Abstract
Friction stir welding (FSW) is a solid-state joining technique widely used for aluminum alloys in aerospace, automotive, and shipbuilding applications, yet the prediction of fatigue fracture locations within FSW joints remains challenging for structural-life assessment. In this study, we investigate fatigue fracture location prediction in 7075-T651 aluminum alloy FSW joints by applying four machine learning methods—decision tree, logistic regression, a three-layer back-propagation artificial neural network (BP ANN), and a novel Quadratic Classification Neural Network (QCNN)—using maximum stress, stress amplitude, and stress ratio as input features. Evaluated on an experimental test set of eight loading conditions, the QCNN achieved the highest accuracy of 87.5%, outperforming BP ANN (75%), logistic regression (50%), and decision tree (37.5%). Building on QCNN outputs and incorporating relevant material property parameters, we derive a Regional Fracture Prediction Formula (RFPF) based on a Fourier-series quadratic expansion, enabling the rapid estimation of fracture zones under varying loads. These results demonstrate the QCNN’s superior predictive capability and the practical utility of the RFPF framework for the fatigue failure analysis and service-life assessment of FSW structures.
1. Introduction
Friction stir welding (FSW) is a solid-state joining technique extensively adopted in the aerospace, automotive, and shipbuilding industries for aluminum alloys, owing to its low heat input, the absence of fusion defects such as blowholes and solidification cracks, and superior joint quality—defined by higher tensile strength, better fatigue performance, lower residual stress, and a finer, more uniform microstructure—compared with conventional fusion welding methods such as gas metal arc welding (GMAW) and TIG welding [1,2,3,4]. These characteristics result in enhanced structural integrity and service life under cyclic loading. Despite these advantages, welded structures remain susceptible to fatigue fracture under service loading, making the accurate determination of fatigue crack initiation sites critical for structural integrity and life prediction [5,6,7].
Previous studies have shown that fatigue fracture locations in metal joints depend on microstructural variations, welding parameters, loading conditions, and environmental factors. Experimental investigations by Aydin et al. [8] demonstrated that welding speed and stress range affect crack initiation zones, while Maggiolini et al. [9] and Weng et al. [10] analyzed crack paths in aluminum pipes and NiCrMoV steel joints under different loading regimes. Dorbane et al. [11] further highlighted the role of microstructure and temperature in AZ31 magnesium plates. Complementary simulation work by Ren et al. [12] employed crystal-plasticity finite element models to link texture distribution with fracture localization. However, these approaches rely on extensive experiments or complex physical models, limiting their efficiency and generalizability [13].
Machine learning (ML) has recently emerged as a powerful tool for fatigue damage analysis, capable of handling nonlinear and high-dimensional data [14,15,16]. Applications include the life prediction of gray cast iron using neural networks and random forests [17], the fatigue performance of corroded steel wires [18], and multiaxial fatigue modeling via image-based feature extraction [19]. Related to joint integrity, Katarzyna [20] applied ANN to predict the tightness of aluminum alloy heat exchanger joints in automotive applications, demonstrating the adaptability of ML for welding-related prediction tasks. Nonetheless, ML methods—particularly artificial neural networks—often require large data sets and suffer from interpretability and class-imbalance issues [21,22,23,24].
Although several recent studies have used machine learning to estimate the fatigue life or strength of welded or corroded components, most focus on scalar life prediction rather than the spatial localization of fracture zones. For example, the shear strength of Ag-Al bonded joints with surface finish was predicted by DL models [25], and Chen et al. [26] developed a method to quantify CF/ER bolted joint friction via surface topography—but neither addressed the spatial prediction of failure regions. To date, no known work integrates both fracture location classification and physics-informed regional modeling in aluminum FSW joints using a compact feature set.
In this work, we introduce a novel Quadratic Classification Neural Network (QCNN) for predicting fatigue fracture locations in 7075-T651 FSW joints. Unlike conventional three-layer back-propagation ANNs or single-stage classifiers (e.g., decision trees, logistic regression), our Quadratic Classification Neural Network (QCNN) employs a two-stage grouping strategy coupled with weight inheritance. The first (“prelude”) network coarsely partitions fracture regions into two macro-classes, then two specialized “rear” networks—with inherited prelude weights—resolve fine-grained class boundaries. This architecture improves class separation (especially for interlaced BM vs. TMAZ data) and accelerates convergence by reusing learned feature representations. Building on QCNN outputs and relevant material-property parameters, we derive a Regional Fracture Prediction Formula (RFPF) based on a Fourier-series quadratic expansion. Finally, we demonstrate the practical utility of the QCNN + RFPF framework for the rapid, physics-informed assessment of FSW-structure service life.
This paper is organized as follows. Section 2 describes experimental procedures; Section 3 presents the prediction of fracture locations based on machine learning; Section 4 introduces our QCNN model for fracture-location prediction; Section 5 evaluates model performance; Section 6 and Section 7 explore input-parameter influences and derive the Regional Fracture Prediction Formula.
2. Experiments
To develop and validate the proposed machine learning models for fatigue fracture prediction, fatigue tests were conducted on friction stir welded joints of 7075-T651 aluminum alloy. This section outlines the material properties, specimen preparation, welding conditions, and testing procedures used in the experimental setup.
The experimental material is 7075-T651 aluminum alloy, and the chemical composition is shown in Table 1, as measured by Optical Emission Spectroscopy (OES) on a Thermo ARL iSpark analyzer (Thermo Fisher Scientific, Waltham, MA, USA). The mechanical properties at room temperature are shown in Table 2 [27].
Table 1.
Chemical composition of 7075-T651 aluminum alloy (wt%).
Table 2.
Mechanical properties of 7075-T651 aluminum alloy.
2.1. Preparation for Experiments
The diameter of the stirring head shoulder used in the experiment is 10 mm, the diameter of the stirring needle is 3.9 mm, and the length is 2.9 mm. The welding direction is in the rolling direction perpendicular to the aluminum alloy plate. The feed speed of the stirring head is 80 mm/min, the rotation speed is 800 r/min, and the inclination angle relative to the rolled substrate is 2° [27]. The specimens were cut from the welding plate by wire cutting, and the center of the welding joint was on the center line of the specimens. The shape and size of the fatigue specimen are shown in Figure 1. Before the fatigue test, the welded specimens were ground with sandpaper and polished with diamond grinding paste.
Figure 1.
Shape and size of fatigue specimen.
Figure 2 shows the distribution of the FSW joint. In the welding process, due to the different heat inputs and the stirring effect of the stirring needle, the welded joint formed four different areas with different microstructures. They are the weld nugget zone (WNZ), thermo-mechanically affected zone (TMAZ), heat-affected zone (HAZ), and base material (BM).
Figure 2.
Distribution of the zones of the FSW joint.
The upper surface of the welded joint WNZ is stirred by the shaft shoulder and sufficient heat input, so the WNZ presents a trapezoidal shape with a wide upper part and a narrow lower part. The TMAZ is located on both sides of the WNZ, the TMAZ is seriously deformed due to heat input from the adjacent WNZ and insufficient stirring, the grain shape is inclined and streamlined, and the grain is mainly elongated.
