Testosterone and Cortisol Responses to Five High-Intensity Functional Training Competition Workouts in Recreationally Active Adults
Abstract
1. Introduction
2. Materials and Methods
2.1. Participants
2.2. Study Design
2.3. Online Fitness Competition
2.4. Saliva Sample Collection and Analysis
2.5. Statistical Analyses
3. Results
3.1. Online Fitness Competition
3.2. Testosterone
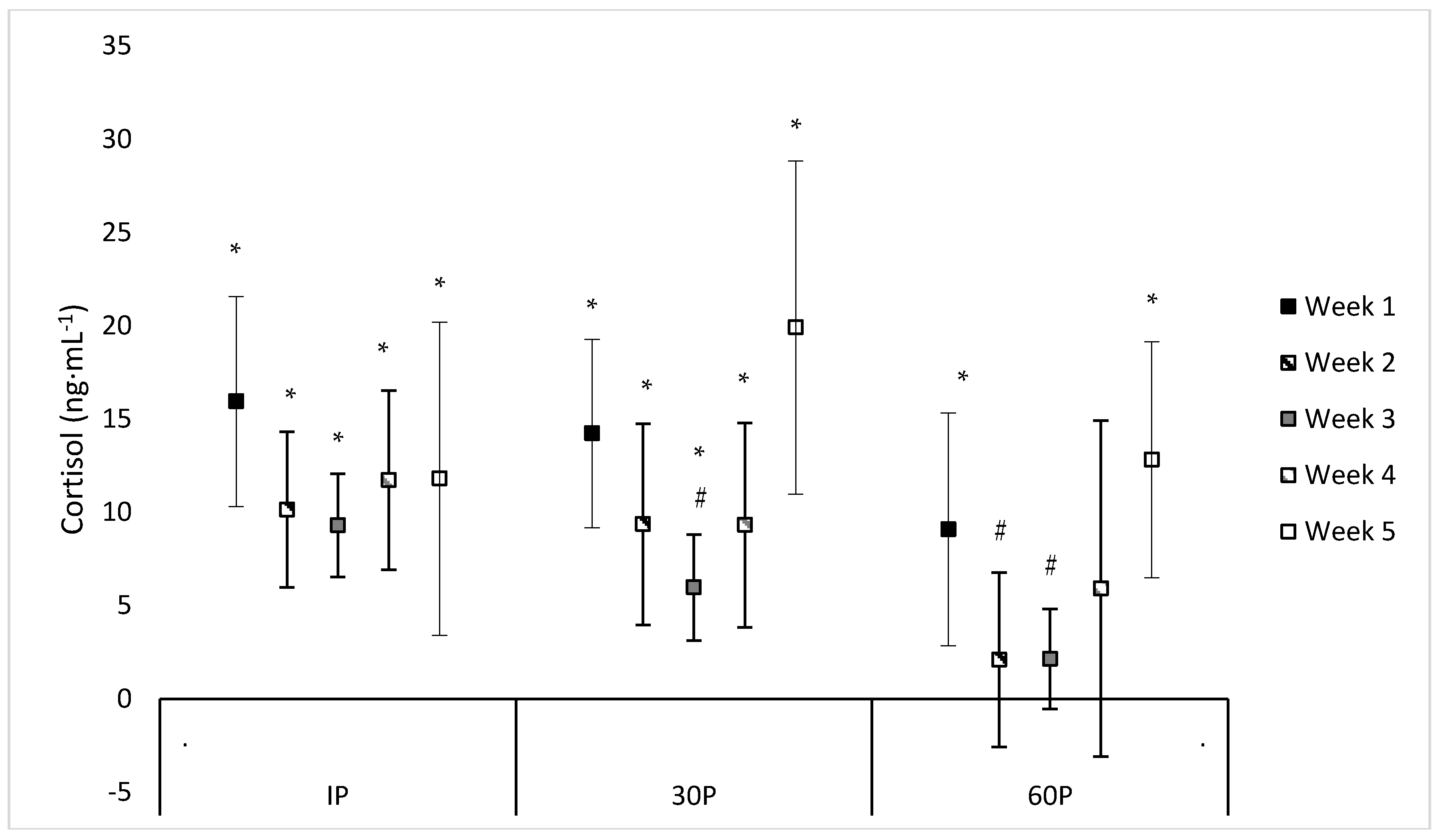
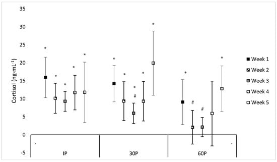
3.3. Cortisol
3.4. Testosterone-Cortisol Ratio
4. Discussion
Author Contributions
Funding
Acknowledgments
Conflicts of Interest
References
- Glassman, G. The Crossfit Training Guide; Crossfit Inc.: Santa Cruz, CA, USA, 2010; pp. 1–115. [Google Scholar]
- Achauer, H. 209,585: Rise of the Open. CrossFit J. 2014. Available online: https://games.crossfit.com/article/209585-rise-open (accessed on 16 December 2017).
