Abstract
The limited thermal conductivity of compacted graphite iron constrains its application in brake discs. The matrix plays a crucial role in balancing the thermal conductivity and mechanical performance of compacted graphite iron. Therefore, two kinds of compacted graphite brake discs with different ferrite proportions were utilized to investigate their thermal cracking and friction performance under intensive braking conditions based on inertia friction tests. The variations in peak temperature, pressure load and friction coefficient stability were also analyzed. The brake disc with a higher ferrite proportion exhibited a lower peak temperature, attributed to increased thermal conductivity. Moreover, the elevated content of soft ferrite resulted in a greater furrow height on the worn surface, contributing to an increase in friction force and stability. As a result, both the input pressure and mechanical stress decreased. It was observed that the compacted graphite iron brake disc with a higher ferrite proportion exhibited fewer thermal cracks without compromising wear resistance. Furthermore, the results suggest that lowering the disc temperature to 210 °C–250 °C can mitigate fatigue wear and matrix oxidation, hindering the propagation of thermal cracks.
1. Introduction
During the braking process, brake discs must endure frictional torque, absorb the generated heat and quickly dissipate it into the surrounding air [1,2]. Simultaneously, brake discs need to be suitable for various braking applications, including frequent acceleration–deceleration and single stops with specific deceleration [3,4,5]. In high deceleration braking events, the braking time may be insufficient for the heat to dissipate through the disc material. In such cases, more braking energy is absorbed by the brake disc, leading to a higher temperature rise and increased thermomechanical stress [5]. This process requires high resistance to thermal cracking and excellent friction stability.
Compacted graphite iron (CGI) has been regarded as an ideal material for commercial vehicle brake discs due to the presence of rounded vermicular graphite, which reduces the initiation of thermal cracks and matrix oxidization [6,7,8,9]. Unfortunately, CGI brake discs have not been widely used as anticipated. One important reason is the low thermal conductivity of CGI discs, which exacerbates thermomechanical stress and friction force during high-deceleration braking events.
The performances of CGI brake discs have been extensively investigated. Kim et al. [10] investigated the mechanical properties and friction process of CGI at elevated temperatures using a Pin-on-Disc wear tester. They found that the tensile strength of CGI increased linearly with increasing pearlite proportions and decreasing temperatures. They also indicated that wear loss increased with rising temperatures or in the absence of air due to the oxidation of the matrix. Cueva et al. [11] tested the wear resistance of CGI at different pressures by the Pin-on-Disc testing method. Their results showed that CGI exhibited a higher temperature and friction force but greater weight loss than those of gray cast iron samples at cyclical pressures of 0.7 MPa, 2 MPa and 5 MPa. The thermal and mechanical properties of CGI are mainly adjusted in practical production by controlling their graphite morphologies, ferrite/pearlite ratios and alloying additions. To improve the heat transfer property of CGI, researchers have explored increasing vermicularity and ferrite proportions due to providing more pathways for heat transfer and increased thermal conductivity of the matrix [12,13] or reducing alloying additions due to the scattering of alloying atoms [14,15]. However, such structural changes often result in decreased tensile strength or microhardness, potentially weakening resistance to thermal fatigue and friction stability [16,17]. This contradictory relationship between the thermal and mechanical properties of CGI is also one of the reasons limiting the application of CGI brake discs. Ralkanoglou et al. [18] studied the primary fracture mechanism of CGI in thermal cycling conditions using a numerical approach. They developed a 2D model to investigate the effects of ellipse graphite decohesion and matrix plasticization on microcracking. However, their numerical assessment was inadequate because it did not consider oxidation and oversimplified the graphite and ferrite morphologies. Pan et al. [19] proposed a modified Paris-type life model to predict the thermal damage of CGI. Their results showed that the initiation and propagation of thermal cracks were affected by various structural characteristics, suggesting that the number of thermal fatigue cracks is related to the amplitude of temperature. Zhang et al. [20] indicated that a higher pearlite content offered the best thermal fatigue resistance by reducing the cracking growth rate. However, their thermal fatigue experiments did not consider the influence of friction.
Most of the above studies have focused on graphite morphology and individual performance aspects, such as thermal fatigue or wear. However, the matrix of CGI is equally crucial in understanding thermal cracking and friction behavior, as it serves as the primary structure responsible for heat absorption/dissipation and friction. Moreover, the performance of brake discs is a composite outcome of thermal cracking, friction fade, fatigue, etc. The relationships between the matrix structure and the combined behavior of thermal cracking and friction have been less explored and analyzed.
