Gamma-Ray Dark Matter Searches in Milky Way Satellites—A Comparative Review of Data Analysis Methods and Current Results
Abstract
1. Introduction
2. Gamma-Ray Signals From Dark Matter Processes in dSphs
- For annihilation, , with the average of the product of the WIMP velocity and annihilation cross section. The value of k depends on whether WIMPs are Majorana (, to take into account that an annihilation involves two identical particles) or Dirac particles (, reflecting the fact that particles can only annihilate with their—equally abundant—antiparticles). Including this into Equation (1), and writing the WIMP number density in terms of its mass and density (), we obtain:where we have defined the annihilation differential J-factor as:
- For decay, the rate is given simply by the inverse of the dark matter decay lifetime, i.e., , since each WIMP particle decays independently of each other. Including this into Equation (1), we get:where we have defined the decay differential J-factor as:
3. Gamma-Ray Telescopes
4. Statistical Data Analysis
5. Results
5.1. Fermi-LAT
5.2. Cherenkov Telescopes
5.2.1. H.E.S.S
5.2.2. MAGIC
5.2.3. VERITAS
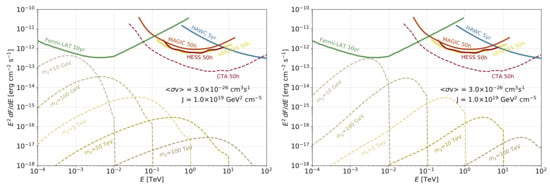
5.3. HAWC
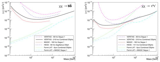
5.4. Multi-Instrument Searches
Funding
Conflicts of Interest
References
- Zwicky, F. Die Rotverschiebung von extragalaktischen Nebeln. Helv. Phys. Acta 1933, 6, 110. [Google Scholar]
- Babcock, H.W. The rotation of the Andromeda Nebula. Lick Obs. Bull. 1939, 19, 41. [Google Scholar] [CrossRef]
- Aghanim, N.; Akrami, Y.; Arroja, F.; Ashdown, M.; Aumont, J.; Baccigalupi, C.; Ballardini, M.; Banday, A.J.; Barreiro, R.B.; Bartolo, N.; et al. Planck 2018 results. I. Overview and the cosmological legacy of Planck. Astron. Astrophys. 2020, in press. [Google Scholar]
- Hut, P. Limits on Masses and Number of Neutral Weakly Interacting Particles. Phys. Lett. 1977, B69, 85. [Google Scholar] [CrossRef]
- Bergstrom, L. Non-Baryonic Dark Matter—Observational Evidence and Detection Methods. Rept. Prog. Phys. 2000, 63, 793. [Google Scholar] [CrossRef]
- Dubinski, J.; Carlberg, R.G. The structure of cold dark matter halos. Astrophys. J. 1991, 378, 496–503. [Google Scholar] [CrossRef]
- Geringer-Sameth, A.; Koushiappas, S.M.; Walker, M. Dwarf galaxy annihilation and decay emission profiles for dark matter experiments. Astrophys. J. 2015, 801, 74. [Google Scholar] [CrossRef]
- Strigari, L.E.; Bullock, J.S.; Kaplinghat, M.; Simon, J.D.; Geha, M.; Willman, B.; Walker, M.G. A common mass scale for satellite galaxies of the Milky Way. Nature 2008, 454, 1096. [Google Scholar] [CrossRef]
- Sjöstrand, T.; Mrenna, S.; Skands, P.Z. A Brief Introduction to PYTHIA 8.1. Comput. Phys. Commun. 2007, 178, 852–867. [Google Scholar] [CrossRef]
- Fermi LAT Performance. Available online: http://www.slac.stanford.edu/exp/glast/groups/canda/lat_Performance.htm (accessed on 3 March 2020).
