Integrating Trissolcus japonicus (Ashmead, 1904) (Hymenoptera: Scelionidae) into Management Programs for Halyomorpha halys (Stål, 1855) (Hemiptera: Pentatomidae) in Apple Orchards: Impact of Insecticide Applications and Spray Patterns
Abstract
Simple Summary
Abstract
1. Introduction
2. Materials and Methods
2.1. Field Plots
2.2. Halyomorpha Halys Colony
2.3. Trissolcus Japonicus Colony
2.4. Egg Mass Deployment
2.5. Insecticide Applications
2.6. Statistical Analyses
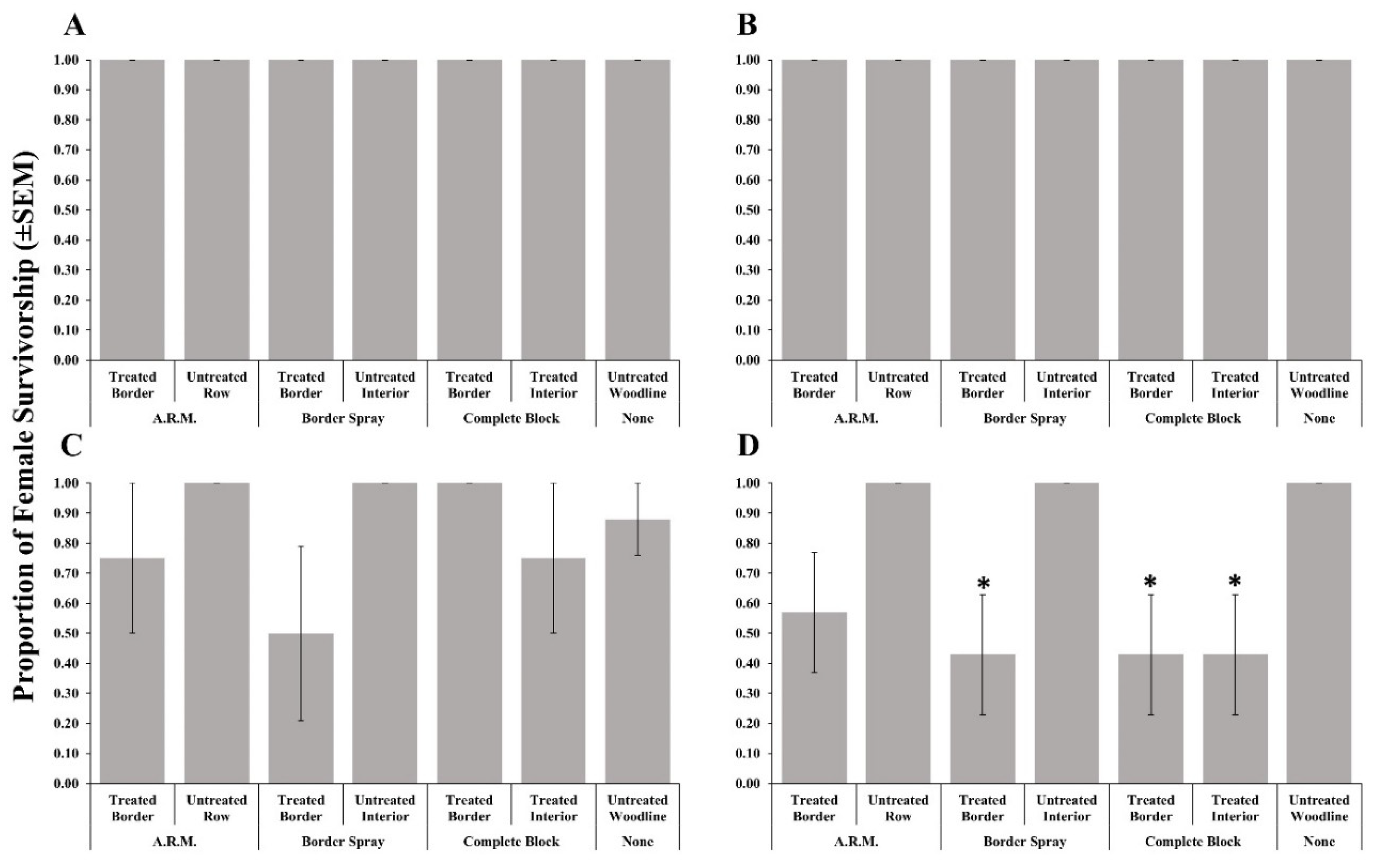
3. Results
3.1. 2018
3.2. 2019
4. Discussion
5. Conclusions
- Identified that the insecticide bifenthrin had consistent negative impacts on Trissolcus japonicus.
