The Influence of Active Hamstring Stiffness on Markers of Isotonic Muscle Performance
Abstract
1. Introduction
2. Materials and Methods
2.1. Participants
2.2. Baseline Testing
2.3. Active Muscle-Tendon Stiffness
2.4. Isotonic Dynamometry
3. Data Reduction
4. Statistical Analysis
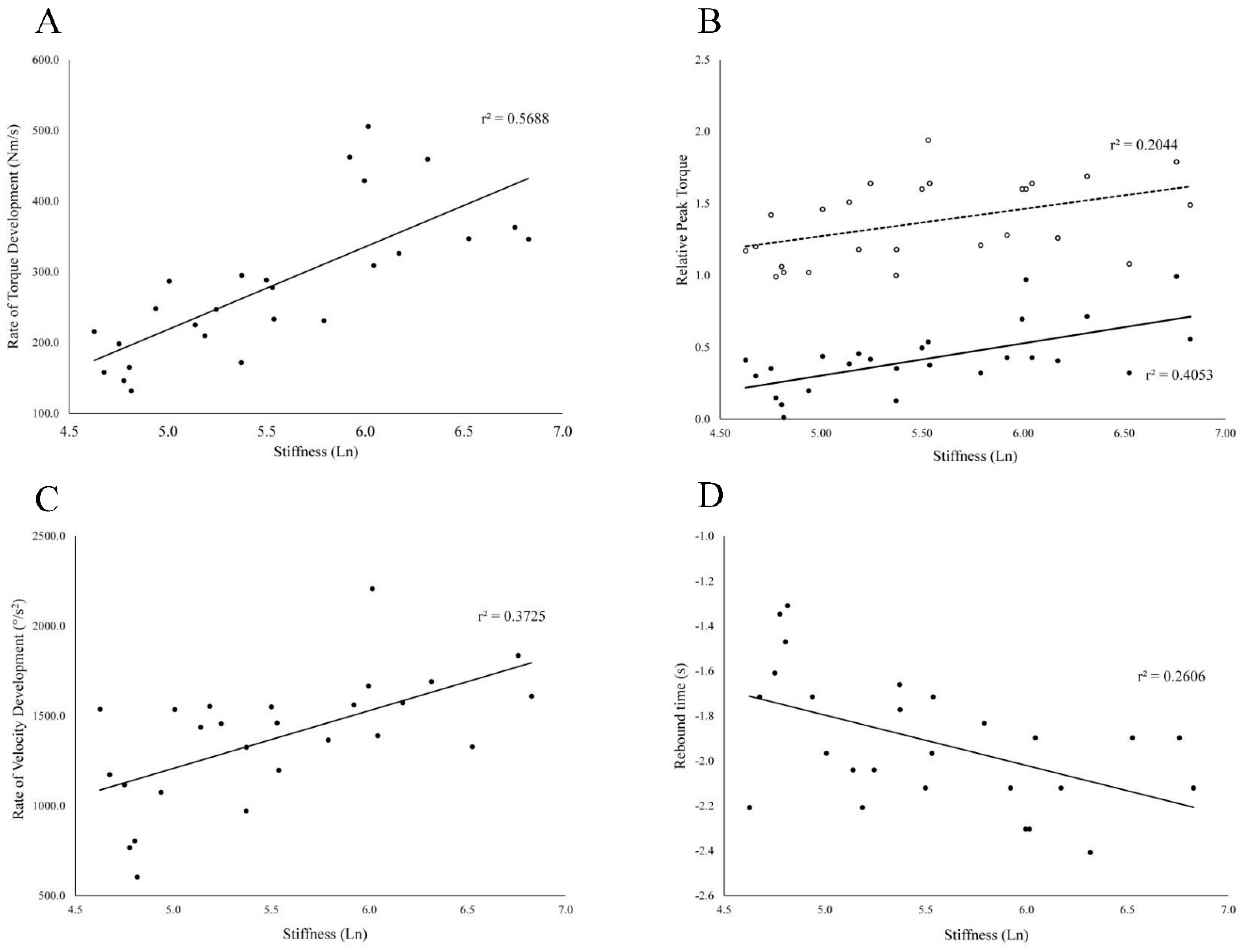
5. Results
6. Discussion
Author Contributions
Funding
Institutional Review Board Statement
Informed Consent Statement
Data Availability Statement
Acknowledgments
Conflicts of Interest
References
- Bramble, D.M.; Lieberman, D.E. Endurance running and the evolution of Homo. Nature 2004, 432, 345–352. [Google Scholar] [CrossRef] [PubMed]
- Bojsen-Moller, J.; Magnusson, S.P. Mechanical properties, physiological behavior, and function of aponeurosis and tendon. J. Appl. Physiol. 2019, 126, 1800–1807. [Google Scholar] [CrossRef]
- Fang, F.; Lake, S.P. Experimental evaluation of multiscale tendon mechanics. J. Orthop. Res. 2017, 35, 1353–1365. [Google Scholar] [CrossRef]
- Huxley, H.; Hanson, J. Changes in the cross-striations of muscle during contraction and stretch and their structural interpretation. Nature 1954, 173, 973–976. [Google Scholar] [CrossRef]
- Chidi-Ogbolu, N.; Baar, K. Effect of Estrogen on Musculoskeletal Performance and Injury Risk. Front. Physiol. 2018, 9, 1834. [Google Scholar] [CrossRef] [PubMed]
- Riemann, B.L.; Lephart, S.M. The Sensorimotor System, Part II: The Role of Proprioception in Motor Control and Functional Joint Stability. J. Athl. Train. 2002, 37, 80–84. [Google Scholar] [PubMed]
- Lee, C.A.; Lee-Barthel, A.; Marquino, L.; Sandoval, N.; Marcotte, G.R.; Baar, K. Estrogen inhibits lysyl oxidase and decreases mechanical function in engineered ligaments. J. Appl. Physiol. 2015, 118, 1250–1257. [Google Scholar] [CrossRef] [PubMed]
- Blackburn, J.T.; Padua, D.A.; Riemann, B.L.; Guskiewicz, K.M. The relationships between active extensibility, and passive and active stiffness of the knee flexors. J. Electromyogr. Kinesiol. 2004, 14, 683–691. [Google Scholar] [CrossRef] [PubMed]
- Chumanov, E.S.; Heiderscheit, B.C.; Thelen, D.G. Hamstring musculotendon dynamics during stance and swing phases of high-speed running. Med. Sci. Sports Exerc. 2011, 43, 525–532. [Google Scholar] [CrossRef]
- Chumanov, E.S.; Schache, A.G.; Heiderscheit, B.C.; Thelen, D.G. Hamstrings are most susceptible to injury during the late swing phase of sprinting. Br. J. Sports Med. 2012, 46, 90. [Google Scholar] [CrossRef]