To provide a theoretical basis for improving the service performance of brake discs, this study compares and analyzes the thermal cracking and friction performance of two kinds of CGI brake discs under high-deceleration braking conditions. The variations in thermo-mechanical stresses are explored by examining changes in peak temperatures and pressure loads. The influence of the matrix on the friction coefficient and stability is discussed. Additionally, this study investigates the morphology of thermal cracks and worn surfaces to reveal the law of thermal crack propagation and wear.
2. Materials and Methods
2.1. Materials
Two kinds of CGIs were melted in a 250 kg medium-frequency induction furnace. The charge materials comprised steel scrap, low-P pig iron, ferromolybdenum, ferrosilicon, copper, tin and carburizer. After superheating to 1520 °C for approximately 10 min, the molten iron was transferred into a ladle. A sandwich vermicularizing method, including 0.36 wt% FeSiMgRE and 0.39 wt% FeSiBa, was employed. The vermicularizer, FeSiMgRE, mainly comprised 5.5 wt% Mg, 45.3 wt% Si, 5.9 wt% RE (RE: Ce ~65 wt%) and the remaining balance of Fe, with a particle size ranging from 4 mm to 10 mm. The inoculant, FeSiBa, consisted of 72.6 wt% Si, 1.2 wt% Ca, 2.3 wt% Ba and the remaining balance of Fe, with a particle size ranging from 0.7 mm to 3 mm. The chemical compositions of brake discs are listed in Table 1. Carbon equivalent (CE) was calculated by C% + 1/3(Si% + P%). Three brake disc castings were poured at about 1420 °C for each composition.
Table 1.
Chemical composition of CGI brake discs (wt%).
2.2. Microstructure Characterization
For each composition, one disc was cut to prepare samples for observation and measurement. The graphite content and vermicularity were estimated according to ISO 16112:2017 [21] using quantitative metallography with the software ImageJ Pro (Version 6.0). Metallographic samples were etched using 4% nital for 8 s to reveal the matrix characteristics. The proportion of a phase (graphite, ferrite and pearlite) was simply determined by the proportion of the area occupied by the phase on the metallographic specimen. To assess the impact of alloying additions, the microhardness of the ferrite was measured using an automatic Qness Q60+ microhardness tester (QTAM, Salzburg, Austria) with a 500 g load applied for 10 s. The measurements of microhardness were conducted on the etched specimens, with values recorded under the condition that no graphite and pearlite were present in the indentation. All microstructural characteristics represent average values obtained from eight fields.
2.3. Mechanical and Physical Properties
Tensile tests were conducted via a universal testing machine, using test bars with a gauge diameter of 5 mm and a gauge length of 30 mm. A tensile speed of 0.05 mm/s was used for each test. Brinell hardness was measured using an HB-3000 hardness tester. Dish samples with a diameter of 12.5 mm and a thickness of 2.5 mm were used to measure thermal diffusivity and heat capacity from 25 °C to 500 °C by a NETZSCH LFA 457 laser flash instrument (NETZSCH GABO instruments GmbH, Ahlden, Sachsen, Germany). Three tests were conducted for each composition, and the average value was calculated. The linear thermal expansion coefficient μ was determined by a Hengjiu HPY-1 thermal dilatometer at a heating rate of 10 °C/min from 25 °C to 500 °C. The density at room temperature was determined by the Archimedes principle, and the density ρ(T) at an elevated temperature was calculated using Equation (1). Subsequently, the thermal conductivity at an elevated temperature of the CGI was obtained by Equation (2).
2.4. Inertia Friction Tests
For each composition, one disc was machined to the dimensions illustrated in Figure 1. The performance of the CGI disc was evaluated using a LINK 3000 inertia friction test bench (LINK Engineering, Dearborn, MI, USA). Test parameters and high-deceleration procedures were designed in accordance with the ECE R90 r3 regulation annex 11 [22], as detailed in Table 2. Each braking application represents one braking cycle, wherein the rotational speed of the brake disc decreases from the initial speed to the final speed at a specified deceleration rate. Initially, both discs were burnished based on the bedding-in procedure to ensure consistent conditions for subsequent testing. This procedure facilitates the elevation of the rubbing surface temperature of the brake pad, thereby generating a transfer film layer composed of friction material that is subsequently applied onto the disc surface. The discs were then subjected to the high-deceleration procedure. In each braking application, the peak temperature was measured using a K-type rubbing thermocouple. The minimum, mean and maximum values of the input pressure and friction coefficient were recorded. The test configuration is depicted in Figure 2. Modalis® uniform commercial brake pads, composed of resin, fibers and a wear-resistant alloy, were utilized for all tests.