2.2. Conditions of Fatigue Experiments
The fatigue test was performed using an electro-hydraulic servo fatigue tester (MTS Systems Corporation, Eden Prairie, MN, USA) of MTS-585. The test was carried out with a sine wave load under axial stress control at a frequency of 10 Hz. After the specimens were fractured, the fracture locations were observed with a metalloscopy. The fractured specimen surface was corroded with Keller reagent for about 15 s and then rinsed with clean water.
2.3. Analysis of Results
The material, welding process parameters, structure dimension, surface roughness, microstructure, and loading parameters have an effect on the fatigue fracture locations of the welded joints. The fatigue loading conditions and some of the fatigue results of 7075-T651 aluminum alloy FSW joints are listed in Ref. [27]. The structure size, welding parameters, microstructure, and surface roughness of the samples in Ref. [27] are basically the same, so the influence of loading parameters on the fatigue fracture location is mainly considered here. The loading stress ratios in the experiments are 0.1 and −0.3, respectively. The stress ratio can be calculated by the maximum stress and stress amplitude with Equation (1). Thus, the maximum stress and the stress amplitude are taken as the variables.
where R is the stress ratio, σmin is the minimum stress, σmax is the maximum stress, σa is the stress amplitude.
In order to more intuitively analyze the influence of the maximum stress and stress amplitude on the fracture location, the violin plot was used for analysis, shown in Figure 3. The influence of the maximum stress on the fracture location is shown in Figure 3a. It can be seen that when the maximum stress is about 200 MPa, the fracture mainly occurs in the HAZ. With the increase in the maximum stress, the fracture location gradually transfers from the HAZ to the WNZ. The fracture occurs mostly in the BM and TMAZ under fatigue loading within the intermediate range of the maximum stress. Figure 3b shows the influence of stress amplitude on the fracture location. With the increase in stress amplitude, the fraction location gradually transfers to other areas. When the stress amplitude exceeds 160 MPa, the fracture location returns to the TMAZ.
Figure 3.
Single variable violin plot of fatigue test results: influence of maximum stress on fracture location (a), influence of stress amplitude on fracture location (b).
As shown in Figure 3a, the maximum stress σmax corresponds to the highest point of the applied sinusoidal load cycle, which in the violin plot is represented by the upper extent of the distribution for each group. The stress amplitude σa is depicted in Figure 3b as half the vertical span between σmax and σmin and is visualized by the half-width of the violin at each stress level. Consequently, the stress ratio R (Equation (1)) quantifies the loading asymmetry—positive R values indicate predominately tensile cycles (upper violin regions), while negative R values reflect compressive bias—providing an intuitive link between the numerical definition and its graphical representation in Figure 3.
From the analysis of Figure 3, it can be seen that the influence of the maximum stress and stress amplitude on the fracture location has a certain regularity in some aspects. Therefore, this paper attempts to use machine learning to approximate the fracture location of the FSW joint by the maximum stress and stress amplitude.
3. Prediction of Fracture Location Based on Machine Learning
As the most classical machine learning methods, decision tree classifier and logic regression have been applied in various fields for many years. With the continuous development of perceptron, neural network technology has begun to play an important role in various fields as the latest technology. Therefore, these three methods are used to predict the fatigue fracture locations of 7075-T651 aluminum alloy FSW joints.
A total of 124 fatigue test data sets were collected, with 116 used for model training and 8 held out as an independent test set. The test set was stratified to include samples from each fracture location category (WNZ, HAZ, BM, TMAZ) for reliable evaluation. Since the maximum stress, stress ratio, and stress amplitude can be obtained through Equation (1), the input parameters of the model will be adjusted based on the different characteristics of the system in different machine learning methods. Some models achieve better results when using the aforementioned three variables (maximum stress, stress ratio, and stress amplitude) as input parameters.
3.1. Prediction Based on Decision Tree Method
3.1.1. Decision Tree
The decision tree is a tree structure in which each internal node represents a test on an attribute. Each branch represents the output of a test, and each leaf node represents a category [28,29]. The CART decision tree uses the Gini coefficient (Gini(X)) as a reference to select the optimal partition attribute, as shown in Equation (2).
where X represents the total number of categories and p(x) represents the probability of occurrence of the x category.
Equation (2) reflects the probability of inconsistency between the two randomly selected sample categories. The method using a parameter as the basis of classification (Gini(X, A)) is shown in Equation (3).
where a represents an event and the Gini coefficient reflects the different conditions of two samples in the branch while the category of the same path is identical. Therefore, the smaller the Gini coefficient, the better the classification effect.
The parameter with the smallest Gini coefficient should be selected as the dividing basis. When predicting, the input parameters will flow according to the judgment basis of each leaf node in the tree model, the corresponding results will be output, and its scope includes four fracture locations. The decision process is shown in Figure 4, where “samples” represents the number of samples at a leaf node, “value” corresponds to the value of that node, “X [0, 1, 2]” represents the input feature parameters, and “gini” represents the Gini coefficient mentioned earlier. When “gini” is equal to 0, no further splitting occurs, and all samples in the set belong to the same class. After training the tree model using the training data set, during prediction, the input feature parameters flow through the decision criteria of each leaf node in the tree model and ultimately produce the corresponding output.
Figure 4.
Decision tree model.
3.1.2. Result Analysis
The prediction results of the CART decision tree are shown in Table 3. “Error” indicates that the decision tree cannot judge the location where the fracture occurs. In the test set, there are three groups of situations that cannot be judged. Only three groups are predicted correctly, so the prediction accuracy is only 37.5%.
Table 3.
Prediction results of fatigue fracture location by the CART decision tree.
3.2. Prediction Based on Logistic Regression Method
3.2.1. Logistic Regression
Logistic regression is a classification model widely used for binary classification [30]. The logistic regression estimates parameters according to maximum likelihood estimation (MLE) assuming that the data obey logistic distribution. It is similar to Adaline’s linear adaptive algorithm in structure, except that the activation function changes from “identity mapping y = z” to “S mapping y = sigmoid(z)”. The sigmoid function maps the linear regression output between 0 and 1 and introduces non-linearity into linear classification. The logistic distribution is a continuous probability distribution. Equation (4) is the distribution function, and Equation (5) is the density function, as shown below:
where μ indicates the location parameter and γ represents a shape parameter.
The probability function of logistic regression is as follows:
where ω and b are coefficients that are used to represent the decision boundary. The log-likelihood function is as follows:
To measure the loss of the logistic regression model, the logarithms of the MLE of all data were averaged to form the loss function of the logistic regression model, as shown below:
The random gradient descent method is used to iterate the loss function. When the iteration difference in the loss function is less than the threshold value or reaches the preset number of iterations, the iteration is stopped, and the model is obtained.
3.2.2. Result Analysis
The result of logistic regression is listed in Table 4, and it shows an accuracy of 50%. A one-to-one classification comparison is used. The classification process generates six binary classifiers, and the final result is set according to the number of occurrences of the six outcomes.
