Sex-Based Effects on Muscle Oxygenation During Repeated Maximal Intermittent Handgrip Exercise
Abstract
1. Introduction
2. Materials and Methods
2.1. Experimental Design
2.2. Participants
2.3. Familiarization Visit
2.4. Experimental Visit
2.5. Near-Infrared Spectroscopy (NIRS)
2.6. Statistical Analysis
3. Results
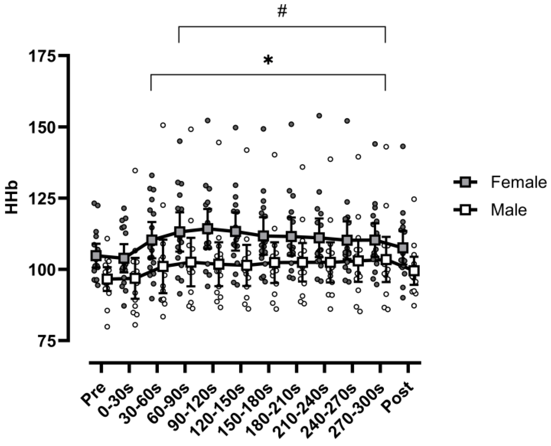
3.1. Deoxy[heme]
3.2. Tissue Oxygen Saturation
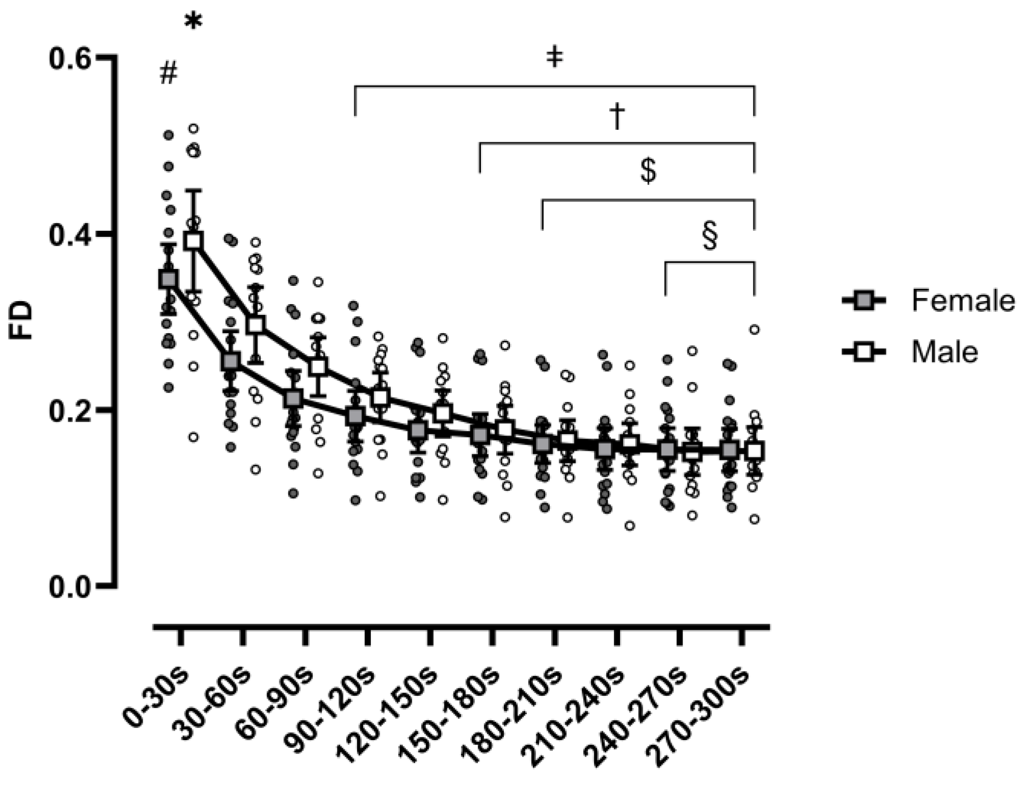
3.3. Force-Deoxygenation Ratio
4. Discussion
4.1. Muscle Oxygenation
4.2. Force-Deoxygenation Ratio
4.3. Limitations
5. Conclusions
Author Contributions
Funding
Institutional Review Board Statement
Informed Consent Statement
Data Availability Statement
Conflicts of Interest
Abbreviations
| FD | Force-deoxygenation ratio |
| HHb | Deoxy[heme] |
| MVC | Maximal voluntary contraction |
| NIRS | Near-infrared spectroscopy |
| O2Hb | Oxy[heme] |
| StO2 | Tissue oxygen saturation |
| SHG | Sustained handgrip task |
| THb | Total[heme] |
| VOT | Vascular occlusion test |
References
- McGrath, R.P.; Kraemer, W.J.; Snih, S.A.; Peterson, M.D. Handgrip Strength and Health in Aging Adults. Sports Med. 2018, 48, 1993–2000. [Google Scholar] [CrossRef]
- Rantanen, T.; Harris, T.; Leveille, S.G.; Visser, M.; Foley, D.; Masaki, K.; Guralnik, J.M. Muscle Strength and Body Mass Index as Long-Term Predictors of Mortality in Initially Healthy Men. J. Gerontol. Ser. A 2000, 55, M168–M173. [Google Scholar] [CrossRef] [PubMed]
- Cruz-Jentoft, A.J.; Baeyens, J.P.; Bauer, J.M.; Boirie, Y.; Cederholm, T.; Landi, F.; Martin, F.C.; Michel, J.-P.; Rolland, Y.; Schneider, S.M. Sarcopenia: European Consensus on Definition and Diagnosis: Report of the European Working Group on Sarcopenia in Older People. Age Ageing 2010, 39, 412–423. [Google Scholar] [CrossRef] [PubMed]
- Snih, S.A.; Markides, K.S.; Ottenbacher, K.J.; Raji, M.A. Hand Grip Strength and Incident ADL Disability in Elderly Mexican Americans over a Seven-Year Period. Aging Clin. Exp. Res. 2004, 16, 481–486. [Google Scholar] [CrossRef]
- Beaudart, C.; Reginster, J.-Y.; Petermans, J.; Gillain, S.; Quabron, A.; Locquet, M.; Slomian, J.; Buckinx, F.; Bruyère, O. Quality of Life and Physical Components Linked to Sarcopenia: The SarcoPhAge Study. Exp. Gerontol. 2015, 69, 103–110. [Google Scholar] [CrossRef] [PubMed]
- Yi, D.; Khang, A.R.; Lee, H.W.; Son, S.M.; Kang, Y.H. Relative Handgrip Strength as a Marker of Metabolic Syndrome: The Korea National Health and Nutrition Examination Survey (KNHANES) VI (2014–2015). Diabetes Metab. Syndr. Obes. Targets Ther. 2018, 11, 227–240. [Google Scholar] [CrossRef] [PubMed]
- Lawman, H.G.; Troiano, R.P.; Perna, F.M.; Wang, C.-Y.; Fryar, C.D.; Ogden, C.L. Associations of Relative Handgrip Strength and Cardiovascular Disease Biomarkers in US Adults, 2011–2012. Am. J. Prev. Med. 2016, 50, 677–683. [Google Scholar] [CrossRef]