- CrossFit. Open Recap. CrossFit Games. 2017. Available online: https://games.crossfit.com/video/2017-open-recap (accessed on 16 December 2017).
- Maté-Muñoz, J.L.; Lougedo, J.H.; Barba, M.; García-Fernández, P.; Garnacho-Castaño, M.V.; Domínguez, R. Muscular fatigue in response to different modalities of crossfit sessions. PLoS ONE 2017, 12, e0181855. [Google Scholar] [CrossRef] [PubMed]
- Kliszczewicz, B.M.; Quindry, J.C.; Blessing, D.L.; Gretchen, O.D.; Esco, M.R.; Taylor, K.J. Acute exercise and oxidative stress: Crossfit™ vs. Treadmill bout. J. Hum. Kinet. 2015, 47, 81–90. [Google Scholar] [CrossRef] [PubMed]
- Fernandez-Fernandez, J.; Sabido-Solana, R.; Moya, D.; Sarabia, J.M.; Moya, M. Acute physiological responses during crossfit® workouts. Eur. J. Hum. Mov. 2015, 35, 114–124. [Google Scholar]
- Tibana, R.A.; de Almeida, L.M.; de Sousa, N.M.F.; da Cunha Nascimento, D.; de Sousa Neto, I.V.; de Almeida, J.A.; de Souza, V.C.; Lopes, M.D.F.T.; de Tolêdo Nobrega, O.; Vieira, D.C. Two consecutive days of crossfit training affects pro and anti-inflammatory cytokines and osteoprotegerin without impairments in muscle power. Front. Physiol. 2016, 7. [Google Scholar] [CrossRef] [PubMed]
- Kliszczewicz, B.M.; Esco, M.R.; Quindry, J.C.; Blessing, D.L.; Oliver, G.D.; Taylor, K.J.; Price, B.M. Autonomic responses to an acute bout of high-intensity body weight resistance exercise vs. Treadmill running. J. Strength Cond. Res. 2016, 30, 1050–1058. [Google Scholar] [CrossRef] [PubMed]
- Bush, J.A.; Kraemer, W.J.; Mastro, A.M.; Triplett-McBride, N.T.; Volek, J.S.; Putukian, M.; Sebastianelli, W.J.; Knuttgen, H.G. Exercise and recovery responses of adrenal medullary neurohormones to heavy resistance exercise. Med. Sci. Sports Exerc. 1999, 31, 554–559. [Google Scholar] [CrossRef] [PubMed]
- Peake, J.M.; Tan, S.J.; Markworth, J.F.; Broadbent, J.A.; Skinner, T.L.; Cameron-Smith, D. Metabolic and hormonal responses to isoenergetic high-intensity interval exercise and continuous moderate-intensity exercise. Am. J. Physiol.-Endocrinol. Metab. 2014, 307, E539–E552. [Google Scholar] [CrossRef] [PubMed]
- Kraemer, W.J.; Marchitelli, L.; Gordon, S.E.; Harman, E.; Dziados, J.E.; Mello, R.; Frykman, P.; McCurry, D.; Fleck, S.J. Hormonal and growth factor responses to heavy resistance exercise protocols. J. Appl. Physiol. 1990, 69, 1442–1450. [Google Scholar] [CrossRef] [PubMed]
- Hooper, D.R.; Kraemer, W.J.; Focht, B.C.; Volek, J.S.; DuPont, W.H.; Caldwell, L.K.; Maresh, C.M. Endocrinological roles for testosterone in resistance exercise responses and adaptations. Sports Med. 2017, 47, 1709–1720. [Google Scholar] [CrossRef] [PubMed]
- Hamdi, M.; Mutungi, G. Dihydrotestosterone activates the MAPK pathway and modulates maximum isometric force through the EGF receptor in isolated intact mouse skeletal muscle fibres. J. Physiol. 2010, 588, 511–525. [Google Scholar] [CrossRef] [PubMed]