Figure 1.
Brief dimensions of the CGI disc used in this work.
Table 2.
Parameters and procedures of inertia friction test.
Figure 2.
Images showing the (a) configurations of inertia friction test and (b) brake pads.
After undergoing the inertia friction test, the discs were subsequently cut for detailed observation. The worn surfaces and cross-sections were examined using both an optical microscope and a JEOL field-emission scanning electron microscope (SEM) equipped (JEOL Ltd., Tokyo, Japan) with energy-dispersive X-ray spectroscopy (EDS) (Thermo Fisher Scientific, Waltham, MA, USA). Furthermore, the microscopic 3D profiles of the worn surfaces were measured employing a ZYGO optical 3D profilometer (Zygo Corporation, Middlefield, CT, USA).
3. Results and Discussion
3.1. Microstructure and Properties
The microstructure of the two CGI discs is shown in Figure 3. The corresponding structural characteristics are listed in Table 3. The proportion of ferrite was determined as the ratio of ferrite to pearlite, approximated using quantitative metallography with ImageJ Pro software. The ratio of pearlite was assumed to be the proportion of black area in the metallographic images of the etched specimens minus the proportion of graphite measured from unetched specimens. The HC1 and HC2 discs consisted of similar graphite proportions and vermicularity due to comparable carbon equivalents and vermicularizing methods. However, differences arose in the proportion and microhardness of the ferrite. HC2 exhibited a larger ferrite proportion compared to that of HC1, as expected due to Sn addition, which strongly promoted pearlite formation [23]. Despite a higher Mo content, the microhardness of ferrite in HC2 was lower than that of HC1, indicating that Sn addition can also reinforce the iron matrix [24,25].
Figure 3.
Images showing the graphite morphology of (a) HC1 and (b) HC2 and the matrix of (c) HC1 and (d) HC2.
Table 3.
Microstructure characteristics and properties of CGI brake discs.
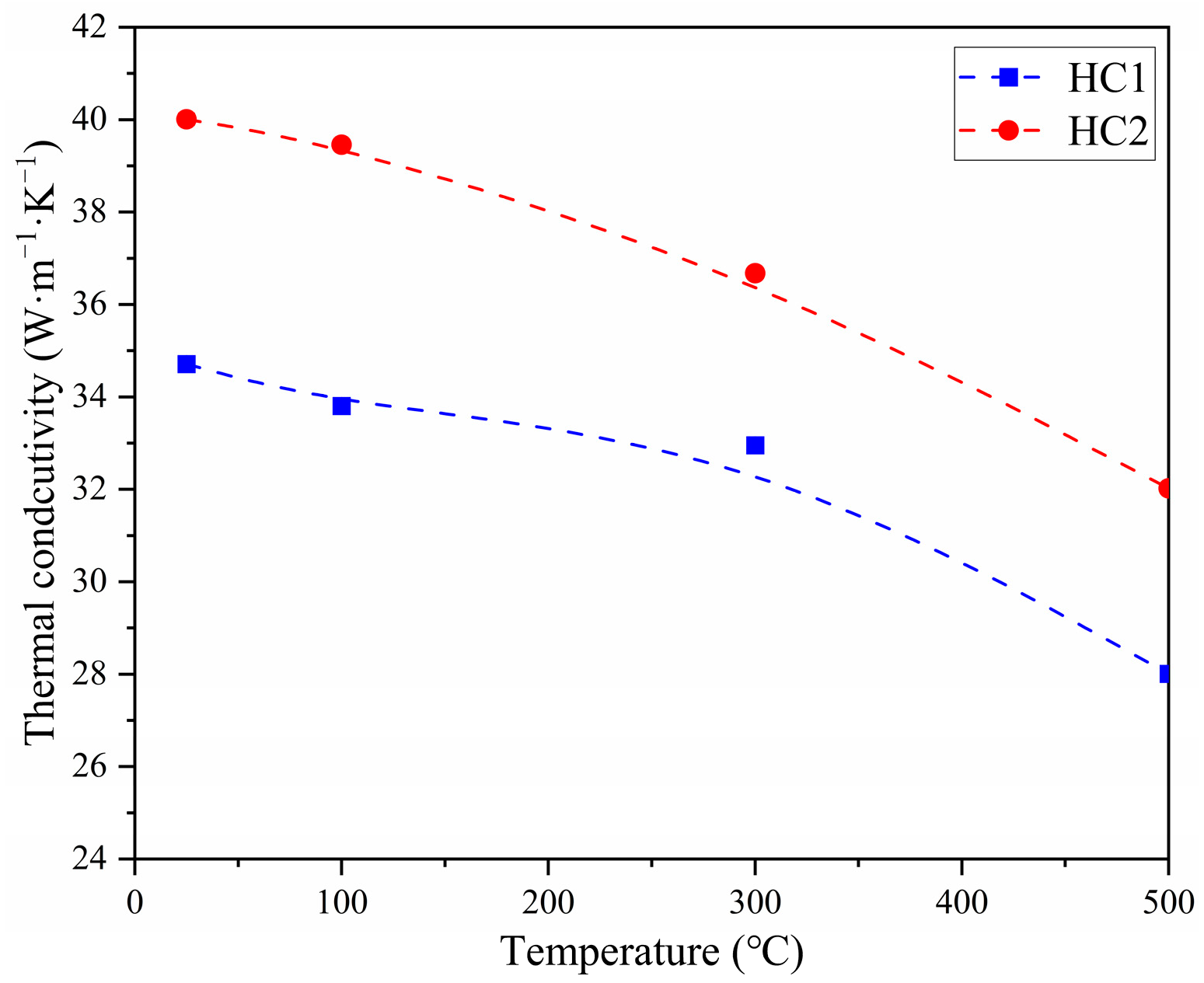
Table 3 summarizes the tensile strength and macrohardness of CGI discs. HC1 showed higher mechanical properties than those of HC2, attributed to the distinct microstructure mentioned earlier. The HC1 brake disc possessed a higher tensile strength compared to that of the HC2 brake disc, suggesting that it may have superior resistance to thermal cracking under equivalent thermomechanical stresses [9]. Moreover, the higher macrohardness and ferrite microhardness in the HC1 brake disc implied better wear resistance under the same temperature [11]. However, the resistance to thermal fatigue cracks and the wear capacity of the brake disc were also associated with its braking temperature and temperature amplitude during thermal cycles [19]. As shown in Figure 4, a larger ferrite proportion led to higher thermal conductivity