- Insecticide applicationss did not significantly impair Trissolcus japonicus emergence from egg masses parasitized prior to spray applications.
- Management of Halyomorpha halys in apple orchards is amenable to adjustments that support the incorporation of Trissolcus japonicus. These data on combining insecticides and biological control agents may aid in the reduction of Halyomorpha halys populations across orchard agroecosystems.
Author Contributions
Funding
Acknowledgments
Conflicts of Interest
References
- Hoebeke, E.R.; Carter, M.E. Halyomorpha halys (Stǻl) (Heteroptera: Pentatomidae): A polyphagous plant pest from Asia newly detected in North America. Proc. Entomol. Soc. Wash. 2003, 105, 225–237. [Google Scholar]
- Leskey, T.C.; Nielsen, A.L. Impact of the Invasive Brown Marmorated Stink Bug in North America and Europe: History, Biology, Ecology, and Management. Annu. Rev. Entomol. 2018, 63, 599–618. [Google Scholar] [CrossRef] [PubMed]
- Inkley, D.B. Characteristics of home invasion by the irown marmorated stink bug (Hemiptera: Pentatomidae). J. Entomol. Sci. 2012, 47, 125–130. [Google Scholar] [CrossRef]
- Hahn, N.G.; Kaufman, A.J.; Rodriguez-Saona, C.R.; Nielsen, A.L.; Laforest, J.; Hamilton, G.C. Exploring the spread of brown marmorated stink bug in New Jersey through the use of crowdsourced reports. Am. Entomol. 2016, 62, 36–45. [Google Scholar] [CrossRef]
- Hancock, T.J.; Lee, D.-H.; Bergh, J.C.; Morrison, W.R.; Leskey, T.C. Presence of the invasive brown marmorated stink bug Halyomorpha halys (Stål) (Hemiptera: Pentatomidae) on home exteriors during the autumn dispersal period: Results generated by citizen scientists. Agric. For. Entomol. 2019, 21, 99–108. [Google Scholar] [CrossRef]
- Cullum, J.P.; Nixon, L.J.; Iii, W.R.M.; Raupp, M.J.; Shrewsbury, P.M.; Venugopal, P.D.; Martinson, H.; Bergh, J.C.; Leskey, T.C. Influence of landscape factors and abiotic conditions on dispersal behavior and overwintering site selection by Halyomorpha halys (Hemiptera: Pentatomidae). J. Econ. Entomol. 2020, 113, 2016–2021. [Google Scholar] [CrossRef]
- Haye, T.; Gariepy, T.; Hoelmer, K.A.; Rossi, J.-P.; Streito, J.-C.; Tassus, X.; Desneux, N. Range expansion of the invasive brown marmorated stinkbug, Halyomorpha halys: An increasing threat to field, fruit and vegetable crops worldwide. J. Pest Sci. 2015, 88, 665–673. [Google Scholar] [CrossRef]
- Kriticos, D.J.; Kean, J.M.; Phillips, C.B.; Senay, S.D.; Acosta, H.; Haye, T. The potential global distribution of the brown marmorated stink bug, Halyomorpha halys, a critical threat to plant biosecurity. J. Pest Sci. 2017, 90, 1033–1043. [Google Scholar] [CrossRef]
- Faúndez, E.I.; Rider, D.A. The brown marmorated stink bug Halyomorpha halys (Stål, 1855) (Heteroptera: Pentatomidae) in Chile. Arq. Entomolóxicos 2017, 17, 305–307. [Google Scholar]
- Hamilton, G.C.; Ahn, J.J.; Bu, W.; Leskey, T.C.; Nielsen, A.L.; Park, Y.-L.; Rabitsch, W.; Hoelmer, K.A. Halyomorpha halys (Stål). Invasive Stink Bugs and Related Species (Pentatomoidea): Biology, Higher Systematics, Semiochemistry, and Management, 1st ed.; McPherson, J.E., Ed.; CRC Press: Boca Raton, FL, USA, 2018; pp. 243–292. [Google Scholar]