- Holler, M.M.; Balzer, A.; Chalmé-Calvet, R.; de Naurois, M.; Zaborov, D. Photon Reconstruction for H.E.S.S. Using a Semi-Analytical Model. PoS 2015, ICRC2015, 980. [Google Scholar]
- Aleksić, J.; Ansoldi, S.; Antonelli, L.A.; Antoranz, P.; Babic, A.; Bangale, P.; Barcelo, M.; Barrio, J.A.; Becerra Gonzalez, J.; Bednarek, W.; et al. The major upgrade of the MAGIC telescopes, Part II: A performance study using observations of the Crab Nebula. Astropart. Phys. 2016, 72, 76–94. [Google Scholar] [CrossRef]
- VERITAS Specifications. Available online: http://veritas.sao.arizona.edu/about-veritas-mainmenu-81/veritas-specifications-mainmenu-111 (accessed on 3 March 2020).
- Abeysekara, A.U.; Albert, A.; Alfaro, R.; Alvarez, C.; Álvarez, J.D.; Arceo, R.; Arteaga-Velázquez, J.C.; Ayala Solares, H.A.; Barber, A.S.; Bautista-Elivar, N.; et al. Observation of the Crab Nebula with the HAWC Gamma-Ray Observatory. Astrophys. J. 2017, 843, 39. [Google Scholar] [CrossRef]
- Acharyya, A.; Agudo, I.; Angüner, E.O.; Alfaro, R.; Alfaro, J.; Alispach, C.; Aloisio, R.; Alves Batista, R.; Amans, J.-P.; Amati, L.; et al. Monte Carlo studies for the optimisation of the Cherenkov Telescope Array layout. Astropart. Phys. 2019, 111, 35. [Google Scholar] [CrossRef]
- Strigari, L.E.; Koushiappas, S.M.; Bullock, J.S.; Kaplinghat, M. Precise constraints on the dark matter content of Milky Way dwarf galaxies for gamma-ray experiments. Phys. Rev. 2007, D75, 083526. [Google Scholar] [CrossRef]
- Atwood, W.B.; Abdo, A.A.; Ackermann, M.; Althouse, W.; Anderson, B.; Axelsson, M.; Baldini, L.; Ballet, J.; Band, D.L.; Barbiellini, G.; et al. The Large Area Telescope on the Fermi Gamma-ray Space Telescope Mission. Astrophys. J. 2009, 697, 1071. [Google Scholar] [CrossRef]
- Fermi-LAT Collaboration. Fermi Large Area Telescope Fourth Source Catalog. arXiv 2009, arXiv:1902:10045. [Google Scholar]
- Tanabashi, M.; Hagiwara, K.; Hikasa, K.; Nakamura, K.; Sumino, Y.; Takahashi, F.; Tanaka, J.; Agashe, K.; Aielli, G.; Amsler, C.; et al. (Particle Data Group), The Review of Particle Physics (2018). Phys. Rev. 2018, D98, 030001. [Google Scholar]
- Nievas-Rosillo, M.; Contreras, J.L. Extending the Li&Ma method to include PSF information. Astropart. Phys. 2016, 74, 51–57. [Google Scholar]
- Ackermann, M.; Albert, A.; Anderson, B.; Atwood, W.B.; Baldini, L.; Barbiellini, G.; Bastieri, D.; Bechtol, K.; Bellazzini, R.; Bissaldi, E.; et al. Searching for Dark Matter Annihilation from Milky Way Dwarf Spheroidal Galaxies with Six Years of Fermi Large Area Telescope Data. Phys. Rev. Lett. 2015, 115, 231301. [Google Scholar] [CrossRef]
- Ahnen, M.L.; Ansoldi, S.; Antonelli, L.A.; Antoranz, P.; Babic, A.; Banerjee, B.; Bangale, P.; Barres de Almeida, U.; Barrio, J.A.; Becerra González, J.; et al. Limits to dark matter annihilation cross-section from a combined analysis of MAGIC and Fermi-LAT observations of dwarf satellite galaxies. J. Cosmol. Astropart. Phys. 2016, 1602, 39. [Google Scholar] [CrossRef]
