Analyzing Injury Patterns in Climbing: A Comprehensive Study of Risk Factors
Highlights
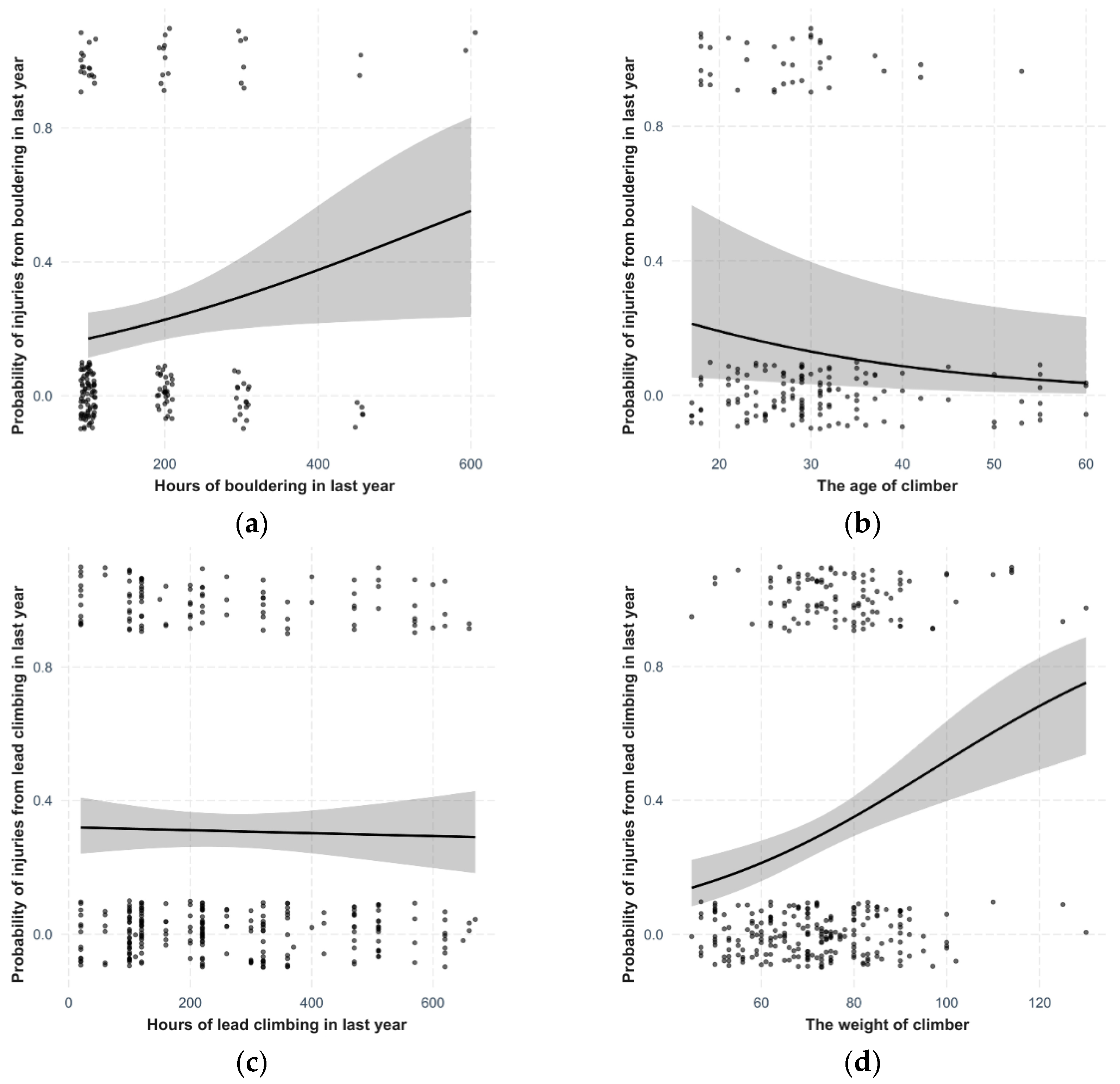
- We identified key injury patterns across different climbing disciplines, showing that time spent on bouldering and lead climbing is associated with higher injury rates, while traditional climbing is linked to fewer injuries.
- Personal characteristics such as sex, age, weight, and BMI were found to have no significant effect on overall injury rates.