- Mangine, G.T.; Hoffman, J.R.; Gonzalez, A.M.; Townsend, J.R.; Wells, A.J.; Jajtner, A.R.; Beyer, K.S.; Boone, C.H.; Wang, R.; Miramonti, A.A. Exercise-induced hormone elevations are related to muscle growth. J. Strength Cond. Res. 2017, 31, 45–53. [Google Scholar] [CrossRef] [PubMed]
- Casto, K.V.; Edwards, D.A. Testosterone, cortisol, and human competition. Horm. Behav. 2016, 82, 21–37. [Google Scholar] [CrossRef] [PubMed]
- Estrada, M.; Espinosa, A.; Müller, M.; Jaimovich, E. Testosterone stimulates intracellular calcium release and mitogen-activated protein kinases via a g protein-coupled receptor in skeletal muscle cells. Endocrinology 2003, 144, 3586–3597. [Google Scholar] [CrossRef] [PubMed]
- Kraemer, W.J.; Ratamess, N.A. Hormonal responses and adaptations to resistance exercise and training. Sports Med. 2005, 35, 339–361. [Google Scholar] [CrossRef] [PubMed]
- Viau, V. Functional cross-talk between the hypothalamic-pituitary-gonadal and-adrenal axes. J. Neuroendocrinol. 2002, 14, 506–513. [Google Scholar] [CrossRef] [PubMed]
- Chen, S.-Y.; Wang, J.; Yu, G.-Q.; Liu, W.; Pearce, D. Androgen and glucocorticoid receptor heterodimer formation a possible mechanism for mutual inhibition of transcriptional activity. J. Biol. Chem. 1997, 272, 14087–14092. [Google Scholar] [CrossRef] [PubMed]
- Crowley, M.A.; Matt, K.S. Hormonal regulation of skeletal muscle hypertrophy in rats: The testosterone to cortisol ratio. Eur. J. Appl. Physiol. Occup. Physiol. 1996, 73, 66–72. [Google Scholar] [CrossRef] [PubMed]
- Ratamess, N.A.; Alvar, B.A.; Evetoch, T.K.; Housh, T.J.; Kibler, W.B.; Kraemer, W.J.; Triplett, N.T. American college of sports medicine position stand. Progression models in resistance training for healthy adults. Med. Sci. Sports Exerc. 2009, 41, 687. [Google Scholar]
- McCaulley, G.O.; McBride, J.M.; Cormie, P.; Hudson, M.B.; Nuzzo, J.L.; Quindry, J.C.; Triplett, N.T. Acute hormonal and neuromuscular responses to hypertrophy, strength and power type resistance exercise. Eur. J. Appl. Physiol. 2009, 105, 695–704. [Google Scholar] [CrossRef] [PubMed]
- Ahtiainen, J.P.; Pakarinen, A.; Alen, M.; Kraemer, W.J.; Häkkinen, K. Muscle hypertrophy, hormonal adaptations and strength development during strength training in strength-trained and untrained men. Eur. J. Appl. Physiol. 2003, 89, 555–563. [Google Scholar] [CrossRef] [PubMed]
- Crewther, B.T.; Hamilton, D.; Casto, K.; Kilduff, L.P.; Cook, C.J. Effects of oral contraceptive use on the salivary testosterone and cortisol responses to training sessions and competitions in elite women athletes. Physiol. Behav. 2015, 147, 84–90. [Google Scholar] [CrossRef] [PubMed]
- Edwards, D.A.; O’neal, J.L. Oral contraceptives decrease saliva testosterone but do not affect the rise in testosterone associated with athletic competition. Horm. Behav. 2009, 56, 195–198. [Google Scholar] [CrossRef] [PubMed]
- CrossFit. Open Workouts. CrossFit Games. 2016. Available online: https://games.crossfit.com/workouts/open/2016 (accessed on 16 December 2017).
