The BH100 conditions exhibited a reduction in the elongation loss after hydrogen charging from the identical to the as-received state. However, the BH150 and BH200 conditions exhibited a major increase in the elongation recovery, indicating a decrease in susceptibility to hydrogen embrittlement.
- (2)
- In the BH100 specimens, no considerable difference in the hydrogen content appeared, and there was little desorption of hydrogen as the baking time increased. For the BH150 conditions, the diffusible hydrogen was proportionally reduced as the baking time increased. The desorption behavior of diffusible hydrogen in the BH200 specimens showed complete removal of the remaining hydrogen after baking regardless of baking time, and it recovered to a noncharging cold-rolled specimen before hot stamping.
- (3)
- The softening of martensite that occurred in the baking process can be evaluated by comparing the ultimate tensile strength values. Our results showed a clear decrease in the ultimate tensile strength values owing to baking under some conditions. This phenomenon can also affect the improvement of hydrogen embrittlement owing to the baking process.
- (4)
- The relationship between diffusible hydrogen and dislocation behavior is important in understanding the baking effect and its improvement of hydrogen embrittlement as shown in this study. It is assumed that the optimum baking process for recovering the degradation of hydrogen embrittlement and maintaining the desired mechanical properties occurs at 150 °C for 20 min. This is the same condition as in paint baking on automobile lines.
Author Contributions
Funding
Acknowledgments
Conflicts of Interest
References
- Takahashi, M. Sheet steel technology for the last 100 years: Progress in sheet steels in hand with the automobile industry. ISIJ Int. 2015, 55, 79–88. [Google Scholar] [CrossRef]
- Chamisa, A. Development of Ultra High Strength Steels for Reduced Carbon Emissions in Automotive Vehicles. In Project Outlines; Chamisa, A., Ed.; University of Sheffield: Sheffield, UK; University of Manchester: Manchester, UK, 2010; p. 11. [Google Scholar]
- Karbasian, H.; Tekkaya, A. A review on hot taming. J. Mater. Process. Technol. 2010, 210, 2103–2118. [Google Scholar] [CrossRef]
- Bian, J.; Mohrbacher, H. Novel alloying design for press hardening steels with better crash performance. In Proceedings of the International Symposium on New Developments in Advanced High-Strengh sheet steels, Orlando, FL, USA, 15–18 June 2008; pp. 199–207. [Google Scholar]
- Hikida, K.; Nishibata, T.; Kikuchi, H.; Suzuki, T.; Nakayama, N. Development of TS1800MPa Grade Hot Stamping Steel Sheet. Mater. Jpn. 2013, 52, 68–70. [Google Scholar] [CrossRef]
- Tokizawa, A.; Yamamoto, K.; Takemoto, Y.; Senuma, T. Development of 2000 MPa Claass Hot Stamped steel Components with Good Toughness and High Resistance against Delayed Fracture. In Proceedings of the 5th International Conference Hot Sheet Metal Forming of High-Performance Steel, Toronto, ON, Canada, 31 May 2015; pp. 27–35. [Google Scholar]
- Georges, C.; Sturel, T.; Drillet, P.; Mataigne, J.M. Absorption/desorption of diffusible hydrogen in aluminized boron steel. ISIJ Int. 2013, 53, 1295–1304. [Google Scholar] [CrossRef]
- Cho, L.; Sulistiyo, D.H.; Seo, E.J.; Jo, K.R.; Kim, S.W.; Oh, J.K.; Cho, Y.R.; De Cooman, B.C. Hydrogen absorption and embrittlement of ultra high strength aluminized press hardening steel. Mater. Sci. Eng. A 2018, 734, 416–426. [Google Scholar] [CrossRef]
- Takai, K.; Watanuki, R. Hydrogen in trapping states innocuous to environmental degradation of high-strength steels. ISIJ Int. 2003, 43, 520–526. [Google Scholar] [CrossRef]