in HC2 compared to HC1. The matrix type had no significant influence on the thermal expansion coefficient. The average thermal expansion coefficients of HC1 and HC2 from room temperature to 500 °C were 14.4 · 10−6 K−1 and 14.1 · 10−6 K−1, respectively. These differences in the thermal and mechanical properties were also indeed expected, considering the contradictory effects associated with the proportion and strength of ferrite [14,15,16,17].
Figure 4.
Thermal conductivity of CGI discs at different temperatures.
3.2. Peak Temperature and Input Pressure
In the high-deceleration test, kinetic potential energy was transformed into heat at the interface between the brake disc and pads. The majority of this heat was absorbed by the disc, leading to an elevation and nonuniform distribution of its temperature. The input pressure between the disc and pads could be adjusted according to the friction force to maintain a fixed deceleration. Cyclic variations in temperature and input pressure result in repeated thermomechanical stress on the surface of the brake disc.
In Figure 5a, the measured peak temperature during brake applications is depicted. It can be observed that the peak temperatures of the two discs gradually increased with the increase in braking applications, even though the initial temperature of each application was the same. This indicates that, despite cooling the surface temperature of the brake disc to 100 °C, the heat inside the disc was not dissipated but continued to accumulate during the brake applications. Moreover, it is evident that the peak temperature of HC2 was lower than that of HC1 under the same braking procedure. This difference can be attributed to the higher thermal conduction of HC2, indicating less generated heat and faster heat dissipation. This result implies that the HC2 disc exhibited lower thermal expansion and thermal stress.
Figure 5.
Summaries of (a) peak temperatures and (b) mean input pressures during the brake applications.
As illustrated in Figure 5b, the mean input pressures of both discs exhibited an initial increase followed by a subsequent decrease with the progress of the braking tests. This can be explained by the contradictory effects of disc temperature. In the initial stage of the braking procedure, the increased disc temperature reduced the mechanical properties of the disc and pads, leading to a fade in frictional force. As the temperature continued to rise, the disc and pads underwent greater thermal expansion, causing them to bind more tightly, thereby increasing frictional force and reducing input pressure. Moreover, it can also be found that the HC1 disc required more external pressure than that of the HC2 disc after 10 applications despite a higher peak temperature. This implies that the HC2 disc provided a larger friction force despite the lesser thermal expansion.
