On the Feasibility of Tailoring Copper–Nickel Functionally Graded Materials Fabricated through Laser Metal Deposition
Abstract
:1. Introduction
2. Materials and Methods
3. Results and Discussion
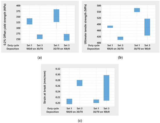
3.1. Deposition of 100/0 and 30/70 Feedstocks
3.2. Dissimilar Graded Material Deposition
4. Conclusions
- Utilizing pulsed width modulation to vary laser power was identified as a viable means for manipulating the chemical gradient in a graded material. Varying the duty cycle and the deposition sequence were shown to significantly alter the chemical gradient, and in some cases, the length of the gradient was observed to more than double.
- The deposition of copper on nickel or vice versa is not challenging, due to their mutual compatibility. While noticeable differences in grading schema were produced, no significant differences in deposition quality were noticed.
- Plastic deformation during tensile testing was almost entirely localized to the copper-rich end of the graded material specimens. From the median strain at break values, a significant change in ductility was observed with the changing deposition sequence. However, the statistical significance of this difference is questionable, due to the scatter in the strain at break values.
- Due to the differences in chemistry gradients, different ultimate tensile strength values were obtained from the tensile specimens. While the strength values varied with deposition sequence, these variations did not correlate with the chemistry gradients.
- Strain field estimation using DIC during tensile testing revealed the localization of the strain to only the copper-containing area of the gage length. Within the copper-containing portion of the gage length, at low elongation values, a gradient in strain was observed. From the strain field analysis, the failure was believed to occur away from the dissimilar material interface.
- While distinguishable differences in chemistry gradients were achieved, their impacts on mechanical properties and deposition quality were not really substantial. However, these conclusions are only limited to the copper–nickel material fabricated in this study.
Author Contributions
Funding
Acknowledgments
Conflicts of Interest
References
- Koizumi, M. FGM activities in Japan. Compos. Part B Eng. 1997, 28, 1–4. [Google Scholar] [CrossRef]
- Doubrovski, E.L.; Tsai, E.Y.; Dikovsky, D.; Geraedts, J.M.P.; Herr, H.; Oxman, N. Voxel-based fabrication through material property mapping: A design method for bitmap printing. Comput. Des. 2015, 60, 3–13. [Google Scholar] [CrossRef]
- Lee, W.Y.; Stinton, D.P.; Berndt, C.C.; Erdogan, F.; Lee, Y.-D.; Mutasim, Z. Concept of Functionally Graded Materials for Advanced Thermal Barrier Coating Applications. J. Am. Ceram. Soc. 1996, 79, 3003–3012. [Google Scholar] [CrossRef]
- Miyamoto, Y.; Kaysser, W.A.; Rabin, B.H.; Kawasaki, A.; Ford, R.G. Functionally Graded Materials: Design, Processing and Applications; Springer Science & Business Media: Berlin/Heidelberg, Germany, 2013; Volume 5, ISBN 1461553016. [Google Scholar]
- Muller, P.; Mognol, P.; Hascoet, J.-Y. Modeling and control of a direct laser powder deposition process for Functionally Graded Materials (FGM) parts manufacturing. J. Mater. Process. Technol. 2013, 213, 685–692. [Google Scholar] [CrossRef]
- Watari, F.; Yokoyama, A.; Omori, M.; Hirai, T.; Kondo, H.; Uo, M.; Kawasaki, T. Biocompatibility of materials and development to functionally graded implant for bio-medical application. Compos. Sci. Technol. 2004, 64, 893–908. [Google Scholar] [CrossRef]
- Leushake, U.; Winter, A.N.; Rabin, B.H.; Corff, B.A. General Aspects of FGM Fabrication by Powder Stacking. Mater. Sci. Forum. 1999, 308–311, 13–18. [Google Scholar] [CrossRef]
