Effect of La2O3 on the Microstructure and Grain Refining Effect of Novel Al-TiO2-C-XLa2O3 Refiners
Abstract
1. Introduction
2. Materials and Methods
3. Results and Discussion
3.1. Microstructure Characterization
3.2. Refinement of Industrial Aluminum with Al-TiO2-C-XLa2O3 Refiners
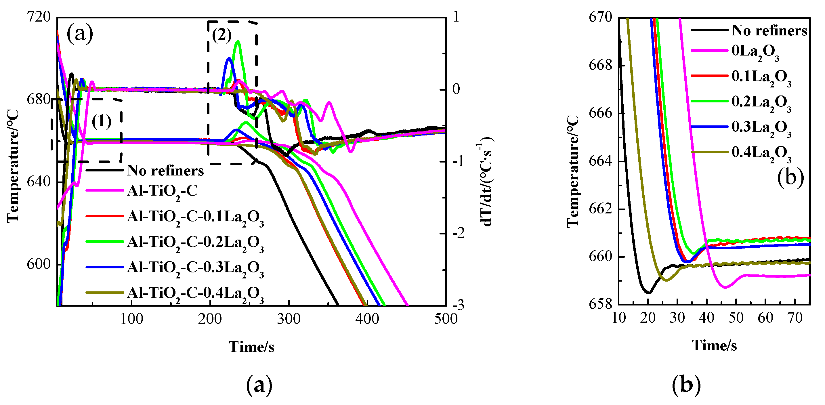
3.3. Thermal Analysis
3.4. Effect of La2O3 on Sintering Process
4. Conclusions
Author Contributions
Funding
Acknowledgments
Conflicts of Interest
References
- He, Y.; Yang, X.; Guo, F.; Li, P.; Zhang, Y.; Dou, Y. Research on microstructure and solidification mechanism of Al-Ti-C-Ce mother alloy prepared by titanium hydride-petroleum coke. IOP Conf. Ser. Mater. Sci. Eng. 2018, 397, 12113. [Google Scholar] [CrossRef]
- Jia, P.; Zhang, J.; Hu, X.; Teng, X.; Zuo, M.; Gao, Z.; Yang, C.; Zhao, D. Grain refining effects of the melt thermal-rate treatment and Al-Ti-B-Y refiner in as-cast Al-9Si-0.5Mg alloy. Mater. Res. Express 2018, 5, 066520. [Google Scholar] [CrossRef]
- Rathi, S.K.; Sharma, A.; Di Sabatino, M. Effect of heat treatment for enhancing performance of Al–5Ti–1B master alloy on mechanical and hot tearing properties of Al–7Si–3Cu alloy. Mater. Res. Express 2019, 6, 086550. [Google Scholar] [CrossRef]
- Prasad, A.; Mok, J.; Lafortune, L.; Bichler, L. Grain Refinement of B319 Alloy Using Spark Plasma Sintered Al–Ti–C Grain Refiners. Trans. Indian Inst. Met. 2018, 71, 2759–2763. [Google Scholar] [CrossRef]
- Svynarenko, K.; Zhang, Y.; Jie, J.; Kutsova, V.; Li, T. Structure and refinement performance of Al-5Ti-0.2C master alloy produced via an improved self propagating synthesis approach. Met. Mater. Int. 2017, 23, 788–797. [Google Scholar] [CrossRef]
- Vicario, I.; Poulon-Quintin, A.; Lagos, M.A.; Silvain, J.-F. Effect of Material and Process Atmosphere in the Preparation of Al-Ti-B Grain Refiner by SHS. Metals 2015, 5, 1387–1396. [Google Scholar] [CrossRef]
- Wang, T.; Gao, T.; Zhang, P.; Nie, J.; Liu, X. Influence of a new kind of Al–Ti–C master alloy on the microstructure and mechanical properties of Al–5Cu alloy. J. Alloys Compd. 2014, 589, 19–24. [Google Scholar] [CrossRef]
- Bolzoni, L.; Nowak, M.; Babu, N.H. Assessment of the influence of Al–2Nb–2B master alloy on the grain refinement and properties of LM6 (A413) alloy. Mater. Sci. Eng. A 2015, 628, 230–237. [Google Scholar] [CrossRef]
- Liu, S.Q.; Wang, X.; Cui, C.X.; Zhao, L.C.; Li, N.; Zhang, Z.; Ding, J.; Sha, D. Enhanced grain refinement of in situ CeB6/Al composite inoculant on pure aluminum by microstructure control. J. Alloys Compd. 2017, 701, 926–934. [Google Scholar] [CrossRef]
- Li, X.W.; Cai, Q.Z.; Zhao, B.Y.; Li, B.; Ma, W. Grain refining mechanism in pure aluminum with nanosized TiN/Ti composite refiner addition. J. Alloys Compd. 2017, 699, 283–290. [Google Scholar] [CrossRef]