Table 4.
Prediction results of fatigue fracture location by logistic regression.
3.3. Prediction Based on ANN
3.3.1. Back-Propagation (BP) Neural Network
An ANN is a complex network structure composed of a large number of interconnected neurons, which is a more complex perceptual machine system. Each neuron in the neural network transmits information to the other, and each neuron works together to obtain corresponding output results. Compared with the traditional machine learning methods, the ANN has a better ability to analyze depth, robustness, and noise resistance. However, due to its complex system, the ANN has a relatively poor explanatory ability [31].
ANNs have various forms. At present, a three-layer neural network can handle most of the non-linear data better. With the deepening of depth, the output results will be more accurate. However, no matter how complex the neural network is, its overall structure only has three parts, the input layer, hidden layer, and output layer, as shown in Figure 5.
Figure 5.
BP neural network.
The input layer, hidden layer, and output layer should be set with the proper parameters to achieve a reasonable outcome prediction. The input layer is set as three neurons, representing the three input parameters of maximum stress, stress amplitude, and stress ratio, respectively. The output layer is designated as a parameter of fracture location. Twelve neurons are assigned in the hidden layer based on the three-layer neural network.
Before processing input parameters, to verify whether the input characteristic parameters apply to the network or to what kind of network, a correlation analysis of the input feature is required. The Pearson correlation analysis method is used for the correlation analysis [32]. The Pearson standard calculation equation is as follows:
where X and Y represent two series, and X = Y when applied to correlation analysis within a series. r is the correlation coefficient, and the range of correlation coefficients is [−1, +1]. The negative number represents a negative correlation, the positive number represents a positive correlation, and 0 represents no correlation. The closer the correlation coefficient is to 0, the weaker the correlation is. The closer the relationship is to −1 or +1, the stronger the correlation is.
For the input parameters of the neural network, when there are two different eigenvalues with correlation coefficients greater than 0.7, it is generally considered that the series of parameters does not apply to the network. The Pearson correlation analysis for the input parameters is shown in Figure 6.
Figure 6.
Pearson heat map.
Since the variable corresponding to the fracture location cannot represent the corresponding signal strength, it needs to be converted into a computer-readable digital signal for easy calculation, so it can be converted into one-hot code, as shown in Table 5.
Table 5.
One-hot code of fracture location.
After the fracture location is converted to one-hot code, the single variable is changed to the list variable. The corresponding fracture location in the list is one, and the rest are zero. Therefore, the number of neurons in the output layer is 4, and each neuron corresponds to a variable of fracture location.
For the numerical variables, the uneven distribution of each numerical variable will lead to learning difficulties in the neural network. Lower learning times cannot handle these irregular data well, and increasing learning times will lead to data over-fitting [33]. Therefore, it is necessary to standardize the numerical variable data. The standardized calculation is as follows:
where x′ is the standardized value of x, and std(x) is the standard deviation of the whole x series.
The Softmax function is selected as the activation function of the output layer. The function of the Softmax function is to normalize the input value, which is similar to the probability model, not to output the probability value but to carry out the probability processing [34]. The equation is as follows:
where zi is the number of the i-th node and c is the number of output nodes. To prevent overflow due to oversize, each output value is subtracted from the input value by the maximum value D = max(zi).
The Softmax function does not change the position of original data in the data group, but its more important function is that it can be combined with the cross-entropy loss function to simplify the calculation and make the value more stable.
In the process of back-propagation, the computer needs to adjust the weight parameters in the network according to the error calculation equation of the last operation. Therefore, a simple error result will greatly reduce the amount of calculation and make the value more precise and stable [35]. In order to achieve this purpose, the cross-entropy of Equation (12) is selected as the calculation equation of network loss described in this paper.
where log is the natural logarithm with e as the bottom number, yk represents the output of the network, and tk represents the label of the correct solution. The product result is determined by the corresponding value of the correct solution.
After the loss function is determined, in order to update the network parameters to the optimal value quickly, the network optimization described in this paper is the Adam optimizer, whose equation is as follows:
where is the first-order correction parameter of the gradient, is the second-order correction parameter of the gradient, η is the learning rate, and ε is the minimum value.
It has been proven that compared with other adaptive learning methods, the Adam method has a faster convergence speed and better learning effects. It can effectively solve the problems of loss function fluctuation caused by the disappearance of the learning rate or the updating of high variance parameters [36].
A complete neural network is shown in Figure 7. During training, the maximum stress, stress amplitude, and stress ratio enter the hidden layer from the input layer. After a weighting calculation of ω1 and b1, the Sigmoid function is activated and passed to the output layer as a new parameter. After a weighting calculation of ω2 and b2, the loss value is activated by the Softmax function and transferred to the cross-entropy to calculate the loss value. The loss value is propagated back along the neural network using the Adam optimization so as to adjust the two groups of weights in the network and form an iteration until the network reaches or approaches the optimal value.
Figure 7.
Network structure.
3.3.2. Result Analysis
The prediction results of fatigue fracture location of specimens using the three-layer BP neural network shown in Figure 7 are listed in Table 6. The prediction accuracy is 75% and the loss value is 0.6391857.
Table 6.
Prediction of fatigue fracture location by three-layer BP neural network.
4. An Improved ANN Method
4.1. “Quadratic Classification” Neural Network (QCNN)
It can be seen from Table 6 that the three-layer BP neural network has some confusion in the judgment of BM and TMAZ, which just confirms what is shown in Figure 3. The data of these two areas are interlaced in the middle value, which is difficult to intuitively analyze. From the data in Table 6, it can be seen that the probabilities of the two regions predicted by the network are similar when encountering some specific input values. Therefore, it is necessary to widen the gap between the two judgment results in order to improve the accuracy of the prediction while guaranteeing the non-fitting. This is one of the reasons why the network is selected to be modified in this paper.
In order to achieve a better prediction effect, the output parameters are divided into two groups. The original network structure changes to a QCNN. The prelude network is similar to the network shown in Figure 7, except that the number of output parameters is reduced to two, corresponding to two groups. The weight inheritance method is introduced into the rear network. The structure of the rear network is similar to that of the prelude network. It has three input parameters and two output parameters. The number of neurons in the hidden layer of the rear network is ten. The overall network structure is shown in Figure 8.
Figure 8.
Structure of the “quadratic classification” network.
During the training, after the group of the prelude network is determined, the computer determines which rear network is selected for the following analysis. After the rear network is determined, the network inherits the weight of the prelude network and randomly loses the weight value connected by the two neurons of the hidden layer. On this basis, the network relearns, and the training data of the rear network are also the data of the corresponding group in the data set.
The weight parameters of the prelude network are imported to the rear network, on the one hand, because that can speed up network learning; on the other hand, the output parameters of the prelude network contain the output parameters of the rear network. The neurons learned by the prelude network are likely to include the small parameters required by the output structure of the rear network. This feature cannot be described in detail because it is a digital parameter, which is similar to the encoding process of the auto-encoder in machine learning. Introducing neurons containing parameters and their weights into the network can significantly reduce the amount of calculation and improve the accuracy of the results [37].