- Carson, R.G. Get a Grip: Individual Variations in Grip Strength Are a Marker of Brain Health. Neurobiol. Aging 2018, 71, 189–222. [Google Scholar] [CrossRef]
- Fransson-Hall, C.; Byström, S.; Kilbom, A. Characteristics of Forearm-hand Exposure in Relation to Symptoms among Automobile Assembly Line Workers. Am. J. Ind. Med. 1996, 29, 15–22. [Google Scholar] [CrossRef]
- Demura, S.; Nakada, M.; Nagasawa, Y. Gender Difference in Subjective Muscle-Fatigue Sensation during Sustained Muscle Force Exertion. Tohoku J. Exp. Med. 2008, 215, 287–294. [Google Scholar] [CrossRef]
- Clark, B.C.; Manini, T.M.; Thé, D.J.; Doldo, N.A.; Ploutz-Snyder, L.L. Gender Differences in Skeletal Muscle Fatigability Are Related to Contraction Type and EMG Spectral Compression. J. Appl. Physiol. 2003, 94, 2263–2272. [Google Scholar] [CrossRef] [PubMed]
- Hunter, S.K.; Enoka, R.M. Sex Differences in the Fatigability of Arm Muscles Depends on Absolute Force during Isometric Contractions. J. Appl. Physiol. 2001, 91, 2686–2694. [Google Scholar] [CrossRef]
- Roepstorff, C.; Thiele, M.; Hillig, T.; Pilegaard, H.; Richter, E.A.; Wojtaszewski, J.F.; Kiens, B. Higher Skeletal Muscle α2AMPK Activation and Lower Energy Charge and Fat Oxidation in Men than in Women during Submaximal Exercise. J. Physiol. 2006, 574, 125–138. [Google Scholar] [CrossRef] [PubMed]
- Cardinale, D.A.; Larsen, F.J.; Schiffer, T.A.; Morales-Alamo, D.; Ekblom, B.; Calbet, J.A.; Holmberg, H.-C.; Boushel, R. Superior Intrinsic Mitochondrial Respiration in Women than in Men. Front. Physiol. 2018, 9, 1133. [Google Scholar] [CrossRef] [PubMed]
- Vanhatalo, A.; Fulford, J.; DiMenna, F.J.; Jones, A.M. Influence of Hyperoxia on Muscle Metabolic Responses and the Power–Duration Relationship during Severe-intensity Exercise in Humans: A 31P Magnetic Resonance Spectroscopy Study. Exp. Physiol. 2010, 95, 528–540. [Google Scholar] [CrossRef]
- Ansdell, P.; Brownstein, C.G.; Škarabot, J.; Hicks, K.M.; Howatson, G.; Thomas, K.; Hunter, S.K.; Goodall, S. Sex Differences in Fatigability and Recovery Relative to the Intensity–Duration Relationship. J. Physiol. 2019, 597, 5577–5595. [Google Scholar] [CrossRef]
- Beltrame, T.; Villar, R.; Hughson, R.L. Sex Differences in the Oxygen Delivery, Extraction, and Uptake during Moderate-Walking Exercise Transition. Appl. Physiol. Nutr. Metab. 2017, 42, 994–1000. [Google Scholar] [CrossRef]
- Keller, J.L.; Traylor, M.K.; Gray, S.M.; Hill, E.C.; Weir, J.P. Sex Differences in NIRS Derived Values of Reactive Hyperemia Persist after Experimentally Controlling for the Ischemic Vasodilatory Stimulus. J. Appl. Physiol. 2023, 135, 3–14. [Google Scholar] [CrossRef]
- Marshall, P.W.; Metcalf, E.; Hagstrom, A.D.; Cross, R.; Siegler, J.C.; Enoka, R.M. Changes in Fatigue Are the Same for Trained Men and Women after Resistance Exercise. Med. Sci. Sports Exerc. 2020, 52, 196–204. [Google Scholar] [CrossRef]
