Torque-Based Temperature Control in Friction Stir Welding by Using a Digital Twin
Abstract
1. Introduction
2. Modelling and System Set-Up
2.1. Torque Model
- The shoulder is cylindrical and the probe is conical. The thread and the three flats on the probe, as well as the concave cavity on the front side of the shoulder, can be neglected [26].
- The tilt angle of the tool α can be neglected.
- The temperature is constant in the shear zone and corresponds to the measured probe temperature.
- The volume and thickness w of the shear zone are constant. The velocity distribution across the shear zone is linear [26].
- Friction and plastic deformation are considered by , which is constant at the entire tool-workpiece interface [26].
- The contact condition is based on Shaw’s friction law [27].
- Coulomb’s friction law can be applied. The friction coefficient μ is constant for the entire tool-workpiece interface [6].
- The yield stress of the workpiece material depends only on the temperature T, the strain ε and the strain rate [29].
2.2. Digital Twin
2.3. Controller Design
3. Experimental Validation
3.1. Validation of the Digital Twin
3.2. Validation of the Complete Control Structure
4. Discussion
5. Conclusions
- The model errors of the welding temperature range from −31 K to +15 K and primarily depend on the welding speed v and the axial downward force . It is believed that the model performance can be improved by finding suitable submodels to account for the welding speed v and the axial downward force .
- The controller was able to correctly adjust the set RPM-rate , so that the calculated temperature was held constant at the desired value.
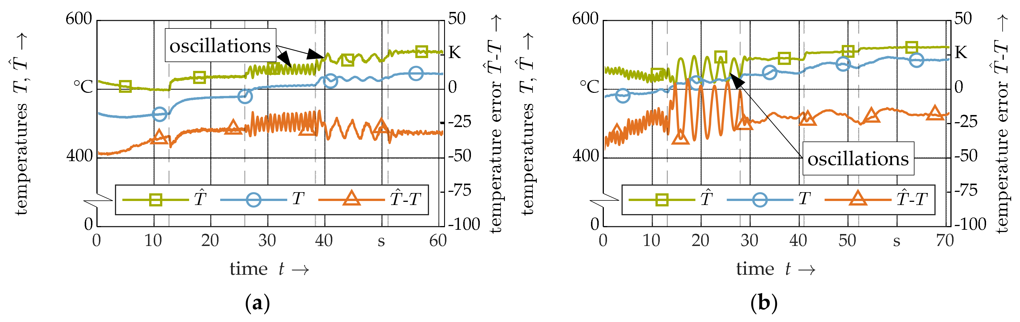
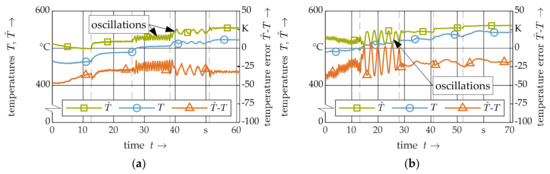
- The low stiffness of the FSW machine (industrial robot) posed challenges, as vibrations were amplified through the digital twin and resulted in significant oscillations in the signals.
- The application of a temperature error correction offset cannot be recommended. The controller deviation was smaller than 10 K for all experiments without the correction offset, including an experiment with a workpiece that deliberately caused heat accumulation.
- The digital twin is only valid for the weld phase of the FSW process. The preceding and consecutive phases, during which the tool plunges into and retracts from the workpiece, were not modelled. This makes the digital twin most likely not applicable for these two phases.