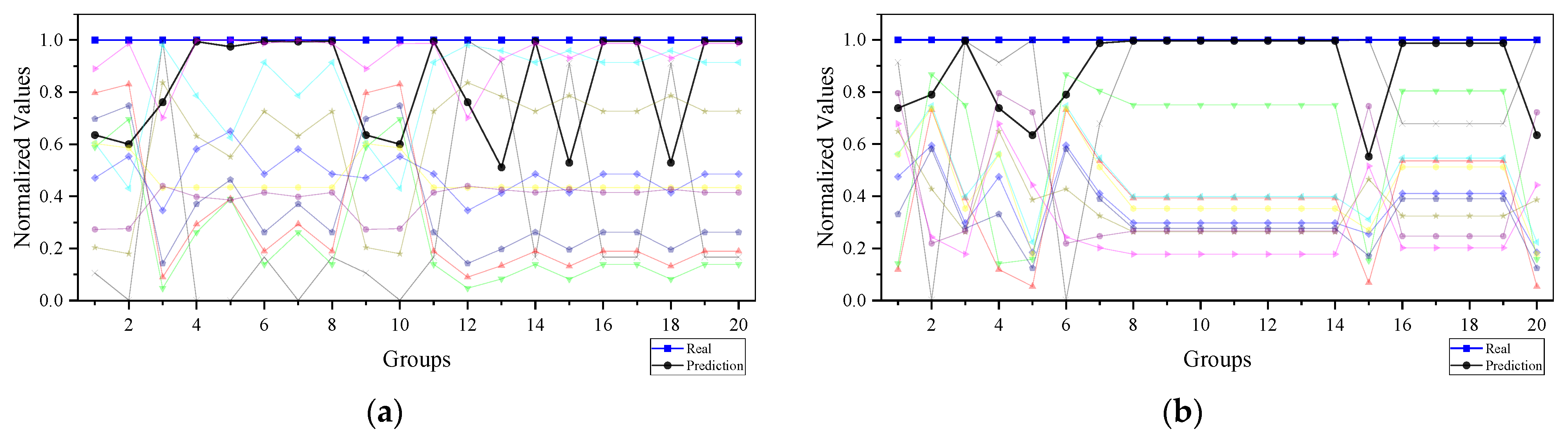
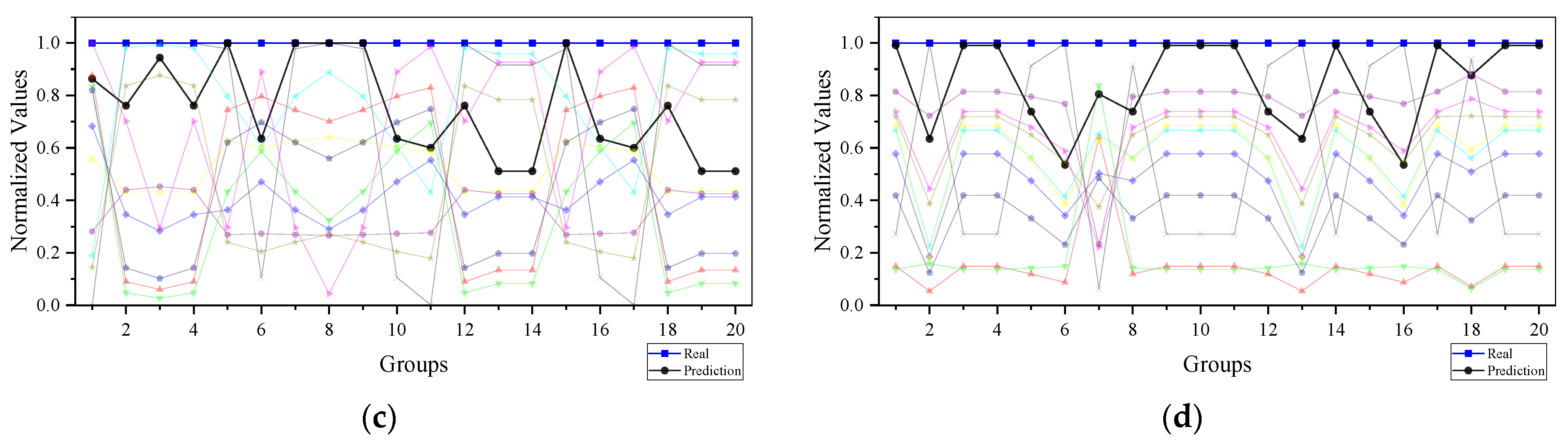
The network shown in Figure 8 is the same as that in Figure 7 in terms of the optimization algorithm, activation function, and other network parameters. Due to changes in the network structure, it is necessary to redesign the number of neurons in the hidden layers. Figure 9a–f show the impact of the number of neurons in the prelude network’s hidden layers on the prediction results. Figure 9g–l demonstrate the influence of the number of neurons in the hidden layers of the A-class rear network on the prediction results. Figure 9m–r depict the effect of the number of neurons in the hidden layers of the B-class rear network on the prediction results, as indicated in the legend. It is worth noting that the reliability of artificial neural networks does not solely depend on the number of neurons in the hidden layers. Other hyperparameters also play a crucial role in the network’s reliability. This study determined the other hyperparameters based on neural network design experience and relevant experiments and will not be described in detail here.
Figure 9.
Influence of different numbers of neurons in the hidden layers on classification results: (a–f) the impact of the different numbers (2, 4, 6, 8, 10, 12) of neurons in the hidden layer of the prelude network on the classification results; (g–l) the impact of the different numbers (2, 4, 6, 8, 10, 12) of neurons in the hidden layer of the rear network for class A on the classification results; (m–r) the impact of the different numbers (2, 4, 6, 8, 10, 12) of neurons in the hidden layer of the rear network for class B on the classification results.
Figure 9a–f demonstrate prelude network performance as hidden units grow; Figure 9g–r then show how each rear network refines its respective binary decision. In the above figures, this study randomly selected eight data points from the fatigue experiment results to test the influence of the number of neurons in the hidden layers on the results. If a data point matches the background color scheme, it indicates accurate classification. It can be observed that in Figure 9a–f, as the number of neurons increases, the network gradually improves its classification performance for the major fracture locations. Figure 9g–l demonstrate the classification results for the minor fracture locations within the major classes without inheriting the weights. Taking Figure 9m–r as an example, it is evident that with an increasing number of neurons, the classification performance significantly improves. This is reflected in the classification boundaries getting closer to the correct data points. When the number of neurons in the hidden layer is 10, the classification boundary is closest to the correct data points. When further increasing the number of neurons, the boundary moves away from the data points. Although the difference between the figures is subtle, the trend can still be observed. Therefore, to facilitate weight inheritance from the prelude network and ensure structural consistency, the number of neurons in the hidden layer of the front network is set to 12, and the number of neurons in the hidden layer of the rear network is set to 10.
During prediction, the three parameters (maximum stress, stress ratio, and stress amplitude) are input into the prelude network, and the group of fracture locations is predicted through the prelude network. The rear network is selected according to the group, and the parameters of the prelude network are repeatedly called for prediction. Finally, the fracture location corresponding to the relevant group is output as the final result.