3.3. Friction Coefficient and Its Stability
The friction coefficient is a critical indicator for evaluating the performance of braking systems. It is a complex variable influenced by factors such as temperature, pressure, velocity, surface condition and surrounding medium. In the inertia friction test, the friction coefficient was estimated by the ratio of the output torque to the input torque according to the ECE R90 r3 regulation [22].
The mean friction coefficients between the two discs and their pads are summarized in Figure 6a. It is evident that both the mean friction coefficients of the HC1 and HC2 pairs (disc–pads) initially decreased and then increased after 20 applications. Like the patterns of the mean input pressure, this finding can also be explained by the contradictory effects of disc temperature, as mentioned above. Moreover, the mean friction coefficient of the HC2 pair was higher than that of the HC1 pair after 10 applications. This is consistent with the pattern of mean input pressure. In other words, the higher ferrite content in HC2 resulted in a higher thermal conductivity. This led to a lower peak temperature during braking applications, as shown in Figure 5a, and a lower fade in the friction coefficient compared to that of HC1. This also explains the curves observed in Figure 5b, where the input pressure for HC2 was lower.
Figure 6.
Summaries of (a) friction coefficients, (b) stabilities of friction coefficients and (c) friction fluctuations during the brake applications.
The friction coefficient stability was defined by the ratio of the mean friction coefficient and maximum friction coefficient. The results shown in Figure 6b indicate that the HC2 disc provided a more stable friction coefficient. Although it is not considered critical, friction fluctuation serves as an additional characterization parameter for assessing the stability of friction. Friction fluctuation can be defined as the difference between the maximum and minimum coefficients of friction. For each brake application, the friction fluctuations are detailed in Figure 6c. From the data, it is evident that the friction fluctuation of the HC2 brake disc was mainly within the range of 0.080 to 0.103, in contrast to the HC1 brake disc, for which the vast majority of friction fluctuations fell within the range of 0.105 to 0.115. This significant difference indicates that the HC2 brake disc exhibits a smaller friction fluctuation compared to that of the HC1 brake disc. This demonstrates that, under the same braking speed and deceleration conditions, the HC2 brake disc achieves a smaller variation in its friction coefficient, aligning with the findings presented in Figure 6b. This may benefit from the higher thermal conductivity and thus lower disc temperature, leading to stable properties of the disc and pads. This implies that the HC2 brake disc, with a higher ferrite content, exhibits a better friction coefficient and better friction coefficient stability.
3.4. Thermal Cracks and Wear
The optical micrographs of the worn surfaces are shown in Figure 7. Nonuniform reticular cracks were observed on the HC1 disc, and several long cracks appeared on the HC2 disc. Moreover, the cracks on the surface of HC1 appeared shorter and denser, whereas those on the HC2 surface were longer and sparser. To calculate the density of the cracks, a grid with four horizontal lines was overlaid onto the micrograph of the worn surface. The points where the grid intersected with the cracks were counted. The density of cracks was then characterized as the number of intersecting points per millimeter of length. The average crack densities of HC1 and HC2 were 5.6 per millimeter and 2.7 per millimeter, respectively. This difference is consistent with the above analysis. Higher disc temperatures and pressure loads increased the thermomechanical stress and aggravated the thermal cracking of the HC1 disc. This indicates that, although the high ferrite content in HC2 reduced the strength of the matrix and its crack resistance, it increased the thermal conductivity of the CGI brake disc, thus achieving lower thermal stress and a lower density of thermal cracks.
Figure 7.
Optical micrographs showing thermal cracks on the worn surface of (a) HC1 and (b) HC2.
The SEM images of the worn surfaces are shown in Figure 8. Similar to the optical observations, the thermal cracks on HC1 appeared short and dense, whereas longer and sparser thermal cracks were found on HC2. Moreover, almost all cracks on HC1 were surrounded by a gray oxidized matrix. However, no obvious oxidized matrix was found around the cracks on HC2. Similar regulation could be observed on the SEM images of the cross-sections of the two discs, as shown in Figure 9. In the cross-section of HC1, a conspicuous distribution of an oxidized matrix was observed surrounding the vermicular graphite exposed on the worn surface. A lesser oxidized matrix was found in the cross-section of HC2. This indicated a lesser extent of oxidation in the matrix of HC2. Previous studies have indicated that localized oxidation can cause embrittlement and change the propagation path of cracks, promoting crack initiation and branching [26,27,28]. The increased oxidized matrix in HC1 resulted in shorter and denser thermal fatigue cracks than those in HC2. The probable cause for this difference may be attributed to the lower ferrite content in HC1, which decreased its thermal conductivity and consequently raised the disc temperature to 250 °C–290 °C. The decomposition of organic compounds in the brake pads could be accelerated at 230 °C–450 °C [29], thereby promoting the oxidation of the iron matrix. The oxidization paths could be observed both in HC1 and HC2. This could promote the propagation of thermal cracks between different graphite particles [30,31].