- Abram, P.K.; Hoelmer, K.A.; Acebes-Doria, A.; Andrews, H.; Beers, E.H.; Bergh, J.C.; Bessin, R.; Biddinger, D.; Botch, P.; Buffington, M.L.; et al. Indigenous arthropod natural enemies of the invasive brown marmorated stink bug in North America and Europe. J. Pest Sci. 2017, 90, 1009–1020. [Google Scholar] [CrossRef][Green Version]
- Yang, Z.-Q.; Yao, Y.-X.; Qiu, L.-F.; Li, Z.-X. A new species of Trissolcus (Hymenoptera: Scelionidae) parasitizing eggs of Halyomorpha halys (Heteroptera: Pentatomidae) in China with comments on its biology. Ann. Entomol. Soc. Am. 2009, 102, 39–47. [Google Scholar] [CrossRef]
- Buffington, M.L.; Talamas, E.J.; Hoelmer, K.A. Team Trissolcus: Integrating taxonomy and biological control to combat the brown marmorated stink bug. Am. Entomol. 2018, 64, 224–232. [Google Scholar] [CrossRef]
- Abram, P.K.; Mills, N.J.; Beers, E.H. Review: Classical biological control of invasive stink bugs with egg parasitoids—what does success look like? Pest Manag. Sci. 2020, 76, 1980–1992. [Google Scholar] [CrossRef]
- Lara, J.; Pickett, C.; Ingels, C.; Haviland, D.R.; Grafton-Cardwell, E.; Doll, D.; Bethke, J.; Faber, B.; Dara, S.K.; Hoddle, M. Biological control program is being developed for brown marmorated stink bug. Calif. Agric. 2016, 70, 15–23. [Google Scholar] [CrossRef]
- Hedstrom, C.; Lowenstein, D.; Andrews, H.; Bai, B.; Wiman, N. Pentatomid host suitability and the discovery of introduced populations of Trissolcus japonicus in Oregon. J. Pest Sci. 2017, 90, 1169–1179. [Google Scholar] [CrossRef]
- Talamas, E.J.; Herlihy, M.V.; Dieckhoff, C.; Hoelmer, K.A.; Buffington, M.; Bon, M.-C.; Weber, D.C. Trissolcus japonicus (Ashmead) (Hymenoptera, Scelionidae) emerges in North America. J. Hymenop. Res. 2015, 43, 119–128. [Google Scholar] [CrossRef]
- Milnes, J.M.; Wiman, N.G.; Talamas, E.J.; Brunner, J.F.; Hoelmer, K.A.; Buffington, M.L.; Beers, E.H. Discovery of an exotic egg parasitoid of the brown marmorated stink bug, Halyomorpha halys (Stål) in the Pacific Northwest. Proc. Entomol. Soc. Wash. 2016, 118, 466–470. [Google Scholar] [CrossRef]
- Jentsch, P. Expanding the range of the samurai wasp, Trissolcus japonicus, in New York orchards. N. Y. Fruit Q. 2017, 4, 31–36. [Google Scholar]
- Kaser, J.M.; Akotsen-Mensah, C.; Talamas, E.J.; Nielsen, A.L. First report of Trissolcus japonicus parasitizing Halyomorpha halys in North American Agriculture. Fla. Entomol. 2018, 101, 680–684. [Google Scholar] [CrossRef]
- Morrison, W.R.; Blaauw, B.R.; Nielsen, A.L.; Talamas, E.; Leskey, T.C. Predation and parasitism by native and exotic natural enemies of Halyomorpha halys (Stål) (Hemiptera: Pentatomidae) eggs augmented with semiochemicals and differing host stimuli. Biol. Control 2018, 121, 140–150. [Google Scholar] [CrossRef]
- Jarrett, B.J.; Pote, J.; Talamas, E.; Gut, L.; Szucs, M. The discovery of Trissolcus japonicus (Hymenoptera; Scelionidae) in Michigan. Great Lakes Entomol. 2019, 52, 1–10. [Google Scholar]
- Management of Brown Marmorated Stink Bug in US Specialty Crops. Available online: http://www.stopbmsb.org/index.cfm (accessed on 12 October 2020).