- Ribeiro-Alvares, J.B.; Dornelles, M.P.; Fritsch, C.G.; de Lima, E.S.F.X.; Medeiros, T.M.; Severo-Silveira, L.; Marques, V.B.; Baroni, B.M. Prevalence of Hamstring Strain Injury Risk Factors in Professional and Under-20 Male Football (Soccer) Players. J. Sport Rehabil. 2019, 1–7. [Google Scholar] [CrossRef] [PubMed]
- Schache, A.G.; Dorn, T.W.; Blanch, P.D.; Brown, N.A.; Pandy, M.G. Mechanics of the human hamstring muscles during sprinting. Med. Sci. Sports Exerc. 2012, 44, 647–658. [Google Scholar] [CrossRef] [PubMed]
- Sun, Y.; Wei, S.; Zhong, Y.; Fu, W.; Li, L.; Liu, Y. How joint torques affect hamstring injury risk in sprinting swing-stance transition. Med. Sci. Sports Exerc. 2015, 47, 373–380. [Google Scholar] [CrossRef]
- Hannah, R.; Minshull, C.; Smith, S.L.; Folland, J.P. Longer electromechanical delay impairs hamstrings explosive force versus quadriceps. Med. Sci. Sports Exerc. 2014, 46, 963–972. [Google Scholar] [CrossRef] [PubMed]
- Morin, J.B.; Gimenez, P.; Edouard, P.; Arnal, P.; Jimenez-Reyes, P.; Samozino, P.; Brughelli, M.; Mendiguchia, J. Sprint Acceleration Mechanics: The Major Role of Hamstrings in Horizontal Force Production. Front. Physiol. 2015, 6, 404. [Google Scholar] [CrossRef] [PubMed]
- Bennell, K.L.; Crossley, K. Musculoskeletal injuries in track and field: Incidence, distribution and risk factors. Aust. J. Sci. Med. Sport 1996, 28, 69–75. [Google Scholar]
- Camp, C.L.; Dines, J.S.; van der List, J.P.; Conte, S.; Conway, J.; Altchek, D.W.; Coleman, S.H.; Pearle, A.D. Summative Report on Time Out of Play for Major and Minor League Baseball: An Analysis of 49,955 Injuries From 2011 Through 2016. Am. J. Sports Med. 2018, 46, 1727–1732. [Google Scholar] [CrossRef]
- Ekstrand, J.; Walden, M.; Hagglund, M. Hamstring injuries have increased by 4% annually in men’s professional football, since 2001: A 13-year longitudinal analysis of the UEFA Elite Club injury study. Br. J. Sports Med. 2016, 50, 731–737. [Google Scholar] [CrossRef]
- Gabbe, B.J.; Bennell, K.L.; Finch, C.F.; Wajswelner, H.; Orchard, J.W. Predictors of hamstring injury at the elite level of Australian football. Scand. J. Med. Sci. Sports 2006, 16, 7–13. [Google Scholar] [CrossRef]
- Orchard, J.W.; Seward, H.; Orchard, J.J. Results of 2 decades of injury surveillance and public release of data in the Australian Football League. Am. J. Sports Med. 2013, 41, 734–741. [Google Scholar] [CrossRef]