- Takai, K.; Shouda, H.; Suzuki, H.; Nagumo, M. Lattice defects dominating hydrogen-related failure of metals. Acta Mater. 2008, 56, 5158–5167. [Google Scholar] [CrossRef]
- Liu, Q.; Venezuela, J.; Zhang, M.; Zhou, Q.; Atrens, A. Hydrogen trapping in some advanced high strength steels. Corros. Sci. 2016, 111, 770–785. [Google Scholar] [CrossRef]
- Djukic, M.B.; Zeravcic, S.; Bakic, V.G.; Sedmak, A.; Rajicic, B. Hydrogen embrittlement of low carbon structural steel. Proced. Mater. Sci. 2014, 3, 1167–1172. [Google Scholar] [CrossRef]
- Järvinen, H.; Honkanen, M.; Järvenpää, M.; Peura, P. Effect of paint baking treatment on the properties of press hardened boron steels. J. Mater. Process. Technol. 2018, 252, 90–104. [Google Scholar] [CrossRef]
- Castro, M.R.; Monteiro, W.A.; Politano, R. Enhancements on strength of body structure due to bake hardening effect on hot stamping steel. Int. J. Adv. Manuf. Technol. 2019, 100, 771–782. [Google Scholar] [CrossRef]
- Kantereit, H. Baking Hardening Behavior of Advanced High Strength Steels under Manufacturing Conditions. In Proceedings of the SAE Technical Paper, Paris, France, 1 January 2011. [Google Scholar]
- Baker, L.J.; Daniel, S.R.; Parker, J.D. Metallurgy and processing of ultra low carbon bake hardening steels. Mater. Sci. Technol. 2002, 18, 355–368. [Google Scholar] [CrossRef]
- Zhang, T.; Hui, W.; Zhao, X.; Wang, C.; Dong, H. Effects of Hot Stamping and Tempering on Hydrogen Embrittlement of a Low-Carbon Boron-Alloyed Steel. Materials 2018, 11, 2507. [Google Scholar] [CrossRef]
- Borsetto, F.; Ghiotti, A.; Bruschi, S. Investigation of the high strength steel Al-Si coating during hot stamping operations. Key Eng. Mater. Trans. Tech. Publ. 2009, 410, 289–296. [Google Scholar] [CrossRef]
- Grabke, H.; Gehrmann, F.; Riecke, E. Hydrogen in microalloyed steels. Steel Res. 2001, 72, 225–235. [Google Scholar] [CrossRef]
- Wei, F.G.; Tsuzaki, K. Quantitative analysis on hydrogen trapping of TiC particles in steel. Metall. Mater. Trans. A 2006, 37A, 331–353. [Google Scholar] [CrossRef]
- Nagao, A.; Martin, M.L.; Dadfarnia, M.; Sofronis, P.; Robertson, I.M. The effect of nanosized (Ti, Mo) C precipitates on hydrogen embrittlement of tempered lath martensitic steel. Acta Mater. 2014, 74, 244–254. [Google Scholar] [CrossRef]
- American Society for Testing and Materials. Standard Practice for Slow Strain Rate Testing to Evaluate the Susceptibility of Metallic Materials to Environmentally Assisted Cracking; ASTM G129: West Conshohocken, PA, USA, 2013. [Google Scholar]
- Petrovic, J.; Thomas, G. Reation of Aluminium with Water to Produce Hydrogen; US Department of Energy: Washington, DC, USA, 2008; pp. 1–26.
- Bangyikhan, K. Effects of Oxide film, Fe-Rich Phase, Porositiy and their Interactions on Tensile Properties of Cast Al-Si-Mg Alloys. Ph.D. Thesis, Univeristy of Birmingham, Birmingham, UK, 2005. [Google Scholar]
- Kim, H.J.; Jeon, S.H.; Yang, W.S.; Yoo, B.G.; Chung, Y.D.; Ha, H.Y.; Chung, H.Y. Effects of titanium content on hydrogen embrittlement susceptibility of hot-stamped boron steels. J. Alloy. Compd. 2018, 735, 2067–2080. [Google Scholar] [CrossRef]
- Nagao, A.; Smith, C.D.; Dadfarnia, M.; Sofronis, P.; Robertson, I.M. The role of hydrogen in hydrogen embrittlement fracture of lath martenisitic steel. Acta Mater. 2012, 60, 5182–5189. [Google Scholar] [CrossRef]
- Hicks, P.D.; Altsteter, C.J. Hydrogen-Enhanced Cracking of superalloys. Met. Trans. 1992, 23A, 513–522. [Google Scholar] [CrossRef]
- Moody, N.R.; Stoltz, R.E.; Perra, M.W. The effect of hydrogen on fracture toughness of the Fe-Ni-Co superalloy IN93. Met. Trans. 1987, 18A, 1469–1482. [Google Scholar] [CrossRef]