- Walgenbach, J. Management of Brown Marmorated Stink Bug in US Specialty Crops. 2018 Annual Report. Available online: https://www.stopbmsb.org/stopBMSB/assets/File/BMSB-SCRI-Annual-Report-2018.pdf (accessed on 30 March 2020).
- Stahl, J.M.; Tortorici, F.; Pontini, M.; Bon, M.-C.; Hoelmer, K.; Marazzi, C.; Tavella, L.; Haye, T. First discovery of adventive populations of Trissolcus japonicus in Europe. J. Pest Sci. 2019, 92, 371–379. [Google Scholar] [CrossRef]
- Leskey, T.C.; Short, B.D.; Butler, B.R.; Wright, S.E. Impact of the invasive brown marmorated stink bug, Halyomorpha halys (Stål), in Mid-Atlantic tree fruit orchards in the United States: Case studies of commercial management. Psyche 2012, 2012, 1–14. [Google Scholar] [CrossRef]
- Leskey, T.C.; Lee, O.-H.; Short, B.D.; Wright, S.E. Impact of insecticides on the invasive Halyomorpha halys (Hemiptera: Pentatomidae): Analysis of insecticide lethality. J. Econ. Entomol. 2012, 105, 1726–1735. [Google Scholar] [CrossRef] [PubMed]
- Akotsen-Mensah, C.; Blaauw, B.; Short, B.; Leskey, T.C.; Bergh, J.C.; Polk, D.; Nielsen, A.L. Using IPM-CPR as a management program for apple orchards. J. Econ. Entomol. 2020, 113, 1894–1902. [Google Scholar] [CrossRef] [PubMed]
- Leskey, T.C.; Short, B.D.; Ludwick, D. Comparison and refinement of integrated pest management tactics for Halyomorpha halys (Hemiptera: Pentatomidae) Management in Apple Orchards. J. Econ. Entomol. 2020, 113, 1725–1734. [Google Scholar] [CrossRef]
- Spray Bulletin for Commercial Tree Fruit Growers. 2019. Available online: https://www.virginiafruit.ento.vt.edu/SprayGuide/TreeFruitSprays.html (accessed on 21 August 2020).
- Ludwick, D.C.; Leake, L.B.; Morrison III, W.R.; Lara, J.R.; Hoddle, M.S.; Talamas, E.J.; Leskey, T.C. Influence of holding conditions and storage duration of Halyomorpha halys (Stål) eggs on adventive and quarantine populations of Trissolcus japonicus (Ashmead) behavior and parasitism success. Environ. Entomol. in press.
