Quantitative Analysis of Weld-Pore Size and Depth and Effect on Fatigue Life of Ti-6Al-2Zr-1Mo-1V Alloy Weldments
Abstract
:1. Introduction
2. Materials and Methods
3. Results
3.1. S–N Curves and Scatter of Fatigue Life
3.2. Fracture Analysis
3.3. Measurements of Pore Diameter and Depth
4. Discussion
4.1. Location of Crack Initiation
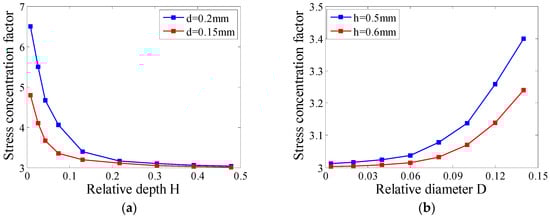
4.2. The Effect of Pore Diameter and Depth on Fatigue Life
4.3. Method of Validation
5. Conclusions
- (1)
- For all specimens, fatigue crack initiations occurred at the weld pores.
- (2)
- An indicator P was proposed to combine the effect of pore diameter and depth. An expression (Equation (5)) of P was provided based on the finite element analysis, and it has been accessed by the measurements of diameter and depth of pores on fracture surfaces in this study. Results showed that all the fatigue cracks initiated from the pore with the smallest P, which suggests that P can be used to judge the critical pore.
- (3)
- A model based on S–N curve and indicator P was established to evaluate quantitatively the effect of pore size and depth on fatigue life, and it can be applied under arbitrary stress conditions and specimen thicknesses. The indicator P could explain 62.8% of the information of indicator F, which means that the scatter of fatigue life of welded joints is mainly caused by the weld pores.
- (4)
- The model was validated through analogous fatigue tests. The results showed that the indicator P successfully judged the critical pore, and the calculated fatigue life were well consistent with the actual fatigue life. Moreover, the proposed model has been proved to have a higher accuracy for fatigue life estimation in comparison with several typical models.
Acknowledgments
Author Contributions
Conflicts of Interest
References
- Ji, Y.P.; Wu, S.J.; Zhao, D.L. Microstructure and mechanical properties of friction welding joints with dissimilar titanium alloys. Metals 2016, 6, 108. [Google Scholar] [CrossRef]
- Sun, Z.C.; Yang, H. Microstructure and mechanical properties of TA15 titanium alloy under multi-step local loading forming. Mat. Sci. Eng. A Struct. 2009, 523, 184–192. [Google Scholar] [CrossRef]
- Wang, S.Q.; Li, W.Y.; Zhou, Y.; Li, X.; Chen, D.L. Tensile and fatigue behavior of electron beam welded dissimilar joints of Ti–6Al–4V and IMI834 titanium alloys. Mater. Sci. Eng. A 2016, 649, 146–152. [Google Scholar] [CrossRef]
- Taheri, F.; Lu, Y.; Mehrzadi, M. Microstructure and fatigue characteristic of AM60B magnesium alloy. Metals 2012, 2, 411–440. [Google Scholar] [CrossRef]
- Özdeş, H.; Tiryakioğlu, M. On the relationship between structural quality index and fatigue life distributions in aluminum aerospace castings. Metals 2016, 6, 81. [Google Scholar] [CrossRef]
- Yang, L.; Wang, B.Y.; Lin, J.G.; Zhao, H.J.; Ma, W.Y. Ductile fracture behavior of TA15 titanium alloy at elevated temperatures. Int. J. Miner. Metal. Mater. 2015, 22, 1082–1091. [Google Scholar] [CrossRef]