Figure 8.
SEM images showing thermal cracks on the worn surface of (a) HC1 and (b) HC2.
Figure 9.
SEM images showing thermal cracks on the cross-section of (a) HC1 and (b) HC2.
Despite having different macrohardnesses, the wear of the two discs was similar. The average weight losses per brake application of HC1 and HC2 were 0.23 g and 0.26 g, respectively. However, there were clear distinctions in the profile of the worn surface. Typical 3D profiles of CGI discs are shown in Figure 10. Furrow wear [32] could be observed on both discs, but it could be seen that the furrows of HC1 were slightly narrower and shorter than those of HC2. Moreover, more “island-peaks” on the top of the furrows in HC1 were observed. These findings imply that fatigue wear occurred in the brake test of HC1, resulting from the larger amplitude of the repeated temperature variations. The difference in furrow height may have been caused by the different microhardness of the matrix. Due to the different contents of Mo and Sn elements, the ferrite proportion in the HC2 matrix was 30.7% higher than that in HC1, and the microhardness of ferrite in the HC2 matrix was slightly lower than that in HC1 (about 18.5 HV). Therefore, more and softer ferrite in HC2 led to deeper furrows. This increased the contact area between the HC2 brake disc and its brake pads, thereby providing a larger and more stable friction force. However, this may have reduced the wear resistance of the HC2 brake disc. Additionally, the increased ferrite proportion in HC2 improved the thermal conductivity of the brake disc, thereby reducing its disc temperature. This contributed to improving the mechanical properties of the brake disc and its pads, thereby reducing the fade of the frictional force. Moreover, the lower disc temperature also contributed to improving the wear resistance of the HC2 brake disc [5]. This may have offset the adverse effects of lower hardness, thereby enabling HC2 to exhibit similar wear resistance to that of HC1.
Figure 10.
Worn surfaces of (a) HC1 and (b) HC2 in 3D.
4. Conclusions
The peak temperatures, pressure loads, friction coefficients and their stabilities, thermal crack morphologies and profiles of the worn surfaces of two kinds of CGI brake discs with different matrices were investigated under deceleration of 10 m·s−2. The main conclusions are summarized as follows:
- Due to the higher thermal conductivity of ferrite compared to pearlite, the increased ferrite proportion led to a decrease in the thermal stress of the CGI discs. The peak temperature of the HC1 disc with a 49.4% ferrite proportion ranged from 250 °C to 290 °C, and the HC2 disc with an 80.1% ferrite proportion had a peak temperature range of 210 °C to 250 °C.
- The higher content of soft ferrite in the HC2 disc led to furrows with a larger height on the worn surface, which increased the contact area between the disc and pads. As a result, the HC2 disc–pads pair provided a higher friction coefficient and improved the stability in the friction coefficient despite having a lower peak temperature and smaller thermal expansion. Moreover, the higher friction coefficient in HC2 led to a decrease in the input pressure loads from pads under fixed deceleration.
- The increase in the ferrite proportion also reduced the oxidation of the matrix in the HC2 brake disc due to lower disc temperatures. The decreased oxidation of the matrix, along with lower thermal stresses and reduced pressure loads, resulted in fewer thermal cracks in the HC2 brake disc.
Author Contributions
Conceptualization, G.W. and Z.X.; methodology, G.W.; data curation, Z.X.; writing—original draft preparation, Z.X.; writing—review and editing, G.W. and Y.L.; project administration, Y.L. All authors have read and agreed to the published version of the manuscript.
Funding
This research was funded by the Science and Technology Innovation Development Project of Yantai (No. 2023ZDX016).
Data Availability Statement
The original contributions presented in the study are included in the article, further inquiries can be directed to the corresponding author.
Acknowledgments
The authors wish to acknowledge Zhongli Liu and Xiang Chen for their help in interpreting the significance of this work.