- Zhu, X.; Li, W.; Hsu, T.Y.; Zhou, S.; Wang, L.; Jin, X. Improved resistance to hydrogen embrittlement in a high-strength steel by quenching-partitioning-tempering treatment. Scr. Mater. 2015, 97, 21–24. [Google Scholar] [CrossRef]
- Kim, S.J.; Hwang, E.H.; Park, J.S.; Ryu, S.M.; Yun, D.W.; Seong, H.G. Inhibiting hydrogen embrittlement in ultra-strong steels for automotive applications by Ni-alloying. Mater. Degrad. 2019, 3, 12. [Google Scholar] [CrossRef]
- Nakatani, Y.; Higashi, T.; Yamada, K. Effect of tempering treatment on hydrogen-induced cracking in high-strength steel. Fatigue Fract. Eng. Mater. Struct. 1999, 22, 393–398. [Google Scholar] [CrossRef]
- Zhang, Y.J.; Zhou, C.; Hui, W.J.; Dong, H. Effect of C content on hydrogen induced delayed fracture behavior of Mn-B type steels. J. Iron Steel Res. 2014, 26, 49–55. [Google Scholar]
- Kwon, H.J.; Choi, W.S.; Lee, J.; De Cooman, B.C. Bake Hardening Analysis of 22MnB5 PHS by the Impulse Internal-Friction. CHS2-Series 2015, 5, 499–506. [Google Scholar]
- Hirakami, D.; Yamasaki, S.; Tarui, T.; Ushioda, K. Competitive phenomenon of hydrogen trapping and carbon segregation in dislocations introduced by drawing or martensitic transformation of 0.35 mass% and 0.8 mass% C steels. ISIJ Int. 2016, 56, 359–365. [Google Scholar] [CrossRef]
- Sherman, A.M.; Eldis, G.T.; Cohen, M. The aging and tempering of iron-nickel-carbon martensites. Metall. Trans. A 1983, 14, 995–1005. [Google Scholar] [CrossRef]
- Ulmer, D.G.; Altstetter, C.J. Hydrogen-induced strain localization and failure of austenitic stainless steels at high hydrogen concentrations. Acta Mater. 1991, 39, 1237–1248. [Google Scholar] [CrossRef]
- Birnbaum, H.K.; Sofronis, P. Hydrogen-enhanced localized plasticity - a mechanism for hydrogen-related fracture. Mater. Sci. Eng. A 1994, 176, 191–202. [Google Scholar] [CrossRef]










| C | Si | Mn | Cr | B | Ti | Fe |
|---|---|---|---|---|---|---|
| 0.300 ± 0.016 | 0.194 ± 0.028 | 1.400 ± 0.042 | 0.200 ± 0.003 | 0.003 ± 0.0004 | 0.03 ± 0.0032 | Bal. |
| Yield Strength (MPa) | Tensile Strength (MPa) | Elongation (El.%) |
|---|---|---|
| 1302 | 1875 | 8.1 |
| Diffusible Hydrogen Concentration (wppm) | |||
|---|---|---|---|
| Specimen | 10 min | 20 min | 30 min |
| BH100 specimens | 0.297 | 0.285 | 0.265 |
| BH150 specimens | 0.234 | 0.099 | 0.088 |
| BH200 specimens | 0.032 | 0.048 | 0.017 |
© 2019 by the authors. Licensee MDPI, Basel, Switzerland. This article is an open access article distributed under the terms and conditions of the Creative Commons Attribution (CC BY) license (http://creativecommons.org/licenses/by/4.0/).
Share and Cite
Kim, H.-J.; Park, H.-K.; Lee, C.-W.; Yoo, B.-G.; Jung, H.-Y. Baking Effect on Desorption of Diffusible Hydrogen and Hydrogen Embrittlement on Hot-Stamped Boron Martensitic Steel. Metals 2019, 9, 636. https://doi.org/10.3390/met9060636
Kim H-J, Park H-K, Lee C-W, Yoo B-G, Jung H-Y. Baking Effect on Desorption of Diffusible Hydrogen and Hydrogen Embrittlement on Hot-Stamped Boron Martensitic Steel. Metals. 2019; 9(6):636. https://doi.org/10.3390/met9060636
Chicago/Turabian StyleKim, Hye-Jin, Hyeong-Kwon Park, Chang-Wook Lee, Byung-Gil Yoo, and Hyun-Yeong Jung. 2019. "Baking Effect on Desorption of Diffusible Hydrogen and Hydrogen Embrittlement on Hot-Stamped Boron Martensitic Steel" Metals 9, no. 6: 636. https://doi.org/10.3390/met9060636
APA StyleKim, H.-J., Park, H.-K., Lee, C.-W., Yoo, B.-G., & Jung, H.-Y. (2019). Baking Effect on Desorption of Diffusible Hydrogen and Hydrogen Embrittlement on Hot-Stamped Boron Martensitic Steel. Metals, 9(6), 636. https://doi.org/10.3390/met9060636