- Leskey, T.C.; Hamilton, G.; Nielsen, A.L.; Polk, D.; Rodriguez-Saona, C.R.; Bergh, J.C.; Herbert, D.A.; Kuhar, T.P.; Pfeiffer, D.; Dively, G.; et al. Pest status of the brown marmorated stink bug, Halyomorpha Halys in the USA. Outlooks Pest Manag. 2012, 23, 218–226. [Google Scholar] [CrossRef]
- Kuhar, T.P.; Kamminga, K. Review of chemical control research on Halyomorpha halys. J. Pest Sci. 2017, 90, 1021–1031. [Google Scholar] [CrossRef]
- Ludwick, D.; Iii, W.R.M.; Acebes-Doria, A.L.; Agnello, A.M.; Bergh, J.C.; Buffington, M.L.; Hamilton, G.C.; Harper, J.K.; Hoelmer, K.A.; Krawczyk, G.; et al. Invasion of the Brown Marmorated Stink Bug (Hemiptera: Pentatomidae) into the United States: Developing a National Response to an Invasive Species Crisis Through Collaborative Research and Outreach Efforts. J. Integr. Pest Manag. 2020, 11. [Google Scholar] [CrossRef]
- Morrison, W.R.; Blaauw, B.R.; Short, B.D.; Nielsen, A.L.; Bergh, J.C.; Krawczyk, G.; Park, Y.-L.; Butler, B.; Khrimian, A.; Leskey, T.C. Successful management of Halyomorpha halys (Hemiptera: Pentatomidae) in commercial apple orchards with an attract-and-kill strategy. Pest Manag. Sci. 2019, 75, 104–114. [Google Scholar] [CrossRef] [PubMed]
- Blaauw, B.R.; Polk, D.; Nielsen, A.L. IPM-CPR for peaches: Incorporating behaviorally-based methods to manage Halyomorpha halysand key pests in peach. Pest Manag. Sci. 2015, 71, 1513–1522. [Google Scholar] [CrossRef] [PubMed]
- Short, B.D.; Khrimian, A.; Leskey, T.C. Pheromone-based decision support tools for management of Halyomorpha halys in apple orchards: Development of a trap-based treatment threshold. J. Pest Sci. 2017, 90, 1191–1204. [Google Scholar] [CrossRef]
- Orr, D.B.; Boethel, D.J.; Layton, M.B. Effect of insecticide applications in soybeans on Trissolcus basalis (Hymenoptera: Scelionidae). J. Econ. Entomol. 1989, 82, 1078–1084. [Google Scholar] [CrossRef]
- Hewa-Kapuge, S.; McDougall, S.; Hoffmann, A.A. Effects of methoxyfenozide, indoxacarb, and other insecticides on the beneficial egg parasitoid Trichogramma nr. brassicae (Hymenoptera; Trichogrammatidae) under laboratory and field conditions. J. Econ. Entomol. 2003, 96, 1083–1090. [Google Scholar] [CrossRef]
- Turchen, L.M.; Golin, V.; Butnariu, A.R.; Guedes, R.N.C.; Pereira, M.J.B. Lethal and sublethal effects of insecticides on the egg earasitoid Telenomus podisi (Hymenoptera: Platygastridae). J. Econ. Entomol. 2016, 109, 84–92. [Google Scholar] [CrossRef]
- Lowenstein, D.M.; Andrews, H.; Mugica, A.; Wiman, N.G. Sensitivity of the egg parasitoid Trissolcus japonicus (Hymenoptera: Scelionidae) to field and laboratory-applied insecticide residue. J. Econ. Entomol. 2019, 112, 2077–2084. [Google Scholar] [CrossRef]