- Yu, Y.; Ye, W.; Hui, S.; Xiong, B.; Li, S. Comparison of the fatigue and fracture of Ti–6Al–2Zr–1Mo–1V with lamellar and bimodal microstructures. Mat. Sci. Eng. A Struct. 2007, 460, 140–145. [Google Scholar] [CrossRef]
- Yang, W.; Zhang, S.Q.; Tian, X.J.; Wang, H.M. High-cycle fatigue crack initiation and propagation in laser melting deposited TC18 titanium alloy. Int. J. Miner. Metal. Mater. 2013, 20, 665–670. [Google Scholar] [CrossRef]
- Li, S.; Xiong, B.Q.; Hui, S.X.; Ye, W.J.; Yu, Y. Effects of microstructure on fatigue crack growth behavior of Ti–6Al–2Zr–1Mo–1V ELI alloy. Mater. Charact. 2008, 59, 397–401. [Google Scholar] [CrossRef]
- Long, M.; Rank, H.J. Titanium alloys in total joint replacement—A materials science perspective. Biomaterials 1998, 19, 1621–1639. [Google Scholar] [CrossRef]
- Novovic, D.; Dewes, R.C.; Aspinwalla, D.K.; Voiceb, W.; Bowena, P. The effect of machined topography and integrity on fatigue life. Int. J. Mach. Tool. Manuf. 2004, 44, 125–134. [Google Scholar] [CrossRef]
- Krahmer, D.M.; Polvorosa, R.; López de Lacalle, L.N.; Alonso-Pinillos, U.; Abate, G.; Riu, F. Alternatives for specimen manufacturing in tensile testing of steel plates. Exp. Techniq. 2016, 40, 1555–1565. [Google Scholar] [CrossRef]
- Kim, J.C.; Cheong, S.K.; Noguchi, H. Evolution of residual stress redistribution associated with localized surface microcracking in shot-peened medium-carbon steel during fatigue test. Int. J. Fatigue 2013, 55, 147–157. [Google Scholar] [CrossRef]
- Huang, W.; Garbatov, Y.; Guedes Soares, C. Fatigue reliability assessment of a complex welded structure subjected to multiple cracks. Eng. Struct. 2013, 56, 868–879. [Google Scholar] [CrossRef]
- Lu, W.; Shi, Y.W.; Lei, Y.P.; Li, X.Y. Effect of electron beam welding on the microstructures and mechanical properties of thick TC4-DT alloy. Mater. Des. 2012, 34, 509–515. [Google Scholar] [CrossRef]
- Barreda, J.L.; Santamarı́a, F.; Azpiroz, X.; Irisarri, A.M.; Varona, J.M. Electron beam welded high thickness Ti6Al4V plates using filler metal of similar and different composition to the base plate. Vacuum 2001, 62, 143–150. [Google Scholar] [CrossRef]
- Miki, C.; Fahimuddin, F.; Anami, K. Fatigue performance of butt-welded joints containing various embedded defects. J. Struct. Mech. Earthq. Eng. JSCE 2001, 18, 29–41. [Google Scholar] [CrossRef]
- Avilés, R.; Albizuri, J.; Rodríguez, A.; López de Lacalle, L. Influence of low-plasticity ball burnishing on the high-cycle fatigue strength of medium carbon AISI 1045 steel. Int. J. Fatigue 2013, 55, 230–244. [Google Scholar] [CrossRef]
- Murakami, Y. Material defects as the basis of fatigue design. Int. J. Fatigue 2012, 41, 2–10. [Google Scholar] [CrossRef]
- Wang, B.; De Backer, H.; Chen, A. An XFEM based uncertainty study on crack growth in welded joints with defects. Theor. Appl. Fract. Mech. 2016, 86, 125–142. [Google Scholar] [CrossRef]
- Madia, M.; Zerbst, U.; Beier, H.T. A model for the determination of the fatigue life in technical alloys containing large and small defects. Procedia Mater. Sci. 2014, 3, 493–498. [Google Scholar] [CrossRef]