Author Contributions
Funding
Acknowledgments
Conflicts of Interest
Appendix A
| Parameter | EN AW-5083-H111 | EN AW-6082-T6 | Unit | ||
|---|---|---|---|---|---|
| Values | Reference | Values | Reference | ||
| μ | 0.4 | [26] | 0.4 | [26] | – |
| j | 2 | – | 2 | – | – |
| A | 143 | [37] | 285 | [38] | N/mm2 |
| B | 554 | [37] | 94 | [38] | N/mm2 |
| C | 0.001 | [37] | 0.002 | [38] | – |
| m | 0.895 | [37] | 1.34 | [38] | – |
| k | 0.526 | [37] | 0.41 | [38] | – |
| 1 | [37] | 1 | [38] | – | |
| 25 | – | 25 | – | °C | |
| 620 | [37] | 588 | [38] | °C | |
| w | 1.2 | [6] | 1.2 | [6] | mm |
| E | 70 000 | [39] | 70 000 | [39] | N/mm2 |
| in min−1 | in Nm | in min−1 | in Nm | in min−1 | in Nm |
|---|---|---|---|---|---|
| 100 | 1.4278 | 1300 | 2.2496 | 2600 | 2.5914 |
| 200 | 1.3145 | 1400 | 2.2703 | 2700 | 2.8822 |
| 300 | 1.3475 | 1500 | 2.2905 | 2800 | 3.1876 |
| 400 | 1.3948 | 1600 | 2.2788 | 2900 | 3.4932 |
| 500 | 1.4701 | 1700 | 2.2490 | 3000 | 3.8079 |
| 600 | 1.6040 | 1800 | 2.2191 | 3100 | 4.2209 |
| 700 | 1.7380 | 1900 | 2.1893 | 3200 | 4.6394 |
| 800 | 1.8544 | 2000 | 2.1603 | 3300 | 5.0105 |
| 900 | 1.9620 | 2200 | 2.2487 | 3400 | 5.3163 |
| 1000 | 2.0696 | 2300 | 2.3296 | 3500 | 5.6205 |
| 1100 | 2.1775 | 2400 | 2.4098 | 3600 | 5.6981 |
| 1200 | 2.2284 | 2500 | 2.4902 | – | – |
Appendix B
Appendix C




References
- Grätzel, M.; Schick-Witte, K.; Köhler, T.; Bergmann, J.P.; Weigl, M. Rührreibschweißmethoden für Anwendungen in der Elektromobilität: Eine vergleichende Gegenüberstellung auf Basis prozesstechnologischer und mechanischer Eigenschaften: (‘Friction Stir Welding for Application in the Electric Mobility Sector: A Comparision Regarding Technological and Mechanical Properties’). DVS Ber. 2019, 355, 554–559. [Google Scholar]
- MT Aerospace AG. MT Aerospace ships the first tank for Ariane 6 to ArianeGroup in Bremen. Available online: https://www.mt-aerospace.de/news-details-en/mt-aerospace-ships-the-first-tank-for-ariane-6-to-arianegroup-in-bremen.html (accessed on 12 May 2020).
- Masny, H.; Heinrich, G.; Kahnert, M.; Knerr, D. Rührreibschweißen in der Fertigung von Tanks bei der neuen Trägerrakete Ariane 6: (Friction Stir Welding for the Manufacturing of Tanks for the New Carrier Rocket Ariane 6). DVS Ber. 2019, 355, 134–138. [Google Scholar]
- Bachmann, A.; Krutzlinger, M.; Zaeh, M.F. Influence of the welding temperature and the welding speed on the mechanical properties of friction stir welds in EN AW-2219-T87. IOP Conf. Ser. Mater. Sci. Eng. 2018, 373. [Google Scholar] [CrossRef]
- Suenger, S.; Kreissle, M.; Kahnert, M.; Zaeh, M.F. Influence of Process Temperature on Hardness of Friction Stir Welded High Strength Aluminum Alloys for Aerospace Applications. Procedia CIRP 2014, 24, 120–124. [Google Scholar] [CrossRef]
- Bachmann, A.; Gamper, J.; Krutzlinger, M.; Zens, A.; Zaeh, M.F. Adaptive model-based temperature control in friction stir welding. Int. J. Adv. Manuf. Technol. 2017, 93, 1157–1171. [Google Scholar] [CrossRef]
- Bachmann, A.; Zaeh, M.F. Pyrometer-Assisted Temperature Control in Friction Stir Welding. In Proceedings of the 11th International Friction Stir Welding Symposium, Québec, QC, Canada, 17–20 May 2016. [Google Scholar]