- Leskey, T.C.; Short, B.D.; Lee, D.-H. Efficacy of insecticide residues on adult Halyomorpha halys (Stål) (Hemiptera: Pentatomidae) mortality and injury in apple and peach orchards. Pest Manag. Sci. 2014, 70, 1097–1104. [Google Scholar] [CrossRef]
- Lim, U.T.; Mahmoud, A.M. Ecotoxicological effect of fenitrothion on Trissolcus nigripedius (Hymenoptera: Scelionidae) an egg parasitoid of Dolycoris baccarum (Hemiptera: Pentatomidae). J. Asia Pac. Entomol. 2008, 11, 207–210. [Google Scholar] [CrossRef]
- Bayram, A.; Salerno, G.; Onofri, A.; Conti, E. Lethal and sublethal effects of preimaginal treatments with two pyrethroids on the life history of the egg parasitoid Telenomus busseolae. BioControl 2010, 55, 697–710. [Google Scholar] [CrossRef]
- Herlihy, M.V.; Talamas, E.J.; Weber, D.C. Attack and success of native and exotic parasitoids on eggs of Halyomorpha halys in three Maryland habitats. PLoS ONE 2016, 11, e0150275. [Google Scholar] [CrossRef] [PubMed]


| Spray Pattern | Cultivar | Plant Date | Area (ha) | Tree Spacing (m × m) |
|---|---|---|---|---|
| Border row | Granny Smith, Royal Empire, Standard Delicious, Golden Delicious, Goldspur, Spur Red | 2008 | 0.11 | 4.9 × 4.9 |
| Alternate row middle | Gala | 1998 | 0.15 | 1.5 × 5.5 |
| complete block | Ida Red | 2006 | 0.06 | 2.4 × 4.9 |
| Year | Variable | Insecticide | Num. D.F. | Den. D.F. | F-Value | p > F |
|---|---|---|---|---|---|---|
| 2018 | Female survivorship | Clothianidin | 2 | 34 | 2.30 | 0.1159 |
| Bifenthrin | 2 | 42 | 19.29 | <0.0001 | ||
| Post-treatment parasitism emergence | Clothianidin | 2 | 33 | 0.76 | 0.4766 | |
| Bifenthrin | 2 | 43 | 10.95 | 0.0001 | ||
| 7 day parasitized pre-treatment emergence | Clothianidin | 2 | 44 | 1.05 | 0.3575 | |
| Bifenthrin | 2 | 31 | 1.23 | 0.3062 | ||
| 2019 | Female survivorship | Methomyl | 6 | 45 | . | . |
| Thiamethoxam + λ-cyhalothrin | 6 | 49 | . | . | ||
| Clothianidin | 6 | 25 | 1.39 | 0.2578 | ||
| Bifenthrin | 6 | 46 | 4.36 | 0.0015 | ||
| Post-treatment parasitism emergence | Methomyl | 6 | 46 | 2.97 | 0.0156 | |
| Thiamethoxam + λ-cyhalothrin | 6 | 49 | 5.73 | 0.0001 | ||
| Clothianidin | 6 | 44 | 0.79 | 0.5860 | ||
| Bifenthrin | 6 | 48 | 3.63 | 0.0047 | ||
| 2 day parasitized pre-treatment emergence | Methomyl | 6 | 37 | 1.15 | 0.3511 | |
| Thiamethoxam + λ-cyhalothrin | 6 | 40 | 1.06 | 0.3998 | ||
| Clothianidin | 6 | 39 | 1.08 | 0.3883 | ||
| Bifenthrin | 6 | 40 | 0.49 | 0.8132 | ||
| 7 day parasitized pre-treatment emergence | Methomyl | 6 | 36 | 1.76 | 0.1348 | |
| Thiamethoxam + λ-cyhalothrin | 6 | 41 | 1.67 | 0.1528 | ||
| Clothianidin | 6 | 36 | 2.24 | 0.0617 | ||