All neural networks were implemented in Python (3.8.3) using the Pytorch (1.9.0) framework. The QCNN structure, including weight inheritance and group-specific subnetworks, was manually coded and trained using customized scripts.
4.2. Analysis of Prediction Results of Fracture Location
When the output of the prelude network is divided into groups, it is considered that the TMAZ is adjacent to the WNZ in Figure 2. They can be classified into one group. But, in the network training experiment, it was found that the division of adjacent areas would not help to predict the final result. The locations of the WNZ and the HAZ were finally classified into a group, and the locations of the BM and the TMAZ were divided into another group.
The results using the improved network to predict the fracture location are listed in Table 7. The prediction accuracy of the prelude network for the two groups is 100%. The loss value is 0.23845725 and the final prediction accuracy is 87.5%.
Table 7.
Prediction of fatigue fracture location by quadratic classification network.
In Table 7, the prelude network of the QCNN divides the BM and the TMAZ into one group because the three-layer BP neural network affects their judgment. To make the Matthew Effect of the two more obvious, the rear network judges them by inheriting the weight of the prelude network. Although some misclassifications may still occur, the data clearly show that the new grouping strategy significantly improves prediction accuracy compared to the previous approach.
From the results, the QCNN has the best prediction result of fatigue fracture location. The results show that the improved neural network is more accurate than the other three methods in predicting the fraction location of WNZ and HAZ. However, the BM and TMAZ of the two unconnected regions still have inaccurate judgments.
After further research, it is found that the prediction result can be improved by extracting the feature of incorrect data and modifying the artificial classification group of the prelude network corresponding to the feature. But this scheme needs more error data sets for analysis, so it is not discussed in detail. However, this scheme is a more reasonable method to solve the forecast error of the BM and the TMAZ.
5. Model Evaluation
The reliability of a model can be evaluated by such parameters as accuracy, precision, recall, and specificity. These parameters are the classification indicators obtained from the confusion matrix. The confusion matrix of the QCNN is listed in Table 8. Among them, the vertical axis represents the predicted value, and the horizontal axis represents the actual value. The equations for precision rate, recall rate, and specificity are shown in Equations (14)–(16).
where FPR represents the false positive rate.
Table 8.
Confusion matrix of the QCNN.
In the above equation, TP indicates that the real category of the sample is positive, and the result of model recognition is also positive. FN means that the real category of the sample is positive, but the model identifies it as negative. FP indicates that the real category of the sample is negative, but the model identifies it as positive. TN indicates that the real category of the sample is negative, and the model identifies it as negative.
According to the equations, some parameters of the QCNN can be calculated: The precision of the WNZ is 100%, the recall rate is 100%, and the specificity is 1. The precision rate of the HAZ is 100%, the recall rate is 100%, and the specificity is 1. The precision rate of the BM is 50%, the recall rate is 100%, and the specificity is 0.85. The precision rate of the TMAZ is 100%, the recall rate is 66.7%, and the specificity is 1.
The precision rate indicates the percentage of positive samples identified as positive by the model. The higher the precision ratio, the better the model effects. The recall rate indicates the ratio of the number of positive samples correctly identified by the model to the total number of positive samples. The higher the recall rate, the more positive samples the model predicted correctly. Specificity represents the ratio of the number of negative samples identified by the model to the total number of negative samples. The greater the specificity, the better the model effects [38]. It can be seen from the above results that the model has a good effect in predicting WNZ, HAZ, and TMAZ but is less sensitive to BM.
Under the same experimental conditions, after conducting fatigue tests on the FSW joints of other materials, the QCNN was used to predict them, and the results are shown in Table 9. The QCNN has a prediction accuracy of 75% and a loss value of 0.7210459 for the two major categories of manually divided fracture positions in the front network. The final prediction accuracy is 68.75%. It can be seen that the QCNN has a certain degree of inclusiveness, and it also has reasonable accuracy in predicting the fracture location of other materials.
Table 9.
Prediction results of fatigue fracture location of other materials using the QCNN.
The neural analysis results of this network are shown in Figure 10. The circle-solid line represents the true value. Because the classification model uses one-hot code, the true value is always 1. The squared-solid line represents its prediction probability, and the other dotted lines represent the output of each neuron, which can be considered a form of probability.

Figure 10.
Neuron analysis of each fracture location: (a) BM; (b) HAZ; (c) TMAZ; (d) WNZ.
The ordinate of Figure 10 represents the output value of neurons, and the abscissa represents different prediction groups. It can be seen that the neuron output of the WNZ and the HAZ is relatively stable, which means the output of each neuron is at the same level. However, the neuron output of the BM and the TMAZ is relatively disordered. Only some neurons play a key role in prediction, and nearly half of them play no active role. By comparing the two areas, it can be found that although the neurons in the TMAZ are messy, the overall output is more accurate and closer to the true value than that in the BM. Therefore, the prediction effect in the TMAZ is better than that in the BM.
6. Influence of Input Parameters on Fracture Location
For the QCNN, the weight of input parameters is determined by trying to shuffle the input parameters. After each feature is processed, its influence is judged by the corresponding loss value. The larger the loss value, the more influential the feature is.
This network includes a prelude network and two rear networks. It is necessary to conduct comprehensive judgment and analysis on these three groups of networks. To ensure stability, 200 reshuffles were carried out for each input feature of the three networks, The corresponding loss value obtained from each reshuffle was calculated and recorded, as shown in Figure 11. After that, repeated 100 times, all network loss values were added and divided. The results are shown in Figure 12. The importance of the maximum stress, stress amplitude, and stress ratio to the fracture location was determined.
Figure 11.
Importance analysis of network input parameters.
Figure 12.
Importance analysis of network input parameters (totality).
Figure 11 only shows one result. The three colored bars represent the influence of stress ratio, stress amplitude, and maximum stress on the accuracy of output parameters from bottom to top. The horizontal axis represents the corresponding loss value, and the vertical axis represents different networks. As can be seen from Figure 11, rear network 2 (the network that distinguishes BM and TMAZ in the rear network) has a higher average loss value than other networks when the network structure is similar to other networks, so its prediction effect is worse. It may be one of the reasons why this network cannot predict BM accurately. In addition, compared with other networks, rear network 2 is more sensitive to input parameters, so the above problems may be solved by improving reasonable learning data sets.
The overall importance analysis results of the network are shown in Figure 12. The impact of the three input parameters on the results is relatively average, and there is no significant difference. However, the maximum stress accounts for a considerable proportion of the input parameters, which can determine the location of the fracture.
The influence of the maximum stress, stress amplitude, and stress ratio on the fracture location is shown in Figure 13. The fracture location prediction data in the maximum stress range of 175~350 MPa and the stress ratio of −1~1 are simulated by using the quadratic classification network model.
Figure 13.
Box diagram of the influence of (a) maximum stress, (b) stress amplitude, and (c) stress ratio on fracture location.