- Mikkola, E.; Murakami, Y.; Marquis, G. Equivalent crack approach for fatigue life assessment of welded joints. Eng. Fract. Mech. 2015, 149, 144–155. [Google Scholar] [CrossRef]
- Mikheevskiy, S.; Glinka, G.; Cordes, T. Total life approach for fatigue life estimation of welded structures. Procedia Eng. 2015, 101, 177–184. [Google Scholar] [CrossRef]
- Zhang, Y.H.; Maddox, S.J. Fatigue life prediction for toe ground welded joints. Int. J. Fatigue 2009, 31, 1124–1136. [Google Scholar] [CrossRef]
- Herasymchuk, O.M.; Kononuchenko, O.V.; Bondarchuk, V.I. Fatigue life calculation for titanium alloys considering the influence of microstructure and manufacturing defects. Int. J. Fatigue 2015, 81, 257–264. [Google Scholar] [CrossRef]
- Guerchais, R.; Morel, F.; Saintier, N. Effect of defect size and shape on the high-cycle fatigue behavior. Int. J. Fatigue 2017, 100, 530–539. [Google Scholar] [CrossRef]
- Cremer, M.; Kolyshkin, A.; Zimmermann, M.; Christ, H.J. Influence of process-related defects on the fatigue behaviour of welded aluminium joints at very high cycles. Adv. Mater. Res. 2014, 891–892, 1476–1481. [Google Scholar] [CrossRef]
- Zhao, X.H.; Wang, D.P.; Deng, C.Y.; Liu, Y.; Song, Z.X. The fatigue behaviors of butt welds ground flush in the super-long life regime. Int. J. Fatigue 2012, 36, 1–8. [Google Scholar] [CrossRef]
- Tammaswilliams, S.; Withers, P.J.; Todd, I. The influence of porosity on fatigue crack initiation in additively manufactured titanium components. Sci. Rep. 2017, 7, 1–12. [Google Scholar] [CrossRef]
- Yang, Z.G.; Li, S.X.; Zhang, J.M.; Zhang, J.F.; Li, G.Y.; Li, Z.B.; Hui, W.J.; Weng, Y.Q. The fatigue behaviors of zero-inclusion and commercial 42CrMo steels in the super-long fatigue life regime. Acta Mater. 2004, 52, 5235–5241. [Google Scholar] [CrossRef]
- Serranomunoz, I.; Buffiere, J.Y.; Mokso, R. Location, location & size: Defects close to surfaces dominate fatigue crack initiation. Sci. Rep. 2017, 7, 45239. [Google Scholar] [CrossRef]
- Shimatani, Y.; Shiozawa, K.; Nakada, T.; Yoshimoto, T.; Lu, L. The effect of the residual stresses generated by surface finishing methods on the very high cycle fatigue behavior of matrix HSS. Int. J. Fatigue 2011, 33, 122–131. [Google Scholar] [CrossRef]
- Zhu, M.L.; Xuan, F.Z.; Du, Y.N.; Tu, S.T. Very high cycle fatigue behavior of a low strength welded joint at moderate temperature. Int. J. Fatigue 2012, 40, 74–83. [Google Scholar] [CrossRef]
- Zhu, M.L.; Xuan, F.Z.; Chen, J. Influence of microstructure and microdefects on long-term fatigue behavior of a Cr–Mo–V steel. Mater. Sci. Eng. A 2012, 546, 90–96. [Google Scholar] [CrossRef]
- Zhu, M.; Xuan, F. Fatigue crack initiation potential from defects in terms of local stress analysis. Chin. J. Mech. Eng. 2014, 27, 496–503. [Google Scholar] [CrossRef]
- Balasubramanian, T.S.; Balasubramanian, V.; Manickam, M.M.A. Fatigue crack growth behaviour of gas tungsten arc, electron beam and laser beam welded Ti–6Al–4V alloy. Mater. Des. 2011, 32, 4509–4520. [Google Scholar] [CrossRef]