- Weiss, L.W.; Cureton, K.J.; Thompson, F.N. Comparison of serum testosterone and androstenedione responses to weight lifting in men and women. Eur. J. Appl. Physiol. Occup. Physiol. 1983, 50, 413–419. [Google Scholar] [CrossRef] [PubMed]
- Linnamo, V.; Pakarinen, A.; Komi, P.V.; Kraemer, W.J.; Häkkinen, K. Acute hormonal responses to submaximal and maximal heavy resistance and explosive exercises in men and women. J. Strength Cond. Res. 2005, 19, 566. [Google Scholar] [PubMed]
- Phillips, M.B.; Barfield, A.J.-P.; Lockert, J.A. A case study: Examining strength and physiological variable changes over an ECP training year. J. Sport Hum. Perform. 2016, 4. [Google Scholar] [CrossRef]
- Mangine, G.T.; Hoffman, J.R.; Gonzalez, A.M.; Townsend, J.R.; Wells, A.J.; Jajtner, A.R.; Beyer, K.S.; Boone, C.H.; Miramonti, A.A.; Wang, R. The effect of training volume and intensity on improvements in muscular strength and size in resistance-trained men. Physiol. Rep. 2015, 3, e12472. [Google Scholar] [CrossRef] [PubMed]
- Ahtiainen, J.P.; Pakarinen, A.; Kraemer, W.J.; Häkkinen, K. Acute hormonal and neuromuscular responses and recovery to forced vs. Maximum repetitions multiple resistance exercises. Int. J. Sports Med. 2003, 24, 410–418. [Google Scholar] [PubMed]
- Carré, J.M.; Campbell, J.A.; Lozoya, E.; Goetz, S.M.; Welker, K.M. Changes in testosterone mediate the effect of winning on subsequent aggressive behaviour. Psychoneuroendocrinology 2013, 38, 2034–2041. [Google Scholar] [CrossRef] [PubMed]
- Hayes, L.D.; Grace, F.M.; LonKilgore, J.; Young, J.D.; Baker, J.S. Salivary hormone response to maximal exercise at two time points during the day. Sports Sci. Pract. Asp. 2013, 10, 25–30. [Google Scholar]
- Veldhuis, J.D.; Iranmanesh, A.; Lizarralde, G.; Johnson, M.L. Amplitude modulation of a burstlike mode of cortisol secretion subserves the circadian glucocorticoid rhythm. Am. J. Physiol.-Endocrinol. Metab. 1989, 257, E6–E14. [Google Scholar] [CrossRef] [PubMed]
- Fry, A.C.; Kraemer, W.J.; Gordon, S.E.; Stone, M.H.; Warren, B.J.; Fleck, S.J.; Kearney, J.T. Endocrine responses to overreaching before and after 1 year of weightlifting. Can. J. Appl. Physiol. 1994, 19, 400–410. [Google Scholar] [CrossRef] [PubMed]
- Adlercreutz, H.; Härkönen, M.; Kuoppasalmi, K.; Näveri, H.; Huhtaniemi, I.; Tikkanen, H.; Remes, K.; Dessypris, A.; Karvonen, J. Effect of training on plasma anabolic and catabolic steroid hormones and their response during physical exercise. Int. J. Sports Med. 1986, 7, 27–28. [Google Scholar] [CrossRef] [PubMed]