- Blackburn, J.T.; Bell, D.R.; Norcross, M.F.; Hudson, J.D.; Kimsey, M.H. Sex comparison of hamstring structural and material properties. Clin. Biomech. 2009, 24, 65–70. [Google Scholar] [CrossRef]
- Blackburn, J.T.; Norcross, M.F.; Cannon, L.N.; Zinder, S.M. Hamstrings stiffness and landing biomechanics linked to anterior cruciate ligament loading. J. Athl. Train. 2013, 48, 764–772. [Google Scholar] [CrossRef] [PubMed]
- Schut, L.; Wangensteen, A.; Maaskant, J.; Tol, J.L.; Bahr, R.; Moen, M. Can Clinical Evaluation Predict Return to Sport after Acute Hamstring Injuries? A Systematic Review. Sports Med. 2017, 47, 1123–1144. [Google Scholar] [CrossRef]
- Ishoi, L.; Aagaard, P.; Nielsen, M.F.; Thornton, K.B.; Krommes, K.K.; Holmich, P.; Thorborg, K. The Influence of Hamstring Muscle Peak Torque and Rate of Torque Development for Sprinting Performance in Football Players: A Cross-Sectional Study. Int. J. Sports Physiol. Perform. 2019, 14, 665–673. [Google Scholar] [CrossRef] [PubMed]
- Van Driessche, S.; van Roie, E.; Vanwanseele, B.; Delecluse, C. Test-retest reliability of knee extensor rate of velocity and power development in older adults using the isotonic mode on a Biodex System 3 dynamometer. PLoS ONE 2018, 13, e0196838. [Google Scholar] [CrossRef] [PubMed]
- Wang, X.; Tao, X.; So, R.C.H. A Bio-mechanical Model for Elbow Isokinetic and Isotonic Flexions. Sci. Rep. 2017, 7, 8919. [Google Scholar] [CrossRef] [PubMed]
- McNair, P.J.; Wood, G.A.; Marshall, R.N. Stiffness of the hamstring muscles and its relationship to function in anterior cruciate ligament deficient individuals. Clin. Biomech. 1992, 7, 131–137. [Google Scholar] [CrossRef]
- Riemann, B.L.; Hipko, N.; Johnson, W.; Murphy, T.; Davies, G.J. Effects of medicine ball mass on the intensity of 90°/90° plyometric throwing exercise. Phys. Ther. Sport 2019, 40, 238–243. [Google Scholar] [CrossRef]
- Paxton, J.Z.; Baar, K. Tendon mechanics: The argument heats up. J. Appl. Physiol. 2007, 103, 423–424. [Google Scholar] [CrossRef]
- Blackburn, J.T.; Pamukoff, D.N. Geometric and architectural contributions to hamstring musculotendinous stiffness. Clin. Biomech. 2014, 29, 105–110. [Google Scholar] [CrossRef]
- ACSM’S Guidelines for Exercise Testing and Prescription; Wolters Kluwer: Alphen aan den Rijn, The Netherlands, 2017.