As can be seen from Figure 13a, for the maximum stress within a specific range, the fracture locations of the FSW joints of 7075-T651 aluminum alloy will shift from the HAZ to the WNZ through the BM and the TMAZ with the increase in the maximum stress without considering other factors and other input parameters. There is no apparent transfer relationship between stress amplitude and stress ratio. But it can be seen that the TMAZ is more sensitive, which means that the TMAZ is more prone to fracture for the same input parameters. To intuitively analyze the influence of parameter correlation on the fracture location based on this model, the variable influence matrix is shown in Figure 14. The diagonal panels (a, e, i) quantify each parameter’s direct effect; off-diagonals illustrate interaction effects and the shifting fracture zone envelopes.
Figure 14.
Matrix of the influence of the maximum stress, stress amplitude, and stress ratio on the fracture location: (a) the influence of maximum stress on fracture location; (b,d) the influence of maximum stress and stress amplitude on fracture location; (c,g) the influence of maximum stress and stress ratio on fracture location; (e) the influence of stress amplitude on fracture location; (f,h) the influence of stress amplitude and stress ratio on fracture location; (i) the influence of stress ratio on fracture location.
The right diagonal is a bar graph in grid format (Figure 14a,e,i), and the rest of the graphs are symmetrical at the diagonal, indicating the influence of the interaction of two input parameters on the fracture location. Its graph is a contour map. The density of the lines indicates the amount of data. The closed graph sealed with the same color indicates the same data. As can be seen from Figure 14g, no matter what parameter the ordinate is, with the increase in the maximum stress, the fracture location changes from a small area of the BM through the HAZ, the BM, and the TMAZ to the WNZ.
Figure 15 shows the enlarged line figure of Figure 14d. The influence of these two parameters on fracture location can be seen more clearly. Within a certain range of stress ratio, the fracture location has a relatively obvious distribution law. In order to better divide the areas, the outliers can be considered as the negligible factors caused by fatigue experiment error or network classification error, and the inevitable fracture location area under a certain fixed stress ratio can also be temporarily excluded. Therefore, the region equation of the fatigue fracture location of the 7075-T651 aluminum alloy FSW joint can be proposed using the data set of fracture position boundary.
Figure 15.
The influence of maximum stress and stress amplitude on fracture location.
7. Regional Fracture Prediction Formula (RFPF)
From the network model, the fracture location shows an obvious regionality with the change in maximum stress and stress amplitude. Therefore, the regional partition points are extracted separately, as shown in Figure 16. The color band represents the value of the stress ratio. The lighter the color, the greater the stress ratio.
Figure 16.
Scattered points at the boundary of each location.
In the range of maximum stress, 175 MPa to 350 MPa, and a stress ratio of −1 to 1, the boundary points of each region show a good linear relationship. It is possible to establish the regional equation with the data.
The region shown in Figure 17a is a HAZ. The region line consists of three parts: the solid line segment representing the data boundary, the dotted line segment representing the boundary between the first area of the BM and the HAZ, and the dashed line segment representing the boundary between the HAZ and the second area of the BM. Although it is impossible to determine the accuracy outside the data boundary line, it can be roughly determined that the stress ratio range is −1 to 1. The range equation according to the Fourier series quadratic expansion and the boundary data is shown in Equation (17).
where σa is the stress amplitude, σmax is the maximum stress, and R is the stress ratio.
Figure 17.
Boundary line: (a) HAZ; (b) BM; (c) TMAZ; (d) WNZ.
The region shown in Figure 17b is the second area of the BM. The area consists of a dotted line segment representing the boundary between the HAZ and the second area of the BM and a dashed line segment representing the boundary between the second area of the BM and the TMAZ. The stress ratio ranges from −1 to 0.8. The range equation is shown in Equation (18).
Figure 17c is the boundary of the TMAZ. The dotted line segment represents the boundary between the second area of the BM and the TMAZ, while the dashed line segment represents the boundary between the TMAZ and the WNZ. The stress ratio ranges from −1 to 1. The range equation is shown in Equation (19).
The area shown in Figure 17d is the WNZ. The area line consists of a dotted line segment representing the boundary between the TMAZ and the WNZ and a solid line segment representing the data boundary line. The stress ratio ranges from −0.6 to 1.0. The range equation is shown below.
All the region equations are based on the Fourier series quadratic expansion shown in Equation (21).
where ω2 is twice as much as ω1 in general.
The microstructure in each area of FSW has different mechanical property parameters [39]. The material properties of each area are listed in Table 10. AS and RS in the table are the advancing side and retreating side of the FSW joint, respectively. In order to facilitate classification calculation, this paper does not consider the influence of AS and RS and sets them as the same area.
Table 10.
Static performance parameters of each area of the joint.
For the above regional equation, after several calculations, combined with the fracture strength and elastic modulus in Table 10, the RFPF is proposed as Equation (22).
where σmax represents the maximum stress in MPa. η represents one of the characteristic values of the region, which is named as the lower limit of regional fracture in this paper. A and B are first-order matrices, which are used to represent the quadratic expansion of the Fourier series.
Equation (22) represents the lower limit of the fracture area, which is the leftmost segment of the area in Figure 17. The regional fracture location rule is HAZ, BM, TMAZ, and WNZ. The upper limit of one area is the lower limit of the next area. Cases beyond the above the maximum stress and stress ratio setting range will not be considered.
A and B are shown in Equation (23).
where A represents the parameters of each region, and each region has its own regional parameters whose values are dimensionless. B represents a triangular function matrix of stress amplitude, which consists of a sine function and a cosine function with coefficients corresponding to p, q, m, and n in A, respectively. σa represents the stress amplitude in MPa. μ1 and μ2 are dimensionless stress amplitude adjustment factors, and μ1 = 2μ2. μ is related to the corresponding fracture strength and the modulus of elasticity for the region, as shown in Equation (24).
where E represents the elastic modulus of the region in MPa. σf indicates the fracture strength of the corresponding area in MPa.
8. Conclusions
In this study, we introduced a novel Quadratic Classification Neural Network (QCNN) that outperforms decision trees, logistic regression, and a conventional BP-ANN in predicting fatigue fracture locations of 7075-T651 FSW joints. A detailed influence analysis revealed that maximum stress is the most significant factor driving the shift of fracture zones from the base material through the HAZ and the TMAZ to the weld nugget as loads increase. Finally, we derived a physics-informed Regional Fracture Prediction Formula (RFPF) based on a Fourier-series quadratic expansion, seamlessly integrating QCNN outputs with material properties to enable the rapid, accurate estimation of fatigue fracture regions. These contributions collectively advance machine learning-based structural-life assessment for friction stir-welded aluminum joints.
QCNN’s macro-class division reduces confusion between neighboring fracture zones, unlike flat classifiers that struggle with overlapping distributions. By initializing rear networks with prelude weights, the QCNN preserves shared feature encoding and requires fewer epochs to converge, improving data efficiency on small experimental sets. The rear networks learn quadratic mappings in feature space, widening decision margins compared to linear logistic regression or axis-aligned splits in CART. These innovations make the QCNN both more accurate and more data-efficient for fatigue-fracture localization than traditional classifiers.