- Keller, J.L.; Kennedy, K.G. Men Exhibit Faster Skeletal Muscle Tissue Desaturation than Women before and after a Fatiguing Handgrip. Eur. J. Appl. Physiol. 2021, 121, 3473–3483. [Google Scholar] [CrossRef]
- Mantooth, W.P.; Mehta, R.K.; Rhee, J.; Cavuoto, L.A. Task and Sex Differences in Muscle Oxygenation during Handgrip Fatigue Development. Ergonomics 2018, 61, 1646–1656. [Google Scholar] [CrossRef] [PubMed]
- Russ, D.W.; Kent-Braun, J.A. Sex Differences in Human Skeletal Muscle Fatigue Are Eliminated under Ischemic Conditions. J. Appl. Physiol. 2003, 94, 2414–2422. [Google Scholar] [CrossRef] [PubMed]
- Barstow, T.J. Understanding near Infrared Spectroscopy and Its Application to Skeletal Muscle Research. J. Appl. Physiol. 2019, 126, 1360–1376. [Google Scholar] [CrossRef] [PubMed]
- Keller, J.L.; Kennedy, K.G.; Hill, E.C.; Fleming, S.R.; Colquhoun, R.J.; Schwarz, N.A. Handgrip Exercise Induces Sex-specific Mean Arterial Pressure and Oxygenation Responses but Similar Performance Fatigability. Clin. Physiol. Funct. Imaging 2022, 42, 127–138. [Google Scholar] [CrossRef]
- Nakada, M.; Demura, S.; Yamaji, S.; Minami, M.; Kitabayashi, T.; Nagasawa, Y. Relationships between Force Curves and Muscle Oxygenation Kinetics during Repeated Handgrip. J. Physiol. Anthropol. Appl. Hum. Sci. 2004, 23, 191–196. [Google Scholar] [CrossRef][Green Version]
- Demura, S.; Yamaji, S.; Nagasawa, Y.; Nakada, M. Different Gripping Intervals in Reproducibility of Force-Decreasing Curve and Muscle Oxygenation Kinetics during Sustained Maximal Gripping. Percept. Mot. Skills 2011, 112, 561–572. [Google Scholar] [CrossRef]
- Renziehausen, J. Time of Day Effects on Maximal Effort Strength/Power and Fatigability Assessments. Electron. Theses Diss. 2023, 2020, 1644. [Google Scholar]
- Van Beekvelt, M.C.; Colier, W.N.; Wevers, R.A.; Van Engelen, B.G. Performance of Near-Infrared Spectroscopy in Measuring Local O2 Consumption and Blood Flow in Skeletal Muscle. J. Appl. Physiol. 2001, 90, 511–519. [Google Scholar] [CrossRef]
- Wizenberg, A.M.; Gonzalez-Rojas, D.; Rivera, P.M.; Proppe, C.E.; Laurel, K.P.; Stout, J.R.; Fukuda, D.H.; Billaut, F.; Keller, J.L.; Hill, E.C. Acute Effects of Continuous and Intermittent Blood Flow Restriction on Sprint Interval Performance and Muscle Oxygen Responses. J. Strength Cond. Res. 2023, 37, e546–e554. [Google Scholar] [CrossRef]
- Paradis-Deschênes, P.; Joanisse, D.R.; Billaut, F. Sex-Specific Impact of Ischemic Preconditioning on Tissue Oxygenation and Maximal Concentric Force. Front. Physiol. 2017, 7, 674. [Google Scholar] [CrossRef]
- Nuzzo, J.L. Sex Differences in Skeletal Muscle Fiber Types: A Meta-analysis. Clin. Anat. 2024, 37, 81–91. [Google Scholar] [CrossRef] [PubMed]
- Smith, K.J.; Billaut, F. Tissue Oxygenation in Men and Women during Repeated-Sprint Exercise. Int. J. Sports Physiol. Perform. 2012, 7, 59–67. [Google Scholar] [CrossRef] [PubMed]