- De Backer, J.; Bolmsjö, G.; Christiansson, A.-K. Temperature control of robotic friction stir welding using the thermoelectric effect. Int. J. Adv. Manuf. Technol. 2014, 70, 375–383. [Google Scholar] [CrossRef]
- Cederqvist, L.; Garpinger, O.; Hägglund, T.; Robertsson, A. Cascade control of the friction stir welding process to seal canisters for spent nuclear fuel. Control Eng. Pract. 2012, 20, 35–48. [Google Scholar] [CrossRef]
- Fehrenbacher, A.; Cole, E.G.; Zinn, M.R.; Ferrier, N.J.; Duffie, N.A.; Pfefferkorn, F.E. Towards Process Control of Friction Stir Welding for Different Aluminum Alloys. In Friction Stir Welding and Processing VI; Mishra, R.S., Ed.; Wiley: Hoboken, NJ, USA, 2011; pp. 381–388. ISBN 9781118002018. [Google Scholar]
- Fehrenbacher, A.; Duffie, N.A.; Ferrier, N.J.; Pfefferkorn, F.E.; Zinn, M.R. Toward Automation of Friction Stir Welding Through Temperature Measurement and Closed-Loop Control. J. Manuf. Sci. Eng. 2011, 133, 1. [Google Scholar] [CrossRef]
- Fehrenbacher, A.; Duffie, N.A.; Ferrier, N.J.; Pfefferkorn, F.E.; Zinn, M.R. Effects of tool-workpiece interface temperature on weld quality and quality improvements through temperature control in friction stir welding. Int. J. Adv. Manuf. Technol. 2014, 71, 165–179. [Google Scholar] [CrossRef]
- Fehrenbacher, A.; Duffie, N.A.; Ferrier, N.J.; Zinn, M.R.; Pfefferkorn, F.E. Temperature measurement and closed-loop control in friction stir welding. In Proceedings of the 8th International Friction Stir Welding Symposium, Timmendorfer Strand, Germany, 18–20 May 2010. [Google Scholar]
- Fehrenbacher, A.; Pfefferkorn, F.E.; Zinn, M.R.; Ferrier, N.J.; Duffie, N.A. Closed-loop control of temperature in friction stir welding. In Proceedings of the 7th International Friction Stir Welding Symposium, Awaji Island, Japan, 20–22 May 2008. [Google Scholar]
- Fehrenbacher, A.; Smith, C.B.; Duffie, N.A.; Ferrier, N.J.; Pfefferkorn, F.E.; Zinn, M.R. Combined Temperature and Force Control for Robotic Friction Stir Welding. J. Manuf. Sci. Eng. 2014, 136, 1. [Google Scholar] [CrossRef]
- Ross, K.; Sorensen, C. Advances in Temperature Control for FSP. In Friction Stir Welding and Processing VII; Mishra, R., Mahoney, M.W., Sato, Y., Hovanski, Y., Verma, R., Eds.; Springer International Publishing: Cham, Switzerland, 2016; pp. 301–310. ISBN 978-3-319-48582-9. [Google Scholar]
- Ross, K.; Sorensen, C. Paradigm Shift in Control of the Spindle Axis. In Friction Stir Welding and Processing VII; Mishra, R., Mahoney, M.W., Sato, Y., Hovanski, Y., Verma, R., Eds.; Springer International Publishing: Cham, Switzerland, 2016; pp. 321–328. ISBN 978-3-319-48582-9. [Google Scholar]
- Bachmann, A.; Roehler, M.; Pieczona, S.J.; Kessler, M.; Zaeh, M.F. Torque-based adaptive temperature control in friction stir welding: A feasibility study. Prod. Eng. Res. Devel. 2018, 12, 391–403. [Google Scholar] [CrossRef]
- Krutzlinger, M.; Marstatt, R.; Costanzi, G.; Bachmann, A.; Haider, F.; Zaeh, M.F. Temperature Control for Friction Stir Welding of Dissimilar Metal Joints and Influence on the Joint Properties. KEM 2018, 767, 360–368. [Google Scholar] [CrossRef]
- Ross, K.; Sorensen, C. Investigation of Methods to Control Friction Stir Weld Power with Spindle Speed Changes. In Friction Stir Welding and Processing VI; Mishra, R.S., Ed.; Wiley: Hoboken, NJ, USA, 2011; pp. 345–352. ISBN 9781118002018. [Google Scholar]