- Sollberger, S.; Ehlert, U. How to use and interpret hormone ratios. Psychoneuroendocrinology 2016, 63, 385–397. [Google Scholar] [CrossRef] [PubMed]



| Week | Scoring | Rx | Scaled |
|---|---|---|---|
| WK1 | 20-min AMRAP | 25-ft overhead walking lunge (95/65 lbs.) 8 bar-over burpees 25-ft overhead walking lunge (95/65 lbs.) 8 chest-to-bar pull-ups | 25-ft front rack walking lunge (45/35 lbs.) 8 burpees 25-ft front rack walking lunge (45/35 lbs.) 8 jumping chin-over-bar pull-ups |
| WK2 | AMRAP or TTC * | 25 toes-to-bar 50 double-unders Squat cleans: (135/85 lbs.) × 15 → (185/115 lbs.) × 13 → (225/145 lbs.) × 11 → 275/175 lbs.) × 9 → (315/205 lbs.) × 7 | 25 hanging knee raises 50 single-unders Squat cleans: (95/55 lbs.) × 15 → (115/75 lbs.) × 13 → (135/95 lbs.) × 11 → 155/115 lbs.) × 9 → (185/135 lbs.) × 7 |
| WK3 | 7-min AMRAP | 10 power snatches (75/55 lbs.) 3 bar muscle-ups | 10 power snatches (45/35 lbs.) 5 jumping chest-to-bar pull-ups |
| WK4 | 13-min AMRAP | 55 deadlifts (225/155 lbs.) 55 wall-ball shots (20/14 lbs. to 10/9 ft.) 55 calorie row 55 handstand push-ups | 55 deadlifts (135/95 lbs.) 55 wall-ball shots (20/10 lbs. to 9/9 ft.) 55 calorie row 55 hand release push-ups |
| WK5 | TTC | thrusters (95/65 lbs.) bar-over burpees 21-18-15-12-9-6-3 reps | thrusters (65/45 lbs.) bar-over burpees 21-18-15-12-9-6-3 reps |
| Participants | Week 1 | Week 2 | Week 3 | Week 4 | Week 5 | ||||||
|---|---|---|---|---|---|---|---|---|---|---|---|
| Level | Repetitions | Level | Rounds | Repetitions | Level | Repetitions | Level | Repetitions | Level | Minutes | |
| Women | |||||||||||
| Participant #1 | Scale | 297 | Scale | 5 | 430 | Scaled | 143 | Scale | 278 | Scale | 13.78 |
| Participant #2 | Scale | 216 | Rx | 1 | 79 | Rx | 10 | Scale | 165 | Rx | 18.38 |
| Participant #3 | Scale | 135 | Scale | 4 | 348 | Scale | 49 | Scale | 121 | Rx | 26.98 |
| Participant #4 | Scale | 218 | Rx | 2 | 20 | Scale | 108 | Rx | 165 | Rx | 19.93 |
| Participant #5 | Rx | 669 | Rx | 2 | 167 | Rx | 58 | Scale | 217 | Rx | 15.25 |
| Mean ± SD | 307 ± 210 | 3 ± 2 | 209 ± 175 | 74 ± 52 | 189 ± 60 | 18.87 ± 5.15 | |||||
| Men | |||||||||||
| Participant #6 | Rx | 685 | Rx | 2 | 165 | Rx | 75 | Rx | 178 | - | - |
| Participant #7 | Rx | 791 | Rx | 2 | 173 | Rx | 90 | Rx | 199 | Rx | 13.47 |
| Participant #8 | Rx | 681 | Rx | 2 | 172 | Rx | 71 | Rx | 184 | Rx | 14.47 |
| Participant #9 | Rx | 681 | Rx | 2 | 175 | Rx | 75 | Rx | 182 | Rx | 18.38 |
| Participant #10 | Rx | 720 | Rx | 2 | 126 | Rx | 89 | Rx | 193 | - | - |