Conflicts of Interest
The authors declare no conflicts of interest.
References
- Elzayady, N.; Elsoeudy, R. Microstructure and wear mechanisms investigation on the brake pad. J. Mater. Res. Technol. 2021, 11, 2314–2335. [Google Scholar] [CrossRef]
- Aleksendrić, D.; Barton, D.C. Neural network prediction of disc brake performance. Tribol. Int. 2009, 42, 1074–1080. [Google Scholar] [CrossRef]
- Chen, A.; Kienhöfer, F. The failure prediction of a brake disc due to nonthermal or mechanical stresses. Eng. Fail. Anal. 2021, 124, 105319. [Google Scholar] [CrossRef]
- Lu, C.; Shen, J.; Fu, Q.; Mo, J. Research on radial crack propagation of railway brake disc under emergency braking conditions. Eng. Fail. Anal. 2023, 143, 106877. [Google Scholar] [CrossRef]
- Limpert, R. Brake Design and Safety, 3rd ed.; SAE International: Warrendale, PA, USA, 2011; pp. 74–78. [Google Scholar]
- Ren, Z.; Jiang, H.; Long, S.; Zou, Z. On the mechanical properties and thermal conductivity of compacted graphite cast iron with different pearlite contents. J. Mater. Eng. Perform. 2023, 32, 9968–9976. [Google Scholar] [CrossRef]
- Goo, B.C.; Lim, C.H. Thermal fatigue of cast iron brake disk materials. J. Mech. Sci. Technol. 2012, 26, 1719–1724. [Google Scholar] [CrossRef]
- Wang, X.S.; Zhang, W.Z. Oxidation and thermal cracking behavior of compacted graphite iron under high temperature and thermal shock. Oxid. Met. 2017, 87, 179–188. [Google Scholar] [CrossRef]
- Jing, G.X.; Sun, S.; Ma, T.; Li, S.; Ma, T.; Wei, J.; Pang, J. Prediction of thermomechanical fatigue life in RuT450 compacted graphite cast iron cylinder heads using the Neu/Sehitoglu model. Eng. Fail. Anal. 2024, 156, 107767. [Google Scholar] [CrossRef]
- Kim, S.; Cockcroft, S.L.; Omran, A.M.; Hwang, H. Mechanical, wear and heat exposure properties of compacted graphite cast iron at elevated temperatures. J. Alloys Compd. 2009, 487, 253–257. [Google Scholar] [CrossRef]
- Cueva, G.; Sinatora, A.; Guesser, W.L.; Tschiptschin, A.P. Wear resistance of cast irons used in brake disc rotors. Wear 2003, 255, 1256–1260. [Google Scholar] [CrossRef]
- Ma, Z.J.; Tao, D.; Yang, Z.; Guo, Y.C.; Li, J.P.; Liang, M.X.; Yeung, L.T.L. The effect of vermicularity on the thermal conductivity of vermicular graphite cast iron. Mater. Des. 2016, 93, 418–422. [Google Scholar] [CrossRef]
- Selin, M.; König, M. Regression analysis of thermal conductivity based on measurements of compacted graphite irons. Metall. Mater. Trans. A 2009, 40, 3235–3244. [Google Scholar] [CrossRef]
- Holmgren, D. Review of thermal conductivity of cast iron. Int. J. Cast Met. Res. 2005, 18, 331–345. [Google Scholar] [CrossRef]
- Cai, Q.; Chen, Z.; Xu, C.; Wan, P.; Hao, B.; Deng, X. Effect of elemental segregation on the microstructure and mechanical properties of heavy section compacted graphite iron. Int. J. Metalcast. 2023, 17, 222–232. [Google Scholar] [CrossRef]
- Cao, M.; Baxevanakis, K.P.; Silberschmidt, V.V. Effect of Graphite Morphology on the Thermomechanical Performance of Compacted Graphite Iron. Metals 2023, 13, 473. [Google Scholar] [CrossRef]
- Wu, Y.; Li, J.; Chen, H.; Ma, Z.; Yang, Z.; Guo, Y.; Liang, M. Creep deformation and damage mechanism of compact graphite cast iron with different pearlite contents. J. Mater. Res. Technol. 2023, 23, 5031–5039. [Google Scholar]
- Palkanoglou, E.; Baxevanakis, K.; Silberschmidt, V. Thermal debonding of inclusions in compacted graphite iron: Effect of matrix phases. Eng. Fail. Anal. 2022, 139, 106476. [Google Scholar] [CrossRef]
- Pan, S.; Chen, R. Fatigue crack and evolution prediction of compacted graphite iron under thermal loading with variable amplitude. Eng. Fail. Anal. 2019, 102, 284–292. [Google Scholar] [CrossRef]
- Zhang, M.X.; Pang, J.C.; Meng, L.J.; Li, S.X.; Liu, Q.Y.; Jiang, A.L.; Zhang, Z.F. Study on thermal fatigue behaviors of two kinds of vermicular graphite cast irons. Mater. Sci. Eng. A 2021, 814, 141212. [Google Scholar] [CrossRef]
- ISO 16112:2017; Compacted (Vermicular) Graphite Cast Irons Classification. ISO: Geneva, Switzerland, 2017.