- Magalhães, A. Thermo-Electric Temperature Measurements in Friction Stir Welding—Towards Feedback Control of Temperature; University West: Trollhättan, Sweden, 2016; ISBN 978-91-87531-42-2. [Google Scholar]
- Augustin, S.; Fröhlich, T.; Krapf, G.; Bergmann, J.-P.; Grätzel, M.; Gerken, J.A.; Schmidt, K. Herausforderungen der Temperaturmessung während des Rührreibschweißprozesses: (Challenges of temperature measurement during the friction stir welding process). Tech. Mess. 2019, 86, 765–772. [Google Scholar] [CrossRef]
- Lahiri, S.K. Multivariable Predictive Control. Applications in Industry, 1st ed.; John Wiley & Sons Ltd: Hoboken, NJ, USA, 2017; ISBN 9781119243595. [Google Scholar]
- Bortoff, S.A.; Laughman, C.R. An Extended Luenberger Observer for HVAC Application using FMI. In Proceedings of the 13th International Modelica Conference, Regensburg, Germany, 4–6 March 2019. [Google Scholar]
- Colligan, K.J.; Mishra, R.S. A conceptual model for the process variables related to heat generation in friction stir welding of aluminum. Scr. Mater. 2008, 58, 327–331. [Google Scholar] [CrossRef]
- Roth, A.; Hake, T.; Zaeh, M.F. An Analytical Approach of Modelling Friction Stir Welding. Procedia CIRP 2014, 18, 197–202. [Google Scholar] [CrossRef]
- Shaw, M.C. The role of friction in deformation processing. Wear 1963, 6, 140–158. [Google Scholar] [CrossRef]
- Schmidt, H.N.B. Modelling thermal properties in friction stir welding. In Friction Stir Welding: From Basics to Applications; Lohwasser, D., Ed.; Woodhead Publishing: Cambridge, UK; CRC Press: Boca Raton, FL, USA, 2010; pp. 277–313. ISBN 9781845694500. [Google Scholar]
- Roth, A. Modellierung des Rührreibschweißens unter besonderer Berücksichtigung der Spalttoleranz: (Modelling of friction stir welding under special consideration of the gap tolerance). Ph.D. Thesis, Technical University of Munich, Munich, Germany, 2016. [Google Scholar]
- Arora, A.; Nandan, R.; Reynolds, A.P.; DebRoy, T. Torque, power requirement and stir zone geometry in friction stir welding through modeling and experiments. Scr. Mater. 2009, 60, 13–16. [Google Scholar] [CrossRef]
- Doege, E.; Behrens, B.-A. Handbuch Umformtechnik. Grundlagen, Technologien, Maschinen. (Forming Technology Handbook: Basics, Technologies, Machines); Springer: Berlin, Germany, 2010; ISBN 3642042481. [Google Scholar]
- Johnson, G.R.; Cook, W.H. Fracture characteristics of three metals subjected to various strains, strain rates, temperatures and pressures. Eng. Fract. Mech. 1985, 21, 31–48. [Google Scholar] [CrossRef]
- Kuykendall, K. An Evaluation of Constitutive Laws and their Ability to Predict Flow Stress over Large Variations in Temperature, Strain, and Strain Rate Characteristic of Friction Stir Welding. Ph.D. Thesis, Brigham Young University, Provo, UT, USA, 2014. [Google Scholar]
- RS Components GmbH. IEC Mineral Insulated Thermocouple with Miniature Thermocouple Plug Type K (Grounded Junction): Fast response Type ‘K’ Thermocouple, 0.5 mm diameter with grounded hot junction. Datasheet. Available online: https://docs.rs-online.com/6861/0900766b815bb3bd.pdf (accessed on 24 June 2020).