| Mean ± SD | 719 ± 51 | 2 ± 0 | 162 ± 21 | 80 ± 9 | 187 ± 9 | - | 15.44 ± 2.60 | ||||
| All Participants | 490 ± 265 | 2 ± 1 | 186 ± 120 | 77 ± 35 | 188 ± 41 | 17.58 ± 4.50 | |||||
| Participants | Week 1 | Week 2 | Week 3 | Week 4 | Week 5 | |||||||||||||||
|---|---|---|---|---|---|---|---|---|---|---|---|---|---|---|---|---|---|---|---|---|
| PRE | IP | 30P | 60P | PRE | IP | 30P | 60P | PRE | IP | 30P | 60P | PRE | IP | 30P | 60P | PRE | IP | 30P | 60P | |
| Women | ||||||||||||||||||||
| Participant #1 | 266 | 377 | 283 | 340 | 871 | 1222 | 563 | 686 | 202 | 1002 | 391 | 405 | 1479 | 4207 | 1250 | 704 | 186 | 661 | 387 | 375 |
| Participant #2 | 180 | 591 | 280 | 159 | 232 | 660 | 361 | 273 | 148 | 333 | 297 | 239 | 59 | 225 | 98 | 38 | 21 | 41 | 42 | 29 |
| Participant #3 | 67 | 127 | 99 | 84 | 79 | 110 | 112 | 73 | 72 | 71 | 95 | 84 | 89 | 81 | 117 | 89 | 69 | 87 | 102 | 53 |
| Participant #4 | 59 | 396 | 132 | 110 | 89 | 197 | 66 | 44 | 46 | 296 | 62 | 102 | 78 | 361 | 160 | 55 | 36 | 256 | 121 | 78 |
| Participant #5 | 90 | 261 | 166 | 103 | 74 | 148 | 169 | 114 | 85 | 172 | 176 | 161 | 99 | 135 | 157 | 44 | 78 | 174 | 100 | 100 |
| Men | ||||||||||||||||||||
| Participant #6 | 452 | 609 | 311 | 138 | 224 | 684 | 365 | 192 | 230 | 592 | 217 | 156 | 375 | 471 | 315 | 289 | - | - | - | - |
| Participant #7 | 74 | 152 | 98 | 67 | 81 | 143 | 86 | 56 | 86 | 140 | 106 | 93 | 72 | 140 | 151 | 85 | 78 | 108 | 111 | 109 |
| Participant #8 | 194 | 213 | 254 | 162 | 268 | 843 | 389 | 186 | 168 | 303 | 198 | 176 | 358 | 346 | 361 | 236 | 136 | 365 | 230 | 217 |
| Participant #9 | - | - | - | - | 77 | 118 | 102 | 120 | 104 | 127 | 98 | 197 | 93 | 158 | 93 | 178 | 94 | 101 | 74 | 267 |
| Participant #10 | 134 | 1685 | 358 | 205 | 95 | 750 | 203 | 224 | 154 | 826 | 466 | 418 | 290 | 1974 | 475 | 204 | - | - | - | - |
| Participants | Week 1 | Week 2 | Week 3 | Week 4 | Week 5 | |||||||||||||||
|---|---|---|---|---|---|---|---|---|---|---|---|---|---|---|---|---|---|---|---|---|
| PRE | IP | 30P | 60P | PRE | IP | 30P | 60P | PRE | IP | 30P | 60P | PRE | IP | 30P | 60P | PRE | IP | 30P | 60P | |
| Women | ||||||||||||||||||||
| Participant #1 | 12.0 | 13.0 | 19.5 | 19.0 | 15.9 | 22.7 | 18.8 | 19.7 | 11.3 | 23.1 | 17.3 | 15.1 | 12.4 | 31.8 | 16.1 | 12.0 | 3.9 | 16.9 | 29.0 | 20.4 |
| Participant #2 | 4.3 | 18.0 | 18.6 | 17.1 | 14.9 | 22.6 | 15.5 | 8.8 | 2.9 | 9.1 | 4.9 | 6.0 | 6.4 | 15.8 | 17.2 | 17.9 | 1.7 | 3.6 | 4.4 | 4.7 |
| Participant #3 | 7.7 | 25.7 | 25.8 | 13.6 | 4.1 | 22.9 | 38.2 | 22.5 | 8.0 | 10.9 | 9.2 | 5.0 | 5.4 | 16.4 | 33.4 | 49.9 | 3.9 | 35.3 | 46.4 | 20.0 |