- Liu, H.; Zhang, R.; Yang, S.; Li, J.; Han, Y. Effect of TiO2 particle size on reinforcements, reaction mode and kinetics in Al-TiO2-C system. Mater. Res. Express 2019, 6, 116505. [Google Scholar] [CrossRef]
- Zhu, H.; Jiang, Y.; Yao, Y.; Song, J.; Li, J.; Xie, Z. Reaction pathways, activation energies and mechanical properties of hybrid composites synthesized in-situ from Al–TiO2–C powder mixtures. Mater. Chem. Phys. 2012, 137, 532–542. [Google Scholar] [CrossRef]
- Zhou, X.F.; He, Y.D.; Zhang, Y.Q.; Ma, D.L. Microstructure and Solidification Mechanism of Al-Ti-C-Ce Prepared by Petroleum Coke. Rare Metal. Mat. Eng. 2019, 48, 2965–2971. [Google Scholar] [CrossRef]
- Tang, P.; Li, W.; Wang, K.; Du, J.; Chen, X.; Zhao, Y.; Li, W. Effect of Al-Ti-C master alloy addition on microstructures and mechanical properties of cast eutectic Al-Si-Fe-Cu alloy. Mater. Des. 2017, 115, 147–157. [Google Scholar] [CrossRef]
- Naydenkin, E.; Mishin, I.; Khrustalyov, A.; Vorozhtsov, S.; Vorozhtsov, A. Influence of Combined Helical and Pass Rolling on Structure and Residual Porosity of an AA6082-0.2 wt % Al2O3 Composite Produced by Casting with Ultrasonic Processing. Metals 2017, 7, 544. [Google Scholar] [CrossRef]
- Zhang, R.-Y.; Shi, Z.-M.; Zhang, X.-M. Hot deformation behavior and microstructure evolution of TiC–Al2O3/Al composites. Rare Met. 2014, 34, 725–730. [Google Scholar] [CrossRef]
- Xu, C.; Liang, L.; Lu, B.; Zhang, J.; Liang, W. Effect of La on microstructure and grain-refining performance of Al-Ti- C grain refiner. J. Rare Earths 2006, 24, 596–601. [Google Scholar] [CrossRef]
- Jing, L.; Pan, Y.; Lu, T.; Chai, W. Refinement effect of two rare earth borides in an Al-7Si-4Cu alloy: A comparative study. Mater. Charact. 2018, 145, 664–670. [Google Scholar] [CrossRef]
- Zhao, H.; Song, Y.; Li, M.; Guan, S. Grain refining efficiency and microstructure of Al–Ti–C–RE master alloy. J. Alloys Compd. 2010, 508, 206–211. [Google Scholar] [CrossRef]
- Shi, Z.; Wang, Q.; Zhao, G.; Zhang, R. Effects of erbium modification on the microstructure and mechanical properties of A356 aluminum alloys. Mater. Sci. Eng. A 2015, 626, 102–107. [Google Scholar] [CrossRef]
- Wang, F.L.; Zhang, Y.W.; Chen, X.Y.; Mao, H.J.; Zhang, W.J. Influence of B2O3 content on sintering behaviour and dielectric properties of La2O3-B2O3-CaO/Al2O3 glass-ceramic composites for LTCC applications. In Proceedings of the International Conference on New Material and Chemical Industry, Sanya, China, 17–19 November 2018; Volume 292, p. 12046. [Google Scholar]
- Salinas, D.; Escalona, N.; Pecchi, G.; Fierro, J. Lanthanum oxide behavior in La2O3-Al2O3 and La2O3-ZrO2 catalysts with application in FAME production. Fuel 2019, 253, 400–408. [Google Scholar] [CrossRef]
- Haq, I.-U.; Shin, J.-S.; Lee, Z.-H. Computer-aided cooling curve analysis of A356 aluminum alloy. Met. Mater. Int. 2004, 10, 89–96. [Google Scholar]