- Navarro, J.F.; Frenk, C.S.; White, S.D.M. A Universal Density Profile from Hierarchical Clustering. Astrophys. J. 1997, 490, 493–508. [Google Scholar] [CrossRef]
- Essig, R.; Sehgal, N.; Strigari, L.E.; Geha, M.; Simon, J.D. Indirect Dark Matter Detection Limits from the Ultra-Faint Milky Way Satellite Segue 1. Phys. Rev. 2010, D82, 123503. [Google Scholar]
- Chernoff, H. On the Distribution of the Likelihood Ratio. Ann. Math. Stat. 1954, 25, 573–578. [Google Scholar] [CrossRef]
- Mazziotta, M.N.; Loparco, F.; de Palma, F.; Giglietto, N. A model-independent analysis of the Fermi Large Area Telescope gamma-ray data from the Milky Way dwarf galaxies and halo to constrain dark matter scenarios. Astropart. Phys. 2012, 37, 26–39. [Google Scholar] [CrossRef]
- Drlica-Wagner, A.; Albert, A.; Bechtol, K.; Wood, M.; Strigari, L.; Sánchez-Conde, M.; Baldini, L.; Essig, R.; Cohen-Tanugi, J.; Anderson, B.; et al. Search for Gamma-Ray Emission from DES Dwarf Spheroidal Galaxy Candidates with Fermi-LAT Data. Astrophys. J. Lett. 2015, 809, 4. [Google Scholar] [CrossRef]
- Baushev, A.N.; Federici, S.; Pohl, M. Spectral analysis of the gamma-ray background near the dwarf Milky Way satellite Segue 1: Improved limits on the cross section of neutralino dark matter annihilation. Phys. Rev. 2012, D86, 063521. [Google Scholar] [CrossRef]
- Cotta, R.C.; Drlica-Wagner, A.; Murgia, S.; Bloom, E.D.; Hewett, J.L.; Rizzo, T.G. Constraints on the pMSSM from LAT Observations of Dwarf Spheroidal Galaxies. J. Cosmol. Astropart. P. 2012, 1204, 016. [Google Scholar] [CrossRef]
- Scott, P.; Conrad, J.; Edsjö, J.; Bergström, L.; Farnier, C.; Akrami, Y. Direct constraints on minimal supersymmetry from Fermi-LAT observations of the dwarf galaxy Segue 1. J. Cosmol. Astropart. P. 2010, 1001, 031. [Google Scholar] [CrossRef]
- Hoof, S.; Geringer-Sameth, A.; Trotta, R. A Global Analysis of Dark Matter Signals from 27 Dwarf Spheroidal Galaxies using 11 Years of Fermi-LAT Observations. J. Cosmol. Astropart. P. 2020, 2002, 012. [Google Scholar] [CrossRef]
- Li, S.; Liang, Y.-F.; Xia, Z.-Q.; Zu, L.; Duan, K.-K.; Shen, Z.-Q.; Feng, L.; Yuan, Q.; Fan, Y.-Z. Study of the boxlike dark matter signals from dwarf spheroidal galaxies with Fermi-LAT data. Phys. Rev. 2018, D97, 083007. [Google Scholar] [CrossRef]
- Zhao, Y.; Bi, X.-J.; Yin, P.-F.; Zhang, X. Constraint on the velocity dependent dark matter annihilation cross section from Fermi-LAT observations of dwarf galaxies. Phys. Rev. 2016, D93, 083513. [Google Scholar] [CrossRef]
- Baring, M.G.; Ghosh, T.; Queiroz, F.S.; Sinha, K. New Limits on the Dark Matter Lifetime from Dwarf Spheroidal Galaxies using Fermi-LAT. Phys. Rev. 2016, D93, 103009. [Google Scholar] [CrossRef]
- Abdo, A.A.; Ackermann, M.; Ajello, M.; Atwood, W.B.; Baldini, L.; Ballet, J.; Barbiellini, G.; Bastieri, D.; Bechtol, K.; Bellazzini, R.; et al. Observations of Milky Way Dwarf Spheroidal Galaxies with the Fermi-Large Area Telescope Detector and Constraints on Dark Matter Models. Astrophys. J. 2010, 712, 147–158. [Google Scholar] [CrossRef]