- Søgaard, K.; Orizio, C.; Sjøgaard, G. Surface Mechanomyogram Amplitude Is Not Attenuated by Intramuscular Pressure. Eur. J. Appl. Physiol. 2006, 96, 178–184. [Google Scholar] [CrossRef]
- Barnes, W.S. The Relationship between Maximum Isometric Strength and Intramuscular Circulatory Occlusion. Ergonomics 1980, 23, 351–357. [Google Scholar] [CrossRef]
- McNeil, C.J.; Allen, M.D.; Olympico, E.; Shoemaker, J.K.; Rice, C.L. Blood Flow and Muscle Oxygenation during Low, Moderate, and Maximal Sustained Isometric Contractions. Am. J. Physiol.-Regul. Integr. Comp. Physiol. 2015, 309, R475–R481. [Google Scholar] [CrossRef] [PubMed]




| Total | Age (y) | Height (cm) | Body Mass (kg) | Bodyfat (%) | Adipose Tissue Thickness (cm) | Peak Force (kgf) | ||
|---|---|---|---|---|---|---|---|---|
| Males | (n = 15) | Mean ± SD | 23.5 ± 6.6 | 175.2 ± 6.9 | 84.6 ± 16.7 | 20.3 ± 7.5 | 0.4 ± 0.2 | 39.0 ± 7.3 |
| Range | 19–44 | 162.5–190.5 | 53.3–124.4 | 11.2–35.9 | 0.3–1.0 | 22.1–53.6 | ||
| Females | (n = 18) | Mean ± SD | 21.6 ± 1.7 | 165.1 ± 7.3 | 70.6 ± 16.1 | 30.5 ± 3.4 | 0.7 ± 0.2 | 29.8 ± 5.6 |
| Range | 19–26 | 153.7–176.3 | 46.8–107.3 | 19.0–46.1 | 0.3–1.2 | 21.8–41.5 | ||
Disclaimer/Publisher’s Note: The statements, opinions and data contained in all publications are solely those of the individual author(s) and contributor(s) and not of MDPI and/or the editor(s). MDPI and/or the editor(s) disclaim responsibility for any injury to people or property resulting from any ideas, methods, instructions or products referred to in the content. |
© 2025 by the authors. Licensee MDPI, Basel, Switzerland. This article is an open access article distributed under the terms and conditions of the Creative Commons Attribution (CC BY) license (https://creativecommons.org/licenses/by/4.0/).
Share and Cite
Lebron, M.A.; Starling-Smith, J.M.; Hill, E.C.; Stout, J.R.; Fukuda, D.H. Sex-Based Effects on Muscle Oxygenation During Repeated Maximal Intermittent Handgrip Exercise. Sports 2025, 13, 42. https://doi.org/10.3390/sports13020042
Lebron MA, Starling-Smith JM, Hill EC, Stout JR, Fukuda DH. Sex-Based Effects on Muscle Oxygenation During Repeated Maximal Intermittent Handgrip Exercise. Sports. 2025; 13(2):42. https://doi.org/10.3390/sports13020042
Chicago/Turabian StyleLebron, Modesto A., Justine M. Starling-Smith, Ethan C. Hill, Jeffrey R. Stout, and David H. Fukuda. 2025. "Sex-Based Effects on Muscle Oxygenation During Repeated Maximal Intermittent Handgrip Exercise" Sports 13, no. 2: 42. https://doi.org/10.3390/sports13020042
APA StyleLebron, M. A., Starling-Smith, J. M., Hill, E. C., Stout, J. R., & Fukuda, D. H. (2025). Sex-Based Effects on Muscle Oxygenation During Repeated Maximal Intermittent Handgrip Exercise. Sports, 13(2), 42. https://doi.org/10.3390/sports13020042