| Bifenthrin | 6 | 40 | 0.36 | 0.9014 |
| Location | Post-Treatment Parasitized | 7 Day Parasitized Pre-Treatment |
|---|---|---|
| Treated border | 0.33 ± 0.10 (12) | 0.81 ± 0.09 (16) |
| Untreated interior | 0.56 ± 0.11 (13) | 0.90 ± 0.06 (16) |
| Untreated woodline | 0.50 ± 0.12 (11) | 0.62 ± 0.10 (16) |
| Location | Post-Treatment Parasitized | 7 Day Parasitized Pre-Treatment |
|---|---|---|
| Treated border | 0.15 ± 0.09 (15) * | 0.70 ± 0.11 (11) |
| Untreated interior | 0.66 ± 0.09 (15) | 0.55 ± 0.10 (12) |
| Untreated woodline | 0.64 ± 0.09 (16) | 0.78 ± 0.08 (12) |
| Spray Pattern | Location | Post-Treatment Parasitized | 2 Day Parasitized Pre-Treatment | 7 Day Parasitized Pre-Treatment |
|---|---|---|---|---|
| A.R.M. | Treated border | 0.78 ± 0.06 (8) | 0.36 ± 0.16 (3) | 0.29 ± 0.18 (3) |
| Untreated row | 0.75 ± 0.11 (9) | 0.76 ± 0.10 (7) | 0.57 ± 0.15 (7) | |
| Border spray | Treated border | 0.94 ± 0.03 (7) | 0.37 ± 0.23 (3) | 0.03 ± 0.01 (3) |
| Untreated interior | 0.69 ± 0.10 (7) | 0.54 ± 0.16 (7) | 0.61 ± 0.14 (7) | |
| Complete block | Treated border | 0.32 ± 0.14 (5) * | 0.69 ± 0.16 (3) | 0.15 ± 0.14 (3) |
| Treated interior | 0.60 ± 0.11 (7) | 0.67 ± 0.15 (7) | 0.39 ± 0.13 (7) | |
| N/A | Untreated woodline | 0.75 ± 0.09 (14) | 0.74 ± 0.08 (14) | 0.51 ± 0.09 (14) |
| Spray Pattern | Location | Post-Treatment Parasitized | 2 Day Parasitized Pre-Treatment | 7 Day Parasitized Pre-Treatment |
|---|---|---|---|---|
| A.R.M. | Treated border | 0.36 ± 0.14 (7) | 0.10 ± 0.05 (6) | 0.54 ± 0.11 (6) |
| Untreated row | 0.26 ± 0.12 (7) * | 0.49 ± 0.11 (6) | 0.55 ± 0.17 (6) | |
| Border spray | Treated border | 0.21 ± 0.04 (7) * | 0.40 ± 0.18 (6) | 0.26 ± 0.15 (6) |
| Untreated interior | 0.31 ± 0.13 (7) * | 0.45 ± 0.14 (6) | 0.51 ± 0.14 (6) | |
| Complete block | Treated border | 0.16 ± 0.10 (7) * | 0.23 ± 0.14 (6) | 0.47 ± 0.13 (6) |
| Treated interior | 0.03 ± 0.02 (7) * | 0.30 ± 0.15 (6) | 0.12 ± 0.08 (6) | |
| N/A | Untreated woodline | 0.73 ± 0.09 (14) | 0.27 ± 0.10 (12) | 0.44 ± 0.08 (12) |
| Spray Pattern | Location | Post-Treatment Parasitized | 2 Day Parasitized Pre-Treatment | 7 Day Parasitized Pre-Treatment |
|---|---|---|---|---|
| A.R.M. | Treated border | 0.36 ± 0.13 (7) | 0.59 ± 0.05 (6) | 0.47 ± 0.16 (6) |
| Untreated row | 0.65 ± 0.06 (7) | 0.71 ± 0.15 (6) | 0.60 ± 0.14 (6) | |
| Border spray | Treated border | 0.31 ± 0.13 (7) | 0.55 ± 0.13 (6) | 0.49 ± 0.14 (6) |
| Untreated interior | 0.49 ± 0.15 (7) | 0.47 ± 0.14 (6) | 0.59 ± 0.17 (6) | |
| Complete block | Treated border | 0.17 ± 0.06 (7) * | 0.57 ± 0.13 (6) | 0.57 ± 0.11 (6) |
| Treated interior | 0.09 ± 0.05 (7) * | 0.46 ± 0.10 (6) | 0.50 ± 0.14 (6) | |