- Thümmler, F. An Introduction to Powder Metallurgy; Institute of Materials: London, UK, 1993; ISBN 090171626X. [Google Scholar]
- Marple, B.R.; Boulanger, J. Graded casting of materials with continuous gradients. J. Am. Ceram. Soc. 2016, 77, 2747–2750. [Google Scholar] [CrossRef]
- Durejko, T.; Ziętala, M.; Polkowski, W.; Czujko, T. Thin wall tubes with Fe3Al/SS316L graded structure obtained by using laser engineered net shaping technology. Mater. Des. 2014, 63, 766–774. [Google Scholar] [CrossRef]
- Wu, D.; Liang, X.; Li, Q.; Jiang, L. Laser rapid manufacturing of stainless steel 316L/Inconel718 functionally graded materials: Microstructure evolution and mechanical properties. Int. J. Opt. 2010, 2010, 1–5. [Google Scholar] [CrossRef]
- Qian, T.; Liu, D.; Tian, X.; Liu, C.; Wang, H. Microstructure of TA2/TA15 graded structural material by laser additive manufacturing process. Trans. Nonferrous Met. Soc. China 2014, 24, 2729–2736. [Google Scholar] [CrossRef]
- Ren, H.S.; Liu, D.; Tang, H.B.; Tian, X.J.; Zhu, Y.Y.; Wang, H.M. Microstructure and mechanical properties of a graded structural material. Mater. Sci. Eng. A 2014, 611, 362–369. [Google Scholar] [CrossRef]
- Shah, K.; Haq, I.U.; Khan, A.; Shah, S.A.; Khan, M.; Pinkerton, A.J. Parametric study of development of Inconel-steel functionally graded materials by laser direct metal deposition. Mater. Des. 2014, 54, 531–538. [Google Scholar] [CrossRef]
- Syed, W.U.H.; Pinkerton, A.J.; Liu, Z.; Li, L. Coincident wire and powder deposition by laser to form compositionally graded material. Surf. Coatings Technol. 2007, 201, 7083–7091. [Google Scholar] [CrossRef]
- Liu, W.; DuPont, J.N. Fabrication of functionally graded TiC/Ti composites by laser engineered net shaping. Scr. Mater. 2003, 48, 1337–1342. [Google Scholar] [CrossRef]
- Miyamoto, Y.; Kaysser, W.A.; Rabin, B.H.; Kawasaki, A.; Ford, R.G. Functionally Graded Materials—Design, Processing and Applications, 1st ed.; Springer US: New York, NY, USA, 1999; ISBN 978-1-4613-7419-0. [Google Scholar]
- Shah, K. Laser Metal Deposition of Dissimilar and Functionally Graded Alloys. Ph.D. Thesis, The University of Manchester, Manchester, UK, 2011. [Google Scholar]
- Yan, J.; Battiato, I.; Fadel, G.M. Planning the process parameters for the direct metal deposition of functionally graded parts based on mathematical models. J. Manuf. Process. 2018, 31, 56–71. [Google Scholar] [CrossRef]
- Li, W.; Karnati, S.; Zhang, Y.; Liou, F. Investigating and eliminating powder separation in pre-mixed powder supply for laser metal deposition process. J. Mater. Process. Technol. 2018, 254, 294–301. [Google Scholar] [CrossRef]
- Yan, L.; Chen, X.; Li, W.; Newkirk, J.; Liou, F. Direct laser deposition of Ti-6Al-4V from elemental powder blends. Rapid Prototyp. J. 2016, 22, 810–816. [Google Scholar] [CrossRef]
- Zhang, J.; Zhang, Y.; Li, W.; Karnati, S.; Liou, F.; Newkirk, J.W. Microstructure and properties of functionally graded materials Ti6Al4V/TiC fabricated by direct laser deposition. Rapid Prototyp. J. 2018, 24, 677–687. [Google Scholar] [CrossRef]
- Chen, X.; Yan, L.; Li, W.; Wang, Z.; Liou, F.; Newkirk, J.W. Effect of powder particle size on the fabrication of Ti-6Al-4V using direct laser metal deposition from elemental powder mixture. J. Mech. Eng. Autom. 2016, 6, 348. [Google Scholar]
- Li, W.; Karnati, S.; Kriewall, C.; Liou, F.; Newkirk, J.; Brown Taminger, K.M.; Seufzer, W.J. Fabrication and characterization of a functionally graded material from Ti-6Al-4V to SS316 by laser metal deposition. Addit. Manuf. 2017, 14, 95–104. [Google Scholar] [CrossRef]
- Ye, B.; Matsen, M.R.; Dunand, D.C. Blended elemental powder densification of Ti-6Al-4V by hot pressing. J. Mater. Res. 2011, 26, 965–969. [Google Scholar] [CrossRef]