- Costanzi, G.; Bachmann, A.; Zäh, M.F. Entwicklung eines FSW-Spezialwerkzeugs zur Messung der Schweißtemperatur: (Development of an FSW tool to measure the Welding Temperature). DVS Ber. 2017, 337, 119–125. [Google Scholar]
- International Electrotechnical Commission. Thermocouples—Part 1: EMF Specifications and Tolerances; IEC 60584-1:2013; VDE Verlag: Berlin, Germany, 2013. [Google Scholar]
- Clausen, A.H.; Børvik, T.; Hopperstad, O.S.; Benallal, A. Flow and fracture characteristics of aluminium alloy AA5083-H116 as function of strain rate, temperature and triaxiality. Mater. Sci. Eng. A 2004, 364, 260–272. [Google Scholar] [CrossRef]
- Birsan, D.; Scutelnicu, E.; Visan, D. Behaviour Simulation of Aluminium Alloy 6082-T6 during Friction Stir Welding and Tungsten Inert Gas Welding. Recent Adv. Manuf. Eng. 2011, 30, 103–108. [Google Scholar]
- Lundberg, S. Design Philosophy. TALAT Lecture 2204. 1994. Available online: https://www.slideshare.net/corematerials/talat-lecture-2204-design-philosophy (accessed on 30 May 2020).







| Exp. No. | Aluminum Alloy | Welding Speed v in mm/min | Set RPM-Rate in min−1 | Var. of RPM-Rate in min−1 | Axial Force in kN | Joint Type |
|---|---|---|---|---|---|---|
| 1 | EN AW-6082-T6 | 100 | 400–800 | 100 | 8.3 | Bead-on-plate |
| 2 | 200 | 600–1000 | 100 | 8.3 | ||
| 3 | 400 | 800–1600 | 400 | 8.3 | ||
| 4 | 600 | 1200–2400 | 600 | 8.3 | ||
| 5 | EN AW-5083-H111 | 100 | 800–1200 | 100 | 7.8 | Bead-on-plate |
| 6 | 200 | 800–1200 | 100 | 7.8 | ||
| 7 | 400 | 1200–1800 | 200 | 7.8 | ||
| 8 | 600 | 2000–2400 | 200 | 7.8 | ||
| 9 | EN AW-6082-T6 | 100 100 | 400–800 400–800 | 100 100 | 7.8 | Bead-on-plate |
| 10 | 7.3 |
| Exp. No. | Aluminum Alloy | Welding Speed v in mm/min | Joint Type | |||
|---|---|---|---|---|---|---|
| 11 | EN AW-6082-T6 | 100 | 7.3 | 500 | 0 | Bead-on-plate |
| 12 | 400 | 8.3 | 530 | −31 | Bead-on-plate | |
| 13 | 200 | 8.3 | 530 | −30 | Lap weld | |
| 14 | 200 | 7.3 | 530 | 0 | Bead-on-plate |
© 2020 by the authors. Licensee MDPI, Basel, Switzerland. This article is an open access article distributed under the terms and conditions of the Creative Commons Attribution (CC BY) license (http://creativecommons.org/licenses/by/4.0/).
Share and Cite
Sigl, M.E.; Bachmann, A.; Mair, T.; Zaeh, M.F. Torque-Based Temperature Control in Friction Stir Welding by Using a Digital Twin. Metals 2020, 10, 914. https://doi.org/10.3390/met10070914
Sigl ME, Bachmann A, Mair T, Zaeh MF. Torque-Based Temperature Control in Friction Stir Welding by Using a Digital Twin. Metals. 2020; 10(7):914. https://doi.org/10.3390/met10070914
Chicago/Turabian StyleSigl, Martina E., Andreas Bachmann, Thomas Mair, and Michael F. Zaeh. 2020. "Torque-Based Temperature Control in Friction Stir Welding by Using a Digital Twin" Metals 10, no. 7: 914. https://doi.org/10.3390/met10070914
APA StyleSigl, M. E., Bachmann, A., Mair, T., & Zaeh, M. F. (2020). Torque-Based Temperature Control in Friction Stir Welding by Using a Digital Twin. Metals, 10(7), 914. https://doi.org/10.3390/met10070914