- Ackermann, M.; Ajello, M.; Albert, A.; Atwood, W.B.; Baldini, L.; Ballet, J.; Barbiellini, G.; Bastieri, D.; Bechtol, K.; Bellazzini, R.; et al. Constraining Dark Matter Models from a Combined Analysis of Milky Way Satellites with the Fermi Large Area Telescope. Phys. Rev. Lett. 2011, 107, 241302. [Google Scholar] [CrossRef] [PubMed]
- Ackermann, M.; Albert, A.; Anderson, B.; Baldini, L.; Ballet, J.; Barbiellini, G.; Bastieri, D.; Bechtol, K.; Bellazzini, R.; Bissaldi, E.; et al. Dark matter constraints from observations of 25 Milky Way satellite galaxies with the Fermi Large Area Telescope. Phys. Rev. D 2014, 89, 042001. [Google Scholar] [CrossRef]
- Simon, J.D.; Geha, M. The Kinematics of the Ultra-Faint Milky Way Satellites: Solving the Missing Satellite Problem. Astrophys. J. 2007, 670, 313–331. [Google Scholar] [CrossRef]
- Martinez, G.D. A Robust Determination of Milky Way Satellite Properties using Hierarchical Mass Modeling. Mon. Not. R. Astron. Soc. 2015, 451, 2524–2535. [Google Scholar] [CrossRef]
- Jeltema, T.E.; Profumo, S. Fitting the Gamma-Ray Spectrum from Dark Matter with DMFIT: GLAST and the Galactic Center Region. J. Cosmol. Astropart. Phys. 2008, 0811, 003. [Google Scholar] [CrossRef]
- Abramowski, A.; Aharonian, F.; Ait Benkhali, F.; Akhperjanian, A.G.; Angüner, E.; Backes, M.; Balenderan, S.; Balzer, A.; Barnacka, A.; Becherini, Y.; et al. observations of dwarf spheroidal galaxies. Phys. Rev. D. 2014, 90, 112012. [Google Scholar] [CrossRef]
- Cembranos, J.A.R.; de la Cruz-Dombriz, A.; Dobado, A.; Lineros, R.A.; Maroto, A.L. Photon spectra from WIMP annihilation. Phys. Rev. 2011, D83, 083507. [Google Scholar] [CrossRef]
- Burkert, A. The Structure of Dark Matter Halos in Dwarf Galaxies. Astrophys. J. Lett. 1995, 447, L25–L28. [Google Scholar] [CrossRef]
- Abdalla, H.; Aharonian, F.; Benkhali, F.A.; Angüner, E.O.; Arakawa, M.; Arcaro, C.; Armand, C.; Arrieta, M.; Backes, M.; Barnard, M.; et al. Searches for gamma-ray lines and ‘pure WIMP’ spectra from Dark Matter annihilations in dwarf galaxies with H.E.S.S. J. Cosmol. Astropart. P 2018, 1811, 037. [Google Scholar] [CrossRef]
- Aleksić, J.; Ansoldi, S.; Antonelli, L.A.; Antoranz, P.; Babic, A.; Bangale, P.; Barres de Almeida, U.; Barrio, J.A.; Becerra González, J.; Bednarek, W.; et al. Optimized dark matter searches in deep observations of Segue 1 with MAGIC. J. Cosmol. Astropart. Phys. 2014, 1406, 008. [Google Scholar] [CrossRef]
- Ahnen, M.; Ansoldi, S.; Antonelli, L.A.; Arcaro, C.; Baack, D.; Babić, A.; Banerjee, B.; Bangale, P.; Barres de Almeida, U.; Barrio, J.A.; et al. Indirect dark matter searches in the dwarf satellite galaxy Ursa Major II with the MAGIC Telescopes. J. Cosmol. Astropart. Phys. 2018, 1803, 009. [Google Scholar] [CrossRef]