Moreover, the modular QCNN + RFPF framework can readily accommodate additional input features—such as microstructural descriptors, residual stress distributions, or multiaxial loading metrics—enabling its extension to diverse welding conditions and fatigue regimes. Its architecture also allows straightforward retraining on other aluminum alloys (e.g., AA6061-T6, AA2024-T351) and even dissimilar metal FSW joints, broadening its applicability to a wider range of structural materials. Integration with real-time monitoring data (e.g., acoustic emission, infrared thermography) offers the potential for online fatigue location prediction and structural health monitoring. These parametric and material adaptations will facilitate the deployment of our approach across various industrial manufacturing applications, from aerospace and automotive to shipbuilding and beyond.
9. Future Work
Future investigations will focus on:
- (1)
- Extending the QCNN model by incorporating microstructural and residual stress features extracted via SEM and X-ray diffraction imaging to improve prediction accuracy.
- (2)
- Evaluating the RFPF framework across other aluminum alloys (e.g., AA6061-T6, AA2024-T351) and varying welding parameters to assess generalizability.
- (3)
- Developing an interpretable QCNN variant—for instance, adding attention mechanisms or Layer-Wise Relevance Propagation—to provide deeper physical insight into fracture-location decisions.
- (4)
- Validating the models under service-like loading (e.g., multiaxial and variable-amplitude fatigue tests) to confirm performance in realistic operational environments.
Author Contributions
Conceptualization, S.C.; methodology, G.M.; validation, G.S. and S.Y.; formal analysis, G.M.; investigation, X.L. and W.K.; resources, G.S. and S.C.; data curation, X.L.; writing—original draft, G.M.; writing—review and editing, G.S.; visualization, G.M. and S.Y.; supervision, S.C.; project administration, W.K.; funding acquisition, G.S. and W.K. All authors have read and agreed to the published version of the manuscript.
Funding
This work was funded by the National Natural Science Foundation of China (Grant No. 11672010).
Data Availability Statement
The original contributions presented in this study are included in the article. Further inquiries can be directed to the corresponding authors.
Conflicts of Interest
The authors declare no conflicts of interest.
Abbreviations
The following abbreviations are used in this manuscript:
| FSW | Friction stir welding |
| ANN | Artificial neural network |
| QCNN | “Quadratic Classification” Neural Network |
| RFPF | Regional Fracture Prediction Formula |
| WNZ | Weld nugget zone |
| TMAZ | Thermo-mechanically affected zone |
| HAZ | Heat-affected zone |
| BM | Base material |
| MLE | Maximum likelihood estimation |
| BP | Back-propagation |
| AS | Advancing side |
| RS | Retreating side |
References
- Texier, D.; Atmani, F.; Bocher, P.; Nadeau, F.; Chen, J.; Zedan, Y.; Vanderesse, N.; Demers, V. Fatigue performances of FSW and GMAW aluminum alloys welded joints: Competition between microstructural and structural-contact-fretting crack initiation. Int. J. Fatigue 2018, 116, 220–233. [Google Scholar] [CrossRef]
- Liu, P.; Sun, S.; Hu, J. Effect of laser shock peening on the microstructure and corrosion resistance in the surface of weld nugget zone and heat-affected zone of FSW joints of 7050 Al alloy. Opt. Laser Technol. 2019, 112, 1–7. [Google Scholar] [CrossRef]
- Mishra, R.S.; Ma, Z.Y. Friction stir welding and processing. Mater. Sci. Eng. R Rep. 2005, 50, 1–78. [Google Scholar] [CrossRef]
- Rabe, P.; Reisgen, U.; Schiebahn, A. Non-destructive evaluation of the friction stir welding process, generalizing a deep neural defect detection network to identify internal weld defects across different aluminum alloys. Weld. World 2023, 67, 549–560. [Google Scholar] [CrossRef]
- Lertora, E.; Campanella, D.; Pizzorni, M.; Mandolfino, C.; Buffa, G.; Fratini, L. Comparative evaluation of the effect of the substrate thickness and inherent process defects on the static and fatigue performance of FSW and adhesive-bonded overlap-joints in an AA6016 alloy. J. Manuf. Process. 2021, 64, 785–792. [Google Scholar] [CrossRef]
- Fan, Y.; Gui, X.; Liu, M.; Wang, X.; Feng, C.; Gao, G. High-Cycle Fatigue Life and Strength Prediction for Medium-Carbon Bainitic Steels. Metals 2022, 12, 856. [Google Scholar] [CrossRef]
- Sun, G.; Wei, X.; Shang, D.; Chen, S.; Long, L.; Han, X. Tensile and fatigue analysis based on microstructure and strain distribution for 7075 aluminum FSW joints. Metals 2020, 10, 1610. [Google Scholar] [CrossRef]
- Aydin, H.; Tutar, M.; Durmuş, A.; Bayram, A.; Sayaca, T. Effect of welding parameters on tensile properties and fatigue behavior of friction stir welded 2014-T6 aluminum alloy. Trans. Indian Inst. Met. 2012, 65, 21–30. [Google Scholar] [CrossRef]
- Maggiolini, E.; Tovo, R.; Susmel, L.; James, M.; Hattingh, D. Crack path and fracture analysis in FSW of small diameter 6082-T6 aluminium tubes under tension–torsion loading. Int. J. Fatigue 2016, 92, 478–487. [Google Scholar] [CrossRef]
- Weng, S.; Huang, Y.; Si, X.; Xuan, F.-Z.; Kang, Y. SCC fracture location shifting affected by stress-controlled fatigue damage of NiCrMoV steel welded joints. J. Mater. Res. Technol. 2022, 21, 1534–1553. [Google Scholar] [CrossRef]
- Dorbane, A.; Ayoub, G.; Mansoor, B.; Hamade, R.; Kridli, G.; Shabadi, R.; Imad, A. Microstructural observations and tensile fracture behavior of FSW twin roll cast AZ31 Mg sheets. Mater. Sci. Eng. A 2016, 649, 190–200. [Google Scholar] [CrossRef]
- Ren, W.; Liu, D.; Liu, Q.; Xin, R. Influence of texture distribution in magnesium welds on their non-uniform mechanical behavior: A CPFEM study. J. Mater. Sci. Technol. 2020, 46, 168–176. [Google Scholar] [CrossRef]
- Farhadi, S.; Tatullo, S.; Ferrian, F. Comparative analysis of ensemble learning techniques for enhanced fatigue life prediction. Sci. Rep. 2025, 15, 11136. [Google Scholar] [CrossRef] [PubMed]
- Li, X.; Yang, H.; Yang, J. Fretting fatigue life prediction for aluminum alloy based on particle-swarm-optimized back propagation neural network. Metals 2024, 14, 381. [Google Scholar] [CrossRef]