- Fukahori, R.; Nomura, T.; Zhu, C.; Sheng, N.; Okinaka, N.; Akiyama, T. Thermal analysis of Al–Si alloys as high-temperature phase-change material and their corrosion properties with ceramic materials. Appl. Energy 2016, 163, 1–8. [Google Scholar] [CrossRef]
- Robles Hernández, F.C.; Sokolowski, J.H. Thermal analysis and microscopical characterization of Al–Si hypereutectic alloys. J. Alloys Compd. 2006, 419, 180–190. [Google Scholar] [CrossRef]
- Farahany, S.; Ourdjini, A.; Idris, M.H. The usage of computer-aided cooling curve thermal analysis to optimise eutectic refiner and modifier in Al–Si alloys. J. Therm. Anal. Calorim. 2011, 109, 105–111. [Google Scholar] [CrossRef]
- Fornaro, O.; Palacio, H.A. Study of dilute Al–Cu solidification by cooling curve analysis. J. Mater. Sci. 2009, 44, 4342–4347. [Google Scholar] [CrossRef]
- Ding, W.W.; Xu, C.; Hou, X.G.; Zhao, X.; Chen, T.; Zhao, W.; Xia, T.; Qiao, J. Preparation and synthesis thermokinetics of novel Al-Ti-C-La composite master alloys. J. Alloys Compd. 2019, 776, 904–911. [Google Scholar] [CrossRef]
- Wang, L.D.; Wei, Z.L.; Yang, X.B.; Zhu, D.Y.; Chen, X.; Chen, Y.L.; Li, Q.J. Thermodynamics analysis of Al-Ti-C-RE prepared byrare earth oxide Ce2OChin. J. Nonferrous Met. 2013, 23, 2928–2935. [Google Scholar]
- Tengfei, M.; Ziyong, C.; Zuoren, N.; Huang, H. Microstructure of Al-Ti-B-Er refiner and its grain refining performance. J. Rare Earth 2013, 31, 622–627. [Google Scholar]
- Qin, J.; Chen, G.; Wang, B.; Hu, N.; Han, F.; Du, Z. Formation of in-situ Al3Ti particles from globular Ti powders and Al alloy melt under ultrasonic vibration. J. Alloys Compd. 2015, 653, 32–38. [Google Scholar] [CrossRef]
- Yang, H.; Gao, T.; Wang, H.; Nie, J.; Liu, X. Influence of C/Ti stoichiometry in TiCx on the grain refinement efficiency of Al–Ti–C master alloy. J. Mater. Sci Technol. 2017, 33, 616–622. [Google Scholar] [CrossRef]
- Zhao, H.L.; Bai, H.L.; Wang, J.; Guan, S.K. Preparation of Al–Ti–C–Sr master alloys and their refining efficiency on A356 alloy. Mater. Charact. 2009, 60, 377–383. [Google Scholar] [CrossRef]
- Chao, Z.; Zhang, L.; Jiang, L.; Qiao, J.; Xu, Z.; Chi, H.; Wu, G. Design, microstructure and high temperature properties of in-situ Al3Ti and nano-Al2O3 reinforced 2024Al matrix composites from Al-TiO2 system. J. Alloys Compd. 2019, 775, 290–297. [Google Scholar] [CrossRef]
- Li, Z.H.; Yan, H.; Hu, Z.; Song, X.C. Fluidity of ADC12 + xLa aluminum alloys. Rare Met. 2014, 1–7. [Google Scholar] [CrossRef]
- Zhao, B.; Cai, Q.; Li, X.; Li, B.; Cheng, J. Effect of TiC nanoparticles supported by Ti powders on the solidification behavior and microstructure of pure aluminum. Met. Mater. Int. 2018, 24, 945–954. [Google Scholar] [CrossRef]
- Fu, G.S.; Chen, W.Z.; Qian, K.W. Refining Effect of a new Al3Ti1B1RE master alloy on Al sheets used for can manufacture and behavior of rera earths in master alloy. J. Rare Earths 2003, 21, 571–576. [Google Scholar]