| Participant #4 | 6.1 | 37.3 | 34.4 | 29.6 | 6.4 | 11.5 | 11.6 | 6.5 | 6.5 | 27.9 | 23.8 | 18.4 | 24.2 | 36.8 | 35.1 | 22.5 | 4.0 | 35.9 | 41.1 | 36.2 |
| Participant #5 | 6.4 | 30.3 | 36.3 | 19.2 | 4.3 | 21.8 | 29.4 | 15.1 | 7.2 | 16.6 | 16.2 | 8.3 | 6.6 | 12.0 | 9.4 | 5.0 | 3.2 | 9.6 | 26.0 | 23.1 |
| Men | ||||||||||||||||||||
| Participant #6 | 6.8 | 15.7 | 10.4 | 6.5 | 8.8 | 11.4 | 9.5 | 4.8 | 3.6 | 11.8 | 6.9 | 5.2 | 5.4 | 20.0 | 10.9 | 4.1 | - | - | - | - |
| Participant #7 | 3.3 | 21.0 | 14.8 | 11.3 | 4.7 | 13.8 | 8.5 | 5.0 | 8.8 | 14.4 | 8.4 | 4.5 | 1.5 | 10.9 | 8.1 | 5.3 | 0.8 | 12.4 | 14.4 | 9.3 |
| Participant #8 | 12.2 | 18.8 | 23.0 | 24.8 | 19.0 | 26.9 | 24.5 | 7.8 | 14.9 | 19.4 | 19.4 | 14.2 | 18.5 | 20.4 | 26.0 | 16.2 | 6.1 | 13.3 | 30.7 | 21.1 |
| Participant #9 | - | - | - | - | 6.3 | 8.9 | 8.8 | 9.7 | 6.1 | 11.4 | 8.5 | 7.6 | 5.6 | 16.9 | 18.8 | 13.4 | 2.9 | 3.4 | 5.4 | 3.6 |
| Participant #10 | 28.8 | 54.4 | 39.7 | 34.4 | 12.4 | 35.6 | 25.5 | 17.7 | 11.5 | 29.0 | 25.7 | 17.8 | 23.8 | 46.2 | 28.2 | 22.8 | - | - | - | - |
© 2018 by the authors. Licensee MDPI, Basel, Switzerland. This article is an open access article distributed under the terms and conditions of the Creative Commons Attribution (CC BY) license (http://creativecommons.org/licenses/by/4.0/).
Share and Cite
Mangine, G.T.; Van Dusseldorp, T.A.; Feito, Y.; Holmes, A.J.; Serafini, P.R.; Box, A.G.; Gonzalez, A.M. Testosterone and Cortisol Responses to Five High-Intensity Functional Training Competition Workouts in Recreationally Active Adults. Sports 2018, 6, 62. https://doi.org/10.3390/sports6030062
Mangine GT, Van Dusseldorp TA, Feito Y, Holmes AJ, Serafini PR, Box AG, Gonzalez AM. Testosterone and Cortisol Responses to Five High-Intensity Functional Training Competition Workouts in Recreationally Active Adults. Sports. 2018; 6(3):62. https://doi.org/10.3390/sports6030062
Chicago/Turabian StyleMangine, Gerald T., Trisha A. Van Dusseldorp, Yuri Feito, Alyssa J. Holmes, Paul R. Serafini, Allyson G. Box, and Adam M. Gonzalez. 2018. "Testosterone and Cortisol Responses to Five High-Intensity Functional Training Competition Workouts in Recreationally Active Adults" Sports 6, no. 3: 62. https://doi.org/10.3390/sports6030062
APA StyleMangine, G. T., Van Dusseldorp, T. A., Feito, Y., Holmes, A. J., Serafini, P. R., Box, A. G., & Gonzalez, A. M. (2018). Testosterone and Cortisol Responses to Five High-Intensity Functional Training Competition Workouts in Recreationally Active Adults. Sports, 6(3), 62. https://doi.org/10.3390/sports6030062