- Cirelli, M.; Corcella, G.; Hektor, A.; Hütsi, G.; Kadastik, M.; Panci, P.; Raidal, M.; Sala, F.; Strumia, A. PPPC 4 DM ID: A Poor Particle Physicist Cookbook for Dark Matter Indirect Detection. J. Cosmol. Astropart. Phys. 2011, 1103, 051. [Google Scholar] [CrossRef]
- Archambault, S.; Archer, A.; Benbow, W.; Bird, R.; Bourbeau, E.; Brantseg, T.; Buchovecky, M.; Buckley, J.H.; Bugaev, V.; Byrum, K.; et al. Dark matter constraints from a joint analysis of dwarf Spheroidal galaxy observations with VERITAS. Phys. Rev. 2017, D95, 082001. [Google Scholar] [CrossRef]
- Albert, A.; Alfaro, R.; Alvarez, C.; Álvarez, J.D.; Arceo, R.; Arteaga-Velázquez, J.C.; Avila Rojas, D.; Ayala Solares, H.A.; Bautista-Elivar, N.; Becerril, A.; et al. Dark Matter Limits from Dwarf Spheroidal Galaxies with the HAWC Gamma-Ray Observatory. Astrophys. J. 2018, 853, 154. [Google Scholar] [CrossRef]
- Sjöstrand, T.; Ask, S.; Christiansen, J.R.; Corke, R.; Desai, N.; Ilten, P.; Mrenna, S.; Prestel, S.; Rasmussen, C.O.; Skands, P.Z. An introduction to PYTHIA 8.2. Comput. Phys. Commun. 2015, 191, 159. [Google Scholar] [CrossRef]
- Bonnivard, V.; Hütten, M.; Nezri, E.; Charbonnier, A.; Combet, E.; Maurin, D. CLUMPY: Jeans analysis, γ-ray and ν fluxes from dark matter (sub-)structures. Comput. Phys. Commun. 2016, 200, 336. [Google Scholar] [CrossRef]
- Acero, F.; Ackermann, M.; Ajello, M.; Albert, A.; Atwood, W.B.; Axelsson, M.; Baldini, L.; Ballet, J.; Barbiellini, G.; Bastieri, D.; et al. Fermi Large Area Telescope Third Source Catalog. Astrophys. J. Suppl. Ser. 2015, 218, 23. [Google Scholar] [CrossRef]
- Figures and Data Files Associated with the Fermi LAT Paper “Searching for Dark Matter Annihilation from Milky Way Dwarf Spheroidal Galaxies with Six Years of Fermi-LAT Data”. Available online: https://www-glast.stanford.edu/pub_data/1048/ (accessed on 3 March 2020).
- Steigman, G.; Dasgupta, B.; Beacom, J.F. Precise relic WIMP abundance and its impact on searches for dark matter annihilation. Phys. Rev. 2012, D86, 023506. [Google Scholar] [CrossRef]
- Albert, A.; Anderson, B.; Bechtol, K.; Drlica-Wagner, A.; Meyer, M.; Sánchez-Conde, M.; Strigari, L.; Wood, M.; Abbott, T.M.C.; Abdalla, F.B.; et al. Searching for Dark Matter Annihilation in Recently Discovered Milky Way Satellites with Fermi-LAT. Astrophys. J. 2017, 834, 110. [Google Scholar] [CrossRef]
- Aleksić, J.; Rico, J.; Martinez, M. Optimized analysis method for indirect dark matter searches with imaging air Cherenkov telescopes. J. Cosmol. Astropart. Phys. 2012, 1210, 32. [Google Scholar] [CrossRef]
- Aharonian, F.; Akhperjanian, A.G.; Bazer-Bachi, A.R.; Beilicke, M.; Benbow, W.; Berge, D.; Bernlöhr, K.; Boissonf, C.; Bolza, O.; Borrel, V.; et al. Observations of the Sagittarius dwarf galaxy by the HESS experiment and search for a dark matter signal. Astropart. Phys. 2008, 29, 55–62. [Google Scholar] [CrossRef]