- The highest injury rates in bouldering involve the upper extremities, whereas in lead and traditional climbing, a wider array of body parts, including head and lower extremities, are affected.
- These findings can inform the development of discipline-specific injury prevention strategies, particularly emphasizing the need for targeted safety measures in bouldering and lead climbing.
- Insights into injury patterns based on climbing style will aid in improving training protocols, safety equipment, and medical care, promoting safer participation in both indoor and outdoor climbing environments.
Abstract
1. Introduction
2. Materials and Methods
2.1. Study Design
2.2. Statistical Analysis of Data
3. Results
3.1. Overall Injury Incidence in Relation to Climbing Discipline and Climber’s Personal Characteristics
3.2. Overall Injury Severity in Relation to Climbing Discipline and Climber’s Personal Characteristics
3.3. Last Injury in Relation to Climbing Discipline and Climber’s Personal Characteristics
3.4. Phases of Injury Occurrence, Causes of Injury, Intensity of Required Treatment, and Duration of Consequences
3.5. Injured Body Part
4. Discussion
4.1. Injury Incidence and Severity in Relation to Climbing Discipline
4.2. Overall Injury Incidence and Severity and Last Injury Occurrence in Relation to Climber’s Personal Characteristics
4.3. Phases of Injury Occurrence, Causes of Injury, Intensity of Required Treatment, Duration of Consequences
4.4. Injured Body Part
5. Conclusions
Supplementary Materials
Author Contributions
Funding
Institutional Review Board Statement
Informed Consent Statement
Data Availability Statement
Acknowledgments
Conflicts of Interest
References
- Saul, D.; Steinmetz, G.; Lehmann, W.; Schilling, A.F. Determinants for Success in Climbing: A Systematic Review. J. Exerc. Sci. Fit. 2019, 17, 91–100. [Google Scholar] [CrossRef]
- Schöffl, V.; Popp, D.; Küpper, T.; Schöffl, I. Injury Trends in Rock Climbers: Evaluation of a Case Series of 911 Injuries Between 2009 and 2012. Wilderness Environ. Med. 2015, 26, 62–67. [Google Scholar] [CrossRef]
- Killian, R.; Nishimoto, G.; Page, J. Foot and Ankle Injuries Related to Rock Climbing. The Role of Footwear. J. Am. Podiatr. Med. Assoc. 1998, 88, 365–374. [Google Scholar] [CrossRef]
- Woollings, K.Y.; McKay, C.D.; Emery, C.A. Risk Factors for Injury in Sport Climbing and Bouldering: A Systematic Review of the Literature. Br. J. Sports Med. 2015, 49, 1094–1099. [Google Scholar] [CrossRef]
- Chang, C.Y.; Torriani, M.; Huang, A.J. Rock Climbing Injuries: Acute and Chronic Repetitive Trauma. Curr. Probl. Diagn. Radiol. 2016, 45, 205–214. [Google Scholar] [CrossRef]
- Peters, P. Orthopedic Problems in Sport Climbing. Wilderness Environ. Med. 2001, 12, 100–110. [Google Scholar] [CrossRef] [PubMed]
- Forrester, J.D.; Tran, K.; Tennakoon, L.; Staudenmayer, K. Climbing-Related Injury Among Adults in the United States: 5-Year Analysis of the National Emergency Department Sample. Wilderness Environ. Med. 2018, 29, 425–430. [Google Scholar] [CrossRef] [PubMed]
- Why Tokyo 2020 Will Be the Biggest: The Complete List of Sports and Medals on Offer. Available online: https://olympics.com/en/news/how-many-games-sports-tokyo-2020-olympics (accessed on 5 September 2023).
- There’s Nothing Adam Ondra Can’t Climb, but Is an Olympic Medal out of Reach? Available online: https://www.nytimes.com/interactive/2021/sports/olympics/adam-ondra-climbing.html (accessed on 5 September 2023).