| N/A | Untreated woodline | 0.66 ± 0.10 (13) | 0.59 ± 0.07 (12) | 0.44 ± 0.10 (12) |
| Spray Pattern | Location | Post-Treatment Parasitized | 2 Day Parasitized Pre-Treatment | 7 Day Parasitized Pre-Treatment |
|---|---|---|---|---|
| A.R.M. | Treated border | 0.39 ± 0.15 (7) | 0.75 ± 0.17 (5) | 0.18 ± 0.16 (6) |
| Untreated row | 0.55 ± 0.19 (5) | 0.94 ± 0.02 (5) | 0.70 ± 0.15 (5) | |
| Border spray | Treated border | 0.38 ± 0.15 (7) | 0.78 ± 0.05 (6) | 0.74 ± 0.10 (6) |
| Untreated interior | 0.64 ± 0.19 (6) | 0.46 ± 0.21 (6) | 0.71 ± 0.13 (5) | |
| Complete block | Treated border | 0.26 ± 0.16 (6) | 0.57 ± 0.17 (6) | 0.70 ± 0.14 (6) |
| Treated interior | 0.24 ± 0.10 (7) | 0.59 ± 0.17 (6) | 0.40 ± 0.14 (5) | |
| N/A | Untreated woodline | 0.30 ± 0.11 (13) | 0.76 ± 0.09 (12) | 0.59 ± 0.13 (10) |
Publisher’s Note: MDPI stays neutral with regard to jurisdictional claims in published maps and institutional affiliations. |
© 2020 by the authors. Licensee MDPI, Basel, Switzerland. This article is an open access article distributed under the terms and conditions of the Creative Commons Attribution (CC BY) license (http://creativecommons.org/licenses/by/4.0/).
Share and Cite
Ludwick, D.C.; Patterson, J.; Leake, L.B.; Carper, L.; Leskey, T.C. Integrating Trissolcus japonicus (Ashmead, 1904) (Hymenoptera: Scelionidae) into Management Programs for Halyomorpha halys (Stål, 1855) (Hemiptera: Pentatomidae) in Apple Orchards: Impact of Insecticide Applications and Spray Patterns. Insects 2020, 11, 833. https://doi.org/10.3390/insects11120833
Ludwick DC, Patterson J, Leake LB, Carper L, Leskey TC. Integrating Trissolcus japonicus (Ashmead, 1904) (Hymenoptera: Scelionidae) into Management Programs for Halyomorpha halys (Stål, 1855) (Hemiptera: Pentatomidae) in Apple Orchards: Impact of Insecticide Applications and Spray Patterns. Insects. 2020; 11(12):833. https://doi.org/10.3390/insects11120833
Chicago/Turabian StyleLudwick, Dalton C., Jessica Patterson, Layne B. Leake, Lee Carper, and Tracy C. Leskey. 2020. "Integrating Trissolcus japonicus (Ashmead, 1904) (Hymenoptera: Scelionidae) into Management Programs for Halyomorpha halys (Stål, 1855) (Hemiptera: Pentatomidae) in Apple Orchards: Impact of Insecticide Applications and Spray Patterns" Insects 11, no. 12: 833. https://doi.org/10.3390/insects11120833
APA StyleLudwick, D. C., Patterson, J., Leake, L. B., Carper, L., & Leskey, T. C. (2020). Integrating Trissolcus japonicus (Ashmead, 1904) (Hymenoptera: Scelionidae) into Management Programs for Halyomorpha halys (Stål, 1855) (Hemiptera: Pentatomidae) in Apple Orchards: Impact of Insecticide Applications and Spray Patterns. Insects, 11(12), 833. https://doi.org/10.3390/insects11120833