- Abramowski, A.; Acero, F.; Aharonian, F.; Akhperjanian, A.G.; Anton, G.; Barnacka, A.; Barres de Almeida, U.; Bazer-Bachi, A.R.; Becherini, Y.; Becker, J.; et al. constraints on dark matter annihilations towards the sculptor and carina dwarf galaxies. Astropart. Phys. 2011, 34, 608–616. [Google Scholar] [CrossRef]
- Aharonian, F.; Akhperjanian, A.G.; Barres de Almeida, U.; Bazer-Bachi, A.R.; Behera, B.; Benbow, W.; Bernlöhr, K.; Boisson, C.; Bochow, V.; Borrel, V.; et al. A Search for Dark Matter Annihilation Signal toward the Canis Major Overdensity with H.E.S.S. Astrophys. J. 2009, 691, 175–181. [Google Scholar] [CrossRef]
- Abramowski, A.; Acero, F.; Aharonian, F.; Akhperjanian, A.G.; Anton, G.; Balzer, A.; Barnacka, A.; Barres de Almeida, U.; Bazer-Bachi, A.R.; Becherini, Y.; et al. Observations of the Globular Clusters NGC 6388 and M15 and Search for Dark Matter Signal. Astrophys. J. 2011, 735, 12. [Google Scholar] [CrossRef]
- Zhao, H. Analytical models for galactic nuclei. Mon. Not. R. Astron. Soc. 1996, 278, 488. [Google Scholar] [CrossRef]
- Ibata, R.; Irwin, M.; Lewis, G.F.; Stolte, A. Galactic Halo Substructure in the Sloan Digital Sky Survey: The Ancient Tidal Stream from the Sagittarius Dwarf Galaxy. Astrophys. J. Lett. 2001, 547, L133–L136. [Google Scholar] [CrossRef]
- Albert, J.; Aliu, E.; Anderhub, H.; Antoranz, P.; Backes, M.; Baixeras, C.; Barrio, J.A.; Bartko, H.; Bastieri, D.; Becker, J.K.; et al. Upper limit for gamma-ray emission above 140 GeV from the dwarf spheroidal galaxy Draco. Astrophys. J. 2008, 679, 428. [Google Scholar] [CrossRef]
- Aliu, E.; Anderhub, H.A.; Antonelli, L.; Antoranz, P.; Backes, M.; Baixeras, C.; Balestra, S.; Barrio, J.A.; Bartko, H.; Bastieri, D.; et al. MAGIC upper limits on the VHE gamma-ray emission from the satellite galaxy Willman 1. Astrophys. J. 2009, 697, 1299. [Google Scholar] [CrossRef]
- Aleksić, J.; Alvarez, E.A.; Antonelli, L.A.; Antoranz, P.; Asensio, M.; Backes, M.; Barrio, J.A.; Bastieri, D.; Becerra González, J.; Bednarek, W.; et al. Searches for dark matter annihilation signatures in the Segue 1 satellite galaxy with the MAGIC-I telescope. J. Cosmol. Astropart. Phys. 2011, 1106, 035. [Google Scholar] [CrossRef]
- Acciari, V.A.; Arlen, T.; Aune, T.; Beilicke, M.; Benbow, W.; Boltuch, D.; Bradbury, S.M.; Buckley, J.H.; Bugaev, V.; Byrum, K.; et al. VERITAS Search for the Gamma-ray Emission from Dwarf Spheroidal Galaxies. Astrophys. J. 2010, 720, 1174–1180. [Google Scholar] [CrossRef]
- Aliu, E.; Archambault, S.; Arlen, T.; Aune, T.; Beilicke, M.; Benbow, W.; Bouvier, A.; Bradbury, S.M.; Buckley, J.H.; Bugaev, V.; et al. VERITAS deep observations of the dwarf spheroidal galaxy Segue 1. Phys. Rev. D 2012, 85, 062001. [Google Scholar] [CrossRef]
- Geringer-Sameth, A.; Koushiappas, S.M.; Walker, M.G. A Comprehensive Search for Dark Matter Annihilation in Dwarf Galaxies. Phys. Rev. D 2015, 91, 083535. [Google Scholar] [CrossRef]
- Error Bars. Available online: https://xkcd.com/2110/ (accessed on 3 March 2020).