- Xu, C.; Xiao, W.; Zhao, W.; Wang, W.; Shuji, H.; Hiroshi, Y.; Ma, C. Microstructure and formation mechanism of grain-refining particles in Al-Ti-C-RE grain refiners. J. Rare Earths 2015, 33, 553–560. [Google Scholar] [CrossRef]











| Si | Fe | Cu | Mn | Mg | Zn | Ti | Others | Al |
|---|---|---|---|---|---|---|---|---|
| ≤0.16 | ≤0.16 | ≤0.01 | ≤0.01 | ≤0.01 | ≤0.02 | ≤0.01 | ≤0.03 | Bal. |
| Second Phase | X = 0 | X = 0.1 | X = 0.2 | X = 0.3 | X = 0.4 |
|---|---|---|---|---|---|
| Al20Ti2La/% | 0 | 0.5 | 1.0 | 1.3 | 1.7 |
| Al3Ti/% | 10.3 | 10.0 | 9.8 | 9.5 | 9.3 |
| Refiners | No Refiners | X = 0 | X = 0.1 | X = 0.2 | X = 0.3 | X = 0.4 |
|---|---|---|---|---|---|---|
| grain size/μm | 3800 | 2190 | 1800 | 320 | 1270 | 2010 |
| Temperature Labels | Characteristic Description | Corresponding Characteristic Points |
|---|---|---|
| TN | Starting nucleation of α-Al | 1 |
| Tmin | Minimum undercooling degree | 2 |
| TMax | Maximum nucleationof α-Al | 3 |
| TG | Growth of α-Al | 4 |
| TAl3Ti(II) | Starting nucleation of Al3Ti(II) | 5 |
| TE | End of solidification | 6 |
| ΔtN | Primary transformation time | tG − tN (t4 − t1) |
| Samples | Characteristic Parameters | ||||||
|---|---|---|---|---|---|---|---|
| TN/℃ | Tmin/℃ | Tmax/℃ | TG/℃ | TE/℃ | ΔT/℃ | ΔtN/s | |
| No Refiners | 662.5 | 658.8 | 659.12 | 659.7 | 629 | 0.9 | 20.9 |
| X = 0 | 671.05 | 658.9 | 659.4 | 659.6 | 629.6 | 0.7 | 22.95 |
| X = 0.1 | 678.52 | 659.8 | 660.16 | 660.48 | 626.3 | 0.68 | 23.05 |
| X = 0.2 | 679.38 | 660.15 | 660.47 | 660.67 | 625 | 0.52 | 25.5 |
| X = 0.3 | 679.41 | 659.8 | 660 | 660.4 | 629.3 | 0.6 | 24.65 |
| X = 0.4 | 677.2 | 659.02 | 659.35 | 659.67 | 628.61 | 0.67 | 25.5 |
© 2020 by the authors. Licensee MDPI, Basel, Switzerland. This article is an open access article distributed under the terms and conditions of the Creative Commons Attribution (CC BY) license (http://creativecommons.org/licenses/by/4.0/).
Share and Cite
Liu, H.; Zhang, R.; Yan, S.; Li, J.; Yang, S. Effect of La2O3 on the Microstructure and Grain Refining Effect of Novel Al-TiO2-C-XLa2O3 Refiners. Metals 2020, 10, 182. https://doi.org/10.3390/met10020182
Liu H, Zhang R, Yan S, Li J, Yang S. Effect of La2O3 on the Microstructure and Grain Refining Effect of Novel Al-TiO2-C-XLa2O3 Refiners. Metals. 2020; 10(2):182. https://doi.org/10.3390/met10020182
Chicago/Turabian StyleLiu, Huan, Ruiying Zhang, Suying Yan, Jinxuan Li, and Sen Yang. 2020. "Effect of La2O3 on the Microstructure and Grain Refining Effect of Novel Al-TiO2-C-XLa2O3 Refiners" Metals 10, no. 2: 182. https://doi.org/10.3390/met10020182
APA StyleLiu, H., Zhang, R., Yan, S., Li, J., & Yang, S. (2020). Effect of La2O3 on the Microstructure and Grain Refining Effect of Novel Al-TiO2-C-XLa2O3 Refiners. Metals, 10(2), 182. https://doi.org/10.3390/met10020182