- Zhao, C.; Wang, J.; He, F.; Bai, X.; Shi, H.; Li, J.; Huang, X. A fatigue life prediction method based on multi-signal fusion deep attention residual convolutional neural network. Appl. Acoust. 2025, 235, 110646. [Google Scholar] [CrossRef]
- Barbosa, J.F.; Correia, J.A.F.O.; Júnior, R.C.S.F.; De Jesus, A.M.P. Fatigue life prediction of metallic materials considering mean stress effects by means of an artificial neural network. Int. J. Fatigue 2020, 135, 105527. [Google Scholar] [CrossRef]
- Teng, X.; Pang, J.; Liu, F.; Zou, C.; Bai, X.; Li, S.; Zhang, Z. Fatigue life prediction of gray cast iron for cylinder head based on microstructure and machine learning. Acta Metall. Sin. 2023, 36, 1536–1548. [Google Scholar] [CrossRef]
- Guo, X.; Liu, X.; Long, G.; Zhao, Y.; Yuan, Y. Data-driven prediction of the fatigue performance of corroded high-strength steel wires. Eng. Fail. Anal. 2023, 146, 107108. [Google Scholar] [CrossRef]
- Zheng, Z.; Li, X.; Sun, T.; Huang, Z.; Xie, C. Multiaxial fatigue life prediction of metals considering loading paths by image recognition and machine learning. Eng. Fail. Anal. 2023, 143, 106851. [Google Scholar] [CrossRef]
- Peta, K.; Żurek, J. Prediction of air leakage in heat exchangers for automotive applications using artificial neural networks. In Proceedings of the 2018 9th IEEE Annual Ubiquitous Computing, Electronics & Mobile Communication Conference (UEMCON), New York City, NY, USA, 8–10 November 2018; IEEE: Piscataway, NJ, USA, 2018; pp. 721–725. [Google Scholar]
- Xiong, X.; Zhang, N.; Yang, J.; Chen, T.; Niu, T. Machine learning-assisted prediction of corrosion behavior of 7XXX aluminum alloys. Metals 2024, 14, 401. [Google Scholar] [CrossRef]
- Maleki, E.; Bagherifard, S.; Guagliano, M. Correlation of residual stress, hardness and surface roughness with crack initiation and fatigue strength of surface treated additive manufactured AlSi10Mg: Experimental and machine learning approaches. J. Mater. Res. Technol. 2023, 24, 3265–3283. [Google Scholar] [CrossRef]
- Liao, H.; Pan, J.; Su, X.; Sun, X.; Chen, X. A path-dependent adaptive physics-informed neural network for multiaxial fatigue life prediction. Int. J. Fatigue 2025, 193, 108799. [Google Scholar] [CrossRef]
- Long, X.; Lu, C.; Su, Y.; Dai, Y. Machine learning framework for predicting the low cycle fatigue life of lead-free solders. Eng. Fail. Anal. 2023, 148, 107228. [Google Scholar] [CrossRef]
- Long, X.; Lu, C.; Su, Y.; Dai, Y. Deep learning assisted prediction on main factors influencing shear strength of sintered nano Ag-Al joints under high temperature aging. Eng. Fail. Anal. 2025, 167, 107228. [Google Scholar]
- Chen, W.; Li, Y.; Liu, Z.; Zhang, C.; Zhao, Y.; Yan, X. Prediction model for bearing surface friction coefficient in bolted joints based on GA-BP neural network and experimental data. Tribol. Int. 2025, 201, 110217. [Google Scholar] [CrossRef]
- Sun, G.; Wang, C.; Wei, X.; Shang, D.; Chen, S. Study on small fatigue crack initiation and growth for friction stir welded joints. Mater. Sci. Eng. A 2019, 739, 71–85. [Google Scholar] [CrossRef]
- Myles, A.J.; Feudale, R.N.; Liu, Y.; Woody, N.A.; Brown, S.D. An introduction to decision tree modeling. J. Chemom. J. Chemom. Soc. 2004, 18, 275–285. [Google Scholar] [CrossRef]
- Quinlan, L.R.; Rivest, R.L. Inferring decision trees using the minimum description length principle. Inf. Comput. 1989, 80, 227–248. [Google Scholar] [CrossRef]
- LaValley, M.P. Logistic regression. Circulation 2008, 117, 2395–2399. [Google Scholar] [CrossRef]
- Zhang, Y.; Tiňo, P.; Leonardis, A.; Tang, K. A survey on neural network interpretability. IEEE Trans. Emerg. Top. Comput. Intell. 2021, 5, 726–742. [Google Scholar] [CrossRef]
- Jebli, I.; Belouadha, F.Z.; Kabbaj, M.I.; Tilioua, A. Prediction of solar energy guided by pearson correlation using machine learning. Energy 2021, 224, 120109. [Google Scholar] [CrossRef]
- Jin, W.; Li, Z.J.; Wei, L.S.; Zhen, H. The improvements of BP neural network learning algorithm. In Proceedings of the WCC 2000-ICSP 2000, 2000 5th International Conference on Signal Processing Proceedings, 16th World Computer Congress 2000, Beijing, China, 21–25 August 2000; IEEE: Piscataway, NJ, USA, 2000; Volume 3, pp. 1647–1649. [Google Scholar]
- Hu, R.; Tian, B.; Yin, S.; Wei, S. Efficient hardware architecture of softmax layer in deep neural network. In Proceedings of the 2018 IEEE 23rd International Conference on Digital Signal Processing (DSP), Shanghai, China, 19–21 November 2018; IEEE: Piscataway, NJ, USA, 2018; pp. 1–5. [Google Scholar]
- Alitalo, P.; Luukkonen, O.; Tretyakov, S. A three-dimensional backward-wave network matched with free space. Phys. Lett. A 2008, 372, 2720–2723. [Google Scholar] [CrossRef]
- Ashley, D.R.; Ghiassian, S.; Sutton, R.S. Does the adam optimizer exacerbate catastrophic forgetting? arXiv 2021, arXiv:2102.07686. [Google Scholar]
- Bank, D.; Koenigstein, N.; Giryes, R. Autoencoders. In Machine Learning for Data Science Handbook: Data Mining and Knowledge Discovery Handbook; Springer: Cham, Switzerland, 2023; pp. 353–374. [Google Scholar]
- Valero-Carreras, D.; Alcaraz, J.; Landete, M. Comparing two SVM models through different metrics based on the confusion matrix. Comput. Oper. Res. 2023, 152, 106131. [Google Scholar] [CrossRef]
- Sun, G.; Chen, Y.; Chen, S.; Shang, D. Fatigue modeling and life prediction for friction stir welded joint based on microstructure and mechanical characterization. Int. J. Fatigue 2017, 98, 131–141. [Google Scholar] [CrossRef]
Disclaimer/Publisher’s Note: The statements, opinions and data contained in all publications are solely those of the individual author(s) and contributor(s) and not of MDPI and/or the editor(s). MDPI and/or the editor(s) disclaim responsibility for any injury to people or property resulting from any ideas, methods, instructions or products referred to in the content. |
© 2025 by the authors. Licensee MDPI, Basel, Switzerland. This article is an open access article distributed under the terms and conditions of the Creative Commons Attribution (CC BY) license (https://creativecommons.org/licenses/by/4.0/).