- Harding, P. Private Communication; Physics Division, Los Alamos National Laboratory: Los Alamos, NM, USA, 2019. [Google Scholar]
- Oackes, L.; Armand, C.; Charles, E.; di Mauro, M.; Giuri, C.; Harding, J.P.; Kerszberg, D.; Miener, T.; Moulin, E.; Poireau, V.; et al. Combined Dark Matter searches towards dwarf spheroidal galaxies with Fermi-LAT, HAWC, HESS, MAGIC and VERITAS. In Proceedings of the 36th International Cosmic Ray Conference, Madison, WI, USA, 24 July–1 August 2019. [Google Scholar]
| 1 | In Equation (19): assuming dΦ/dE ∝ E−2 and energy resolution and bias disregarded. |
| 2 | In Equation (16): Aeff dependence on disregarded |
| 3 | In Equation (16): Effect of angular resolution disregarded (i.e., |
| 4 | In Equation (28): fs assumed radially symmetric with respect to the center of the dSph. |
| 5 | That is: limits, which are one-sided confidence intervals, are provided with error bars, which are two-sided confidence intervals. Some authors [69] have described graphically the potentially pernicious consequences of extending this practice. |







| bkg | ||||||||||||
|---|---|---|---|---|---|---|---|---|---|---|---|---|
| Reference | Instrument | dSphs | Channels | J-Factor | Ext | sta | sys | Other | ||||
| [21] | Fermi-LAT | Boötes1, Canes Venatici II, Carina, Coma Berenices, Draco, Fornax, Hercules, Leo II, Leo IV, Sculptor, Segue 1, Sextans, Ursa Major II, Ursa Minor, Willman 1 | , , , , , [annihilation] | PYTHIA 8.1 [9] | Following Martinez [39], assuming NFW [23] | ✓ | ✓ | ✓ | × | × | × | 1 |
| [41] | H.E.S.S | Carina, Coma Berenices, Fornax, Sagittarius, Sculptor | , , , , , [annihilation] | Cembranos et al. [42] | Martinez [39] assuming NFW [23] and Burkert [43] | ✓ | × | ✓ | ✓ | × | × | 2, 3 |
| [44] | H.E.S.S | Carina, Coma Berenices, Fornax, Sagittarius, Sculptor | [annihilation] | trivial | Geringer-Sameth et al. [7] | ✓ | ✓ | ✓ | ✓ | × | × | |
| [45] | MAGIC | Segue 1 | , , , , , , [annihilation and decay], , , , [annihilation], , [decay] | Cembranos et al. [42] | Essig et al. [24] | × | ✓ | × | × | × | × | – |
| [46] | MAGIC | Ursa Major II | , , , , [annihilation] | PPC4DMID [47] | Geringer-Sameth et al. [7] | ✓ | ✓ | ✓ | ✓ | ✓ | × | – |
| [48] | VERITAS | Boötes1, Draco, Segue1, Ursa Minor, Willman1 | , , , , , , , , , , [annihilation] | PPC4DMID [47] | Geringer-Sameth et al. [7] | × | ✓ | ✓ | × | × | ✓ | 4 |
| [49] | HAWC | Boötes1, Canes Venatici I, Canes Venatici II, Coma Berenices, Draco, Hercules, Leo I, Leo II, Leo IV, Segue 1, Sextans, Triangulum II, Ursa Major I, Ursa Major II, Ursa Minor | , , , , [annihilation and decay] | PYTHIA 8.2 [50] | CLUMPY [51] assuming NFW [23] | × | × | ✓ | ✓ | × | × | – |
© 2020 by the author. Licensee MDPI, Basel, Switzerland. This article is an open access article distributed under the terms and conditions of the Creative Commons Attribution (CC BY) license (http://creativecommons.org/licenses/by/4.0/).
Share and Cite
Rico, J. Gamma-Ray Dark Matter Searches in Milky Way Satellites—A Comparative Review of Data Analysis Methods and Current Results. Galaxies 2020, 8, 25. https://doi.org/10.3390/galaxies8010025
Rico J. Gamma-Ray Dark Matter Searches in Milky Way Satellites—A Comparative Review of Data Analysis Methods and Current Results. Galaxies. 2020; 8(1):25. https://doi.org/10.3390/galaxies8010025
Chicago/Turabian StyleRico, Javier. 2020. "Gamma-Ray Dark Matter Searches in Milky Way Satellites—A Comparative Review of Data Analysis Methods and Current Results" Galaxies 8, no. 1: 25. https://doi.org/10.3390/galaxies8010025
APA StyleRico, J. (2020). Gamma-Ray Dark Matter Searches in Milky Way Satellites—A Comparative Review of Data Analysis Methods and Current Results. Galaxies, 8(1), 25. https://doi.org/10.3390/galaxies8010025