- Auer, J.; Schöffl, V.R.; Achenbach, L.; Meffert, R.H.; Fehske, K. Indoor Bouldering—A Prospective Injury Evaluation. Wilderness Environ. Med. 2021, 32, 160–167. [Google Scholar] [CrossRef] [PubMed]
- Josephsen, G.; Shinneman, S.; Tamayo-Sarver, J.; Josephsen, K.; Boulware, D.; Hunt, M.; Pham, H. Injuries in Bouldering: A Prospective Study. WEM 2007, 18, 271–280. [Google Scholar] [CrossRef] [PubMed]
- Wright, D.M. Indoor Rock Climbing: Who Gets Injured? Br. J. Sports Med. 2001, 35, 181–185. [Google Scholar] [CrossRef]
- Paige, T.E.; Fiore, D.C.; Houston, J.D. Injury in Traditional and Sport Rock Climbing. Wilderness Environ. Med. 1998, 9, 2–7. [Google Scholar] [CrossRef]
- Vomáčko, L. Pohled Na Vývoj Hodnocení Výkonu Při Lezení Na Pískovcových Skalách České Křídové Tabule. Stud. Sport. 2019, 12, 180–190. [Google Scholar] [CrossRef]
- Seifert, L.; Wattebled, L.; Herault, R.; Poizat, G.; Adé, D.; Gal-Petitfaux, N.; Davids, K. Neurobiological Degeneracy and Affordance Perception Support Functional Intra-Individual Variability of Inter-Limb Coordination during Ice Climbing. PLoS ONE 2014, 9, e89865. [Google Scholar] [CrossRef]
- Fayed, N.; Modrego, P.J.; Morales, H. Evidence of Brain Damage after High-Altitude Climbing by Means of Magnetic Resonance Imaging. Am. J. Med. 2006, 119, e1–e168. [Google Scholar] [CrossRef]
- Goldfarb-Rumyantzev, A.S.; Alper, S.L. Short-Term Responses of the Kidney to High Altitude in Mountain Climbers. Nephrol. Dial. Transplant. 2014, 29, 497–506. [Google Scholar] [CrossRef] [PubMed]
- Schöffl, V.; Lutter, C. The “Newbie” Syndrome. Wilderness Environ. Med. 2017, 28, 377–380. [Google Scholar] [CrossRef] [PubMed]
- Backe, S.; Ericson, L.; Janson, S.; Timpka, T. Rock Climbing Injury Rates and Associated Risk Factors in a General Climbing Population. Scand. J. Med. Sci. Sports 2009, 19, 850–856. [Google Scholar] [CrossRef] [PubMed]
- Jones, G.; Asghar, A.; Llewellyn, D.J. The Epidemiology of Rock-Climbing Injuries. Br. J. Sports Med. 2008, 42, 773–778. [Google Scholar] [CrossRef] [PubMed]
- Schöffl, V.; Burtscher, E.; Coscia, F. Injuries and medical incidences during the IFSC 2012 climbing world cup series. Med. Sport. 2013, 17, 168–170. [Google Scholar]
- Schussman, L.C.; Lutz, L.J.; Shaw, R.R.; Bohnn, C.R. The Epidemiology of Mountaineering and Rock Climbing Accidents. J. Wilderness Med. 1990, 1, 235–248. [Google Scholar] [CrossRef]
- Lucie, B. Úrazy v Horolezectví. 2014. Available online: https://www.horosvaz.cz/res/archive/085/013798.pdf?seek=1415177024 (accessed on 23 January 2024).