- Blackburn, J.T.; Norcross, M.F. The effects of isometric and isotonic training on hamstring stiffness and anterior cruciate ligament loading mechanisms. J. Electromyogr. Kinesiol. 2014, 24, 98–103. [Google Scholar] [CrossRef] [PubMed]
- Granata, K.P.; Wilson, S.E.; Padua, D.A. Gender differences in active musculoskeletal stiffness. Part I. Quantification in controlled measurements of knee joint dynamics. J. Electromyogr. Kinesiol. 2002, 12, 119–126. [Google Scholar] [CrossRef]
- Winter, D. Biomechanics and Motor Control of Human Movement; John Wiley & Sons, Inc.: Hoboken, NJ, USA, 2005. [Google Scholar]
- Hopkins, W.G. A New View of Statistics. Internet Society for Sport Science. Available online: http://www.sportsci.org/resource/stats/ (accessed on 12 January 2021).
- Bennell, K.; Wajswelner, H.; Lew, P.; Schall-Riaucour, A.; Leslie, S.; Plant, D.; Cirone, J. Isokinetic strength testing does not predict hamstring injury in Australian Rules footballers. Br. J. Sports Med. 1998, 32, 309–314. [Google Scholar] [CrossRef] [PubMed]
- Brockett, C.L.; Morgan, D.L.; Proske, U. Predicting hamstring strain injury in elite athletes. Med. Sci. Sports Exerc. 2004, 36, 379–387. [Google Scholar] [CrossRef]
- Green, B.; Bourne, M.N.; Pizzari, T. Isokinetic strength assessment offers limited predictive validity for detecting risk of future hamstring strain in sport: A systematic review and meta-analysis. Br. J. Sports Med. 2018, 52, 329–336. [Google Scholar] [CrossRef]




| Muscle Performance Characteristic | Coefficients | Standardized Coefficient | Significance | |
|---|---|---|---|---|
| Slope | Intercept | |||
| Isotonic | ||||
| Peak torque | 1.81 | 4.77 | 0.637 | <0.001 |
| Rate of torque development | 0.005 | 4.16 | 0.754 | <0.001 |
| Rebound time | −1.16 | 3.30 | −0.510 | <0.001 |
| Rate of velocity development | 0.001 | 3.93 | 0.610 | <0.001 |
| Isometric | ||||
| Peak Torque | 1.08 | 4.04 | 0.452 | 0.020 |
Publisher’s Note: MDPI stays neutral with regard to jurisdictional claims in published maps and institutional affiliations. |
© 2021 by the authors. Licensee MDPI, Basel, Switzerland. This article is an open access article distributed under the terms and conditions of the Creative Commons Attribution (CC BY) license (https://creativecommons.org/licenses/by/4.0/).
Share and Cite
Langan, S.P.; Murphy, T.; Johnson, W.M.; Carreker, J.D.; Riemann, B.L. The Influence of Active Hamstring Stiffness on Markers of Isotonic Muscle Performance. Sports 2021, 9, 70. https://doi.org/10.3390/sports9050070
Langan SP, Murphy T, Johnson WM, Carreker JD, Riemann BL. The Influence of Active Hamstring Stiffness on Markers of Isotonic Muscle Performance. Sports. 2021; 9(5):70. https://doi.org/10.3390/sports9050070
Chicago/Turabian StyleLangan, Sean P., Thomas Murphy, Wayne M. Johnson, Jadeon D. Carreker, and Bryan L. Riemann. 2021. "The Influence of Active Hamstring Stiffness on Markers of Isotonic Muscle Performance" Sports 9, no. 5: 70. https://doi.org/10.3390/sports9050070
APA StyleLangan, S. P., Murphy, T., Johnson, W. M., Carreker, J. D., & Riemann, B. L. (2021). The Influence of Active Hamstring Stiffness on Markers of Isotonic Muscle Performance. Sports, 9(5), 70. https://doi.org/10.3390/sports9050070