- Zhang, F.; Chen, J.; Tan, H.; Lin, X.; Huang, W. Composition control for laser solid forming from blended elemental powders. Opt. Laser Technol. 2009, 41, 601–607. [Google Scholar] [CrossRef]
- Watanabe, Y.; Inaguma, Y.; Sato, H.; Miura-Fujiwara, E. A novel fabrication method for functionally graded materials under centrifugal force: The centrifugal mixed-powder method. Materials. 2009, 2, 2510–2525. [Google Scholar] [CrossRef]
- Ocylok, S.; Alexeev, E.; Mann, S.; Weisheit, A.; Wissenbach, K.; Kelbassa, I. Correlations of melt pool geometry and process parameters during laser metal deposition by coaxial process monitoring. Phys. Procedia 2014, 56, 228–238. [Google Scholar] [CrossRef]
- Karnati, S.; Axelsen, I.; Liou, F.F.; Newkirk, J.W. Investigation of Tensile Properties of Bulk and SLM Fabricated 304L Stainless Steel Using Various Gage Length Specimens. In Proceedings of the Proceedings of the 27th Solid Freeform Fabrication Symposium, Austin, TX, USA, 8–10 August 2016; pp. 592–604. [Google Scholar]
- Karnati, S.; Hoerchler, J.L.; Liou, F.; Newkirk, J.W. Influence of gage length on miniature tensile characterization of powder bed fabricated 304L stainless steel. In Proceedings of the 28th Solid Freeform Fabrication Symposium, Austin, TX, USA, 7–9 August 2017; pp. 289–306. [Google Scholar]
- Zhang, Y.; Yan, L.; Liou, F. Improved initial guess with semi-subpixel level accuracy in digital image correlation by feature-based method. Opt. Lasers Eng. 2018, 104, 149–158. [Google Scholar] [CrossRef]
- Cohen, A. Properties of cast copper alloys. ASM Handb. 1990, 2, 356–391. [Google Scholar]
- Naeem, M. Laser processing of reflective materials. Laser Tech. J. 2013, 10, 18–20. [Google Scholar] [CrossRef]
- Javidani, M.; Arreguin-Zavala, J.; Danovitch, J.; Tian, Y.; Brochu, M. Additive manufacturing of AlSi10Mg alloy using direct energy deposition: Microstructure and hardness characterization. J. Therm. Spray Technol. 2017, 26, 587–597. [Google Scholar] [CrossRef]
- Adeyemi, A.A.; Akinlabi, E.; Mahamood, R.M.; Sanusi, K.O.; Pityana, S.; Tlotleng, M. Influence of laser power on microstructure of laser metal deposited 17-4 PH stainless steel. IOP Conf. Ser. Mater. Sci. Eng. 2017, 225, 012028. [Google Scholar] [CrossRef]























| Element | Silicon | Boron | Nickel |
|---|---|---|---|
| Weight % | 2.5 | 1.4 | Balance |
| Powder Type | Elemental Copper (wt. %) | Delero-22 Alloy (wt. %) | Ni/Cu Weight Ratio |
|---|---|---|---|
| Nickel-rich | 0 | 100 | 100/0 |
| Copper-rich | 69.2 | 30.8 | 30/70 |
© 2019 by the authors. Licensee MDPI, Basel, Switzerland. This article is an open access article distributed under the terms and conditions of the Creative Commons Attribution (CC BY) license (http://creativecommons.org/licenses/by/4.0/).
Share and Cite
Karnati, S.; Zhang, Y.; Liou, F.F.; Newkirk, J.W. On the Feasibility of Tailoring Copper–Nickel Functionally Graded Materials Fabricated through Laser Metal Deposition. Metals 2019, 9, 287. https://doi.org/10.3390/met9030287
Karnati S, Zhang Y, Liou FF, Newkirk JW. On the Feasibility of Tailoring Copper–Nickel Functionally Graded Materials Fabricated through Laser Metal Deposition. Metals. 2019; 9(3):287. https://doi.org/10.3390/met9030287
Chicago/Turabian StyleKarnati, Sreekar, Yunlu Zhang, Frank F. Liou, and Joseph W. Newkirk. 2019. "On the Feasibility of Tailoring Copper–Nickel Functionally Graded Materials Fabricated through Laser Metal Deposition" Metals 9, no. 3: 287. https://doi.org/10.3390/met9030287
APA StyleKarnati, S., Zhang, Y., Liou, F. F., & Newkirk, J. W. (2019). On the Feasibility of Tailoring Copper–Nickel Functionally Graded Materials Fabricated through Laser Metal Deposition. Metals, 9(3), 287. https://doi.org/10.3390/met9030287