- Rauch, S.; Wallner, B.; Ströhle, M.; Dal Cappello, T.; Brodmann Maeder, M. Climbing Accidents—Prospective Data Analysis from the International Alpine Trauma Registry and Systematic Review of the Literature. Int. J. Environ. Res. Public Health 2019, 17, 203. [Google Scholar] [CrossRef] [PubMed]
- Schweizer, A. Lumbrical Tears in Rock Climbers. J. Hand Surg. 2003, 28, 187–189. [Google Scholar] [CrossRef] [PubMed]
- Cobos-Moreno, P.; Astasio-Picado, Á.; Gómez-Martín, B. Epidemiological Study of Foot Injuries in the Practice of Sport Climbing. Int. J. Environ. Res. Public Health 2022, 19, 4302. [Google Scholar] [CrossRef] [PubMed]
- Lutter, C.; Tischer, T.; Cooper, C.; Frank, L.; Hotfiel, T.; Lenz, R.; Schöffl, V. Mechanisms of Acute Knee Injuries in Bouldering and Rock Climbing Athletes. Am. J. Sports Med. 2020, 48, 730–738. [Google Scholar] [CrossRef] [PubMed]
- McDonald, J.W.; Henrie, A.M.; Teramoto, M.; Medina, E.; Willick, S.E. Descriptive Epidemiology, Medical Evaluation, and Outcomes of Rock Climbing Injuries. Wilderness Environ. Med. 2017, 28, 185–196. [Google Scholar] [CrossRef] [PubMed]
- Schöffl, V.R.; Hoffmann, G.; Küpper, T. Acute Injury Risk and Severity in Indoor Climbing—A Prospective Analysis of 515,337 Indoor Climbing Wall Visits in 5 Years. Wilderness Environ. Med. 2013, 24, 187–194. [Google Scholar] [CrossRef] [PubMed]
- Grønhaug, G. Self-Reported Chronic Injuries in Climbing: Who Gets Injured When? BMJ Open Sport Exerc. Med. 2018, 4, e000406. [Google Scholar] [CrossRef] [PubMed]
- Schubert, P. Sicherheit und Risiko in Fels und Eis. Band 1; Bergverlag Rother: München, Germany, 2019. [Google Scholar]
- Wyatt, J.P.; McNaughton, G.W.; Grant, P.T. A Prospective Study of Rock Climbing Injuries. Br. J. Sports Med. 1996, 30, 148–150. [Google Scholar] [CrossRef][Green Version]
- Schöffl, V. Rock and Ice-Climbing Medicine. In Extreme Sports Medicine; Feletti, F., Ed.; Springer International Publishing: Cham, Switzerland, 2017; pp. 109–121. [Google Scholar] [CrossRef]
- Woollings, K.Y.; McKay, C.D.; Kang, J.; Meeuwisse, W.H.; Emery, C.A. Incidence, Mechanism and Risk Factors for Injury in Youth Rock Climbers. Br. J. Sports Med. 2015, 49, 44–50. [Google Scholar] [CrossRef]
- Schöffl, V.; Morrison, A.; Hefti, U.; Ullrich, S.; Küpper, T. The UIAA Medical Commission Injury Classification for Mountaineering and Climbing Sports. Wilderness Environ. Med. 2011, 22, 46–51. [Google Scholar] [CrossRef]
- Fuller, C.W. Consensus Statement on Injury Definitions and Data Collection Procedures in Studies of Football (Soccer) Injuries. Br. J. Sports Med. 2006, 40, 193–201. [Google Scholar] [CrossRef]
- Rae, K.; Orchard, J. The Orchard Sports Injury Classification System (OSICS) Version 10. Clin. J. Sport Med. 2007, 17, 201–204. [Google Scholar] [CrossRef] [PubMed]
- R Core Team. R: A Language and Environment for Statistical Computing. 2022. Available online: www.R-project.org (accessed on 20 December 2023).
- Bates, D.; Mächler, M.; Bolker, B.; Walker, S. Fitting Linear Mixed-Effects Models Using Lme4. J. Stat. Softw. 2015, 67, 1–48. [Google Scholar] [CrossRef]
- Fox, J.; Weisberg, S. An R Companion to Applied Regression, 3rd ed.; SAGE: Los Angeles, CA, USA, 2019; p. 449. [Google Scholar]
- Hothorn, T.; Hornik, K.; Wiel, M.A.V.D.; Zeileis, A. Implementing a Class of Permutation Tests: The Coin Package. J. Stat. Softw. 2008, 28, 1–23. [Google Scholar] [CrossRef]
- Ter Braak, C.J.F.; Šmilauer, P. Canoco Reference Manual and User’s Guide: Software for Ordination, Version 5.01; Microcomputer Power: Ithaca, NY, USA, 2012. [Google Scholar]
- Long, J. Analysis and Presentation of Social Scientific Data_. R Package Version 2.2.0. 2022. Available online: https://cran.r-project.org/package=jtools (accessed on 20 December 2023).