- UNECE. UNECE Regulations No. 90 (Agreement Concerning the Adoption of Uniform Technical Prescriptions for Wheeled Vehicles, Equipment and Parts Which Can Be Fitted and/or Be Used on Wheeled Vehicles and the Conditions for Reciprocal Recognition of Approvals Granted on the Basis of These Prescriptions); UNECE: Geneva, Switzerland, 2012. [Google Scholar]
- König, M.; Wessén, M. Influence of alloying elements on microstructure and mechanical properties of CGI. Int. J. Cast Met. Res. 2010, 23, 97–110. [Google Scholar] [CrossRef]
- Li, Q.; Zhang, Y.; Zhang, Y.; Liu, H.; Ren, H.; Zhong, Y.; Huang, X.; Huang, W. Influence of Sn and Nb additions on the microstructure and wear characteristics of a gray cast iron. Appl. Phys. A 2020, 126, 282. [Google Scholar] [CrossRef]
- Ding, X.; Huang, H.; Matthias, W.; Huang, S.; Lu, Y.; Feng, Q. Development of high performance cast iron with combination of improved mechanical and thermal properties through Mo addition. Metall. Mater. Trans. A 2018, 49, 3173–3177. [Google Scholar] [CrossRef]
- Rezai-Aria, F.; Rémy, L. An oxidation fatigue interaction damage model for thermal fatigue crack growth. Eng. Fract. Mech. 1989, 34, 283–294. [Google Scholar] [CrossRef]
- King, J.E. Role of oxides in fatigue crack propagation. Mater. Sci. Technol. 1990, 6, 19–31. [Google Scholar] [CrossRef]
- Wegewitz, L.; Maus-Friedrichs, W.; Gustus, R.; Maier, H.; Herbst, S. Oxygen—free production—From vision to application. Adv. Eng. Mater. 2023, 25, 2201819. [Google Scholar] [CrossRef]
- Verma, P.C.; Ciudin, R.; Bonfanti, A.; Aswath, P.; Straffelini, G.; Gialanella, S. Role of the friction layer in the high-temperature pin-on-disc study of a brake material. Wear 2016, 346, 56–65. [Google Scholar] [CrossRef]
- Wu, Y.; Li, J.; Yang, Z.; Guo, Y.; Ma, Z.; Liang, M.; Yang, D.; Tao, D. Creep behavior accompanying oxidation of compacted graphite cast iron. Mater. Sci. Eng. A 2018, 723, 174–181. [Google Scholar] [CrossRef]
- Zou, C.L.; Pang, J.C.; Zhang, M.X.; Qiu, Y.; Li, S.X.; Chen, L.J.; Li, J.P.; Yang, Z.F.; Zhang, Z.F. The high cycle fatigue, deformation and fracture of compacted graphite iron: Influence of temperature. Mater. Sci. Eng. A 2018, 724, 606–615. [Google Scholar] [CrossRef]
- Pan, R.; Ren, R.; Zhao, X.; Chen, C. Influence of microstructure evolution during the sliding wear of CL65 steel. Wear 2018, 400, 169–176. [Google Scholar] [CrossRef]
Disclaimer/Publisher’s Note: The statements, opinions and data contained in all publications are solely those of the individual author(s) and contributor(s) and not of MDPI and/or the editor(s). MDPI and/or the editor(s) disclaim responsibility for any injury to people or property resulting from any ideas, methods, instructions or products referred to in the content. |
© 2024 by the authors. Licensee MDPI, Basel, Switzerland. This article is an open access article distributed under the terms and conditions of the Creative Commons Attribution (CC BY) license (https://creativecommons.org/licenses/by/4.0/).