- Kondakov, G.F.; Bantserzh, N.E. Quantitative analysis of defects in arc butt welded joints in titanium alloys. Weld. Int. 1996, 10, 246–248. [Google Scholar] [CrossRef]
- Hrabe, N.; Gnäupel-Herold, T.; Quinn, T. Fatigue properties of a titanium alloy (Ti–6Al–4V) fabricated via electron beam melting (EBM): Effects of internal defects and residual stress. Int. J. Fatigue 2017, 94, 202–210. [Google Scholar] [CrossRef]
- Murakami, Y.; Nomoto, T.; Ueda, T. Factors influencing the mechanism of superlong fatigue failure in steels. Fatigue Fract. Eng. Mater. Struct. 1999, 22, 581–590. [Google Scholar] [CrossRef]
- Mohd, S.; Mutoh, Y.; Otsuka, Y.; Miyashita, Y.; Koike, T.; Suzuki, T. Scatter analysis of fatigue life and pore size data of die-cast AM60B magnesium alloy. Eng. Fail. Anal. 2012, 22, 64–72. [Google Scholar] [CrossRef]












| Al | Zr | Mo | V | O | N | Ti |
|---|---|---|---|---|---|---|
| 6.3 | 1.97 | 1.4 | 1.4 | 0.08 | 0.01 | Other |
| Material | Tensile Strength (MPa) | Elongation (%) |
|---|---|---|
| Base metal | 1018.8 | 15.3 |
| GTAW joint | 979.0 | 5.5 |
| Frequency | Stress Ratio | Stress Amplitude | Number of Samples |
|---|---|---|---|
| 70 Hz | 0.06 | 370 MPa | 2 |
| 325 MPa | 2 | ||
| 282 Mpa (Group A) | 5 | ||
| 260 MPa | 3 | ||
| 245 MPa | 2 | ||
| 238 MPa | 2 | ||
| 230 MPa | 1 | ||
| 70 Hz | −1 | 500 MPa (Group B) | 5 |
| 450 MPa | 2 | ||
| 400 MPa | 2 | ||
| 360 MPa | 2 | ||
| 345 MPa | 3 | ||
| 330 MPa | 2 | ||
| 320 MPa | 1 |
| Stress Ratio | b | ||
|---|---|---|---|
| 0.06 | 7.7148 | −1.1747 | 238 |
| −1 | 58.2091 | −1.6569 | 330 |
| Specimen Number | Pore Number | Pore Diameter (mm) | Pore Depth (mm) | Actual Fatigue Life (Cycle) | Indicator P | Calculated Fatigue Life (Cycle) |
|---|---|---|---|---|---|---|
| V1 | P11 P12 P13 | 0.2674 * 0.1205 0.1122 | 0.6210 * 0.3231 0.3891 | 539.9 4197.4 5842.2 | ||
| V2 | P21 P22 | 0.1607 0.1514 * | 0.4770 0.2514 * | 2192.5 1741.6 |
© 2017 by the authors. Licensee MDPI, Basel, Switzerland. This article is an open access article distributed under the terms and conditions of the Creative Commons Attribution (CC BY) license (http://creativecommons.org/licenses/by/4.0/).
Share and Cite
Zhang, W.; Liu, X.; Wang, H.; Dai, W.; Fu, G. Quantitative Analysis of Weld-Pore Size and Depth and Effect on Fatigue Life of Ti-6Al-2Zr-1Mo-1V Alloy Weldments. Metals 2017, 7, 417. https://doi.org/10.3390/met7100417
Zhang W, Liu X, Wang H, Dai W, Fu G. Quantitative Analysis of Weld-Pore Size and Depth and Effect on Fatigue Life of Ti-6Al-2Zr-1Mo-1V Alloy Weldments. Metals. 2017; 7(10):417. https://doi.org/10.3390/met7100417
Chicago/Turabian StyleZhang, Weifang, Xiaopeng Liu, Hongxun Wang, Wei Dai, and Guicui Fu. 2017. "Quantitative Analysis of Weld-Pore Size and Depth and Effect on Fatigue Life of Ti-6Al-2Zr-1Mo-1V Alloy Weldments" Metals 7, no. 10: 417. https://doi.org/10.3390/met7100417
APA StyleZhang, W., Liu, X., Wang, H., Dai, W., & Fu, G. (2017). Quantitative Analysis of Weld-Pore Size and Depth and Effect on Fatigue Life of Ti-6Al-2Zr-1Mo-1V Alloy Weldments. Metals, 7(10), 417. https://doi.org/10.3390/met7100417