- Wickham, H. Ggplot2: Elegant Graphics for Data Analysis; Use R! Springer International Publishing: Cham, Switzerland, 2016; p. 260. [Google Scholar] [CrossRef]
- Van Middelkoop, M.; Bruens, M.; Coert, J.; Selles, R.; Verhagen, E.; Bierma-Zeinstra, S.M.; Koes, B. Incidence and Risk Factors for Upper Extremity Climbing Injuries in Indoor Climbers. Int. J. Sports Med. 2015, 36, 837–842. [Google Scholar] [CrossRef]
- Michael, D. Rooks. Rock Climbing Injuries. Sports Med. 1997, 1997, 261–270. [Google Scholar]
- Sylvester, A.D.; Christensen, A.M.; Kramer, P.A. Factors Influencing Osteological Changes in the Hands and Fingers of Rock Climbers. J. Anat. 2006, 209, 597–609. [Google Scholar] [CrossRef] [PubMed]
- Lhee, S.-H.; Jain, R.; Madathur Sadasivam, M.; Kim, S.; Bae, M.; Yu, J.; Lee, D.Y. Sports Injury and Illness Incidence among South Korean Elite Athletes in the 2018 Asian Games: A Single-Physician Prospective Study of 782 Athletes. BMJ Open Sport Exerc. Med. 2021, 7, e000689. [Google Scholar] [CrossRef]
- Luiggi, M.; Lafaye, P.; Martha, C. Epidemiology of Sport Climbing Injuries Caused by a Climbing Fall among Climbers of the French Federation of Mountain and Climbing. J. Sports Med. Phys. Fitness 2023, 63, 452–460. [Google Scholar] [CrossRef]
- Gerdes, E.M.; Hafner, J.W.; Aldag, J.C. Injury Patterns and Safety Practices of Rock Climbers. J. Trauma Inj. Infect. Crit. Care 2006, 61, 1517–1525. [Google Scholar] [CrossRef]
- Gabl, M.; Kaiser, P.; Benedikt, S.; Schmidle, G.; Haselbacher, M.; Arora, R. Risk profiles in two different alpine rock climbing styles. Sportverletz.·Sportschaden 2022, 36, 145–154. [Google Scholar] [CrossRef]
- Burtscher, M. Endurance Performance of the Elderly Mountaineer: Requirements, Limitations, Testing, and Training. Wien. Klin. Wochenschr. 2004, 116, 703–714. [Google Scholar] [CrossRef]
- Lutter, C.; Hotfiel, T.; Tischer, T.; Lenz, R.; Schöffl, V. Evaluation of Rock Climbing Related Injuries in Older Athletes. Wilderness Environ. Med. 2019, 30, 362–368. [Google Scholar] [CrossRef]
- Schöffl, V.; Lutter, C.; Woollings, K.; Schöffl, I. Pediatric and Adolescent Injury in Rock Climbing. Res. Sports Med. 2018, 26 (Suppl. S1), 91–113. [Google Scholar] [CrossRef] [PubMed]
- Yoon, J.H.; Armstrong, W.; Philippopolous, E.; Dilworth, N.; Cheng, I. Head Injuries in Rock Climbing: A Scoping Review. Wilderness Environ. Med. 2022, 33, 479–487. [Google Scholar] [CrossRef] [PubMed]
- Schöffl, V. Feet Injuries in Rock Climbers. World J. Orthop. 2013, 4, 218. [Google Scholar] [CrossRef] [PubMed]
- McHenry, R.D.; Arnold, G.P.; Wang, W.; Abboud, R.J. Footwear in Rock Climbing: Current Practice. Foot 2015, 25, 152–158. [Google Scholar] [CrossRef]
- Yang, Y.-R.; Mi, P.-L.; Huang, S.-F.; Chiu, S.-L.; Liu, Y.-C.; Wang, R.-Y. Effects of Neuromuscular Electrical Stimulation on Gait Performance in Chronic Stroke with Inadequate Ankle Control—A Randomized Controlled Trial. PLoS ONE 2018, 13, e0208609. [Google Scholar] [CrossRef] [PubMed]
- Hawrylak, A.; Chromik, K.; Ratajczak, B.; Pawelec, K.B.; Włodarczyk, E.D. Spinal Range of Motion and Plantar Pressure in Sport Climbers. Acta Bioeng. Biomech. 2017, 19, 169–173. [Google Scholar] [CrossRef]
- Buda, R.; Di Caprio, F.D.; Bedetti, L.; Mosca, M.; Giannini, S. Foot Overuse Diseases in Rock Climbing: An Epidemiologic Study. J. Am. Podiatr. Med. Assoc. 2013, 103, 113–120. [Google Scholar] [CrossRef]
- Hillebrandt, D.; Gurtoo, A.; Kupper, T.; Richards, P.; Schöffl, V.; Shah, P.; Van Der Spek, R.; Wallis, N.; Milledge, J. UIAA Medical Commission Recommendations for Mountaineers, Hillwalkers, Trekkers, and Rock and Ice Climbers with Diabetes. High Alt. Med. Biol. 2023, 24, 110–126. [Google Scholar] [CrossRef] [PubMed]
- Giannini, S.; Cadossi, M.; Mazzotti, A.; Ramponi, L.; Belvedere, C.; Leardini, A. Custom-Made Total Talonavicular Replacement in a Professional Rock Climber. J. Foot Ankle Surg. 2016, 55, 1271–1275. [Google Scholar] [CrossRef] [PubMed]
- Bernard, M.; Martin, M.J.; Corsa, J.; Robinson, B.; Zeeshan, M.; Joseph, B.; Morris, D.; Shillinglaw, W.; Schurr, M.; Smith, T.; et al. Into the Wild and on to the Table: A Western Trauma Association Multicenter Analysis and Comparison of Wilderness Falls in Rock Climbers and Nonclimbers. J. Trauma Acute Care Surg. 2020, 89, 570–575. [Google Scholar] [CrossRef] [PubMed]
- Williams, B.; Hudson, M.B.; Evans, T.A. Recognition and Prevention of Injuries in Recreational Rock Climbers. J. Phys. Educ. Recreat. Dance 2003, 74, 29–32. [Google Scholar] [CrossRef]
- Rohrbough, J.T.; Mudge, M.K.; Schilling, R.C. Overuse Injuries in the Elite Rock Climber. Med. Sci. Sports Exerc. 2000, 32, 1369–1372. [Google Scholar] [CrossRef] [PubMed]
- Schweizer, A. Sport Climbing from a Medical Point of View. Swiss Med. Wkly. 2012, 142, w13688. [Google Scholar] [CrossRef]
- Schöffl, V.; Hochholzer, T.; Schöffl, I. Extensor Hood Syndrome—Osteophytic Irritation of Digital Extensor Tendons in Rock Climbers. Wilderness Environ. Med. 2010, 21, 253–256. [Google Scholar] [CrossRef]
- Mugleston, B.; McMullen, C. Musculoskeletal Injuries in Climbers. Curr. Phys. Med. Rehabil. Rep. 2019, 7, 179–185. [Google Scholar] [CrossRef]






| Body Part | Letter: | Body Part | Letter: |
|---|---|---|---|
| Head/Face | H | Abdomen | O |
| Neck/Cervical spine | N | Lower back/pelvis/sacrum | B, L |
| Shoulder/Clavicle | S | Hip/groin | G |
| Upper arm | U | Thigh | T |
| Elbow | E | Knee | K |
| Forearm | R | Lower leg/Achilles tendon | Q, A |
| Wrist | W | Ankle | A |
| Hand/finger/thumb | P | Foot/toe | F |
| Sternum/ribs/upper back | C, D |
Disclaimer/Publisher’s Note: The statements, opinions and data contained in all publications are solely those of the individual author(s) and contributor(s) and not of MDPI and/or the editor(s). MDPI and/or the editor(s) disclaim responsibility for any injury to people or property resulting from any ideas, methods, instructions or products referred to in the content. |
© 2024 by the authors. Licensee MDPI, Basel, Switzerland. This article is an open access article distributed under the terms and conditions of the Creative Commons Attribution (CC BY) license (https://creativecommons.org/licenses/by/4.0/).
Share and Cite
Kovářová, M.; Pyszko, P.; Kikalová, K. Analyzing Injury Patterns in Climbing: A Comprehensive Study of Risk Factors. Sports 2024, 12, 61. https://doi.org/10.3390/sports12020061
Kovářová M, Pyszko P, Kikalová K. Analyzing Injury Patterns in Climbing: A Comprehensive Study of Risk Factors. Sports. 2024; 12(2):61. https://doi.org/10.3390/sports12020061
Chicago/Turabian StyleKovářová, Markéta, Petr Pyszko, and Kateřina Kikalová. 2024. "Analyzing Injury Patterns in Climbing: A Comprehensive Study of Risk Factors" Sports 12, no. 2: 61. https://doi.org/10.3390/sports12020061
APA StyleKovářová, M., Pyszko, P., & Kikalová, K. (2024). Analyzing Injury Patterns in Climbing: A Comprehensive Study of Risk Factors. Sports, 12(2), 61. https://doi.org/10.3390/sports12020061

