Untangling Cosmic Magnetic Fields: Faraday Tomography at Metre Wavelengths with LOFAR
Abstract
1. Introduction
2. Methods
3. Results
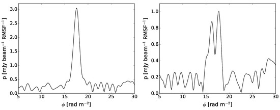
3.1. Polarisation and Faraday Rotation Properties
3.2. Radio Luminosity, Morphology, and Projected Linear Size
3.3. In-Depth Study of the Faraday Rotation from the Largest FRII Radio Galaxy in the Sample
3.4. High-Resolution Faraday Rotation Imaging with LOFAR
4. Discussion
4.1. Nature of Extragalactic Polarised Sources at Low Frequencies
4.2. Future Prospects
Author Contributions
Funding
Acknowledgments
Conflicts of Interest
Abbreviations
| RM | Rotation measure |
| IGMF | Intergalactic magnetic field |
| GRM | Galactic rotation measure |
| FDF | Faraday dispersion function |
| FRI | Fanaroff Riley I |
| FRII | Fanaroff Riley II |
| AGN | Active Galactic Nuclei |
| BL Lac | BL Lacertae |
| LSS | Large-scale structure |
| LOFAR | Low-Frequency Array |
| HBA | High-Band Antenna |
| LBA | Low-Band Antenna |
| ILT | International LOFAR Telescope |
| LoTSS | LOFAR Two-Metre Sky Survey |
| DR1 | Data Release 1 |
| HETDEX | Hobby-Eberly Telescope Dark Energy Experiment |
| WEAVE | William Herschel Telescope Enhanced Area Velocity Explorer |
| APERTIF | Aperture Tile in Focus |
| ASKAP | Australian Square Kilometre Array Pathfinder |
| EMU | Evolutionary Map of the Universe |
| POSSUM | Polarisation Survey of the Universe’s Magnetism |
| NRAO | National Radio Astronomy Observatory |
| VLA | Very Large Array |
| NVSS | NRAO VLA Sky Survey |
| VLASS | VLA Sky Survey |
| SDSS | Sloan Digital Sky Survey |
References
- Jelić, V.; de Bruyn, A.G.; Pandey, V.N.; Mevius, M.; Haverkorn, M.; Brentjens, M.A.; Koopmans, L.V.E.; Zaroubi, S.; Abdalla, F.B.; Asad, K.M.B.; et al. Linear polarization structures in LOFAR observations of the interstellar medium in the 3C 196 field. Astron. Astrophys. 2015, 583, A137. [Google Scholar] [CrossRef]
- Lenc, E.; Gaensler, B.M.; Sun, X.H.; Sadler, E.M.; Willis, A.G.; Barry, N.; Beardsley, A.P.; Bell, M.E.; Bernardi, G.; Bowman, J.D.; et al. Low-frequency Observations of Linearly Polarized Structures in the Interstellar Medium near the South Galactic Pole. Astrophys. J. 2016, 830, 38. [Google Scholar] [CrossRef]
- O’Sullivan, S.P.; Lenc, E.; Anderson, C.S.; Gaensler, B.M.; Murphy, T. Faraday rotation at low frequencies: Magnetoionic material of the large FRII radio galaxy PKS J0636-2036. Mon. Not. R. Astron. Soc. 2018, 475, 4263–4277. [Google Scholar] [CrossRef]
- Riseley, C.J.; Lenc, E.; Van Eck, C.L.; Heald, G.; Gaensler, B.M.; Anderson, C.S.; Hancock, P.J.; Hurley-Walker, N.; Sridhar, S.S.; White, S.V. The POlarised GLEAM Survey (POGS) I: First Results from a Low-Frequency Radio Linear Polarisation Survey of the Southern Sky. arXiv, 2018; arXiv:1809.09327. [Google Scholar]
- O’Sullivan, S.P.; Brown, S.; Robishaw, T.; Schnitzeler, D.H.F.M.; McClure-Griffiths, N.M.; Feain, I.J.; Taylor, A.R.; Gaensler, B.M.; Landecker, T.L.; Harvey-Smith, L.; et al. Complex Faraday depth structure of Active Galactic Nuclei as revealed by broadband radio polarimetry. Mon. Not. R. Astron. Soc. 2012, 421, 3300–3315. [Google Scholar] [CrossRef]
- Anderson, C.S.; Gaensler, B.M.; Feain, I.J. A Study of Broadband Faraday Rotation and Polarization Behavior over 1.3–10 GHz in 36 Discrete Radio Sources. Astrophys. J. 2016, 825, 59. [Google Scholar] [CrossRef]
- O’Sullivan, S.P.; Purcell, C.R.; Anderson, C.S.; Farnes, J.S.; Sun, X.H.; Gaensler, B.M. Broad-band, radio spectro-polarimetric study of 100 radiative-mode and jet-mode AGN. Mon. Not. R. Astron. Soc. 2017, 469, 4034–4062. [Google Scholar] [CrossRef]
- Pasetto, A.; Carrasco-González, C.; O’Sullivan, S.; Basu, A.; Bruni, G.; Kraus, A.; Curiel, S.; Mack, K.H. Broadband radio spectro-polarimetric observations of high-Faraday-rotation-measure AGN. Astron. Astrophys. 2018, 613, A74. [Google Scholar] [CrossRef]
- Farnsworth, D.; Rudnick, L.; Brown, S. Integrated Polarization of Sources at λ∼1 m and New Rotation Measure Ambiguities. Astron. J. 2011, 141, 191. [Google Scholar] [CrossRef]
- Anderson, C.S.; Gaensler, B.M.; Heald, G.H.; O’Sullivan, S.P.; Kaczmarek, J.F.; Feain, I.J. Broadband Radio Polarimetry of Fornax A. I. Depolarized Patches Generated by Advected Thermal Material from NGC 1316. Astrophys. J. 2018, 855, 41. [Google Scholar] [CrossRef]
- Guidetti, D.; Laing, R.A.; Croston, J.H.; Bridle, A.H.; Parma, P. The magnetized medium around the radio galaxy B2 0755+37: An interaction with the intragroup gas. Mon. Not. R. Astron. Soc. 2012, 423, 1335–1350. [Google Scholar] [CrossRef]
- Akahori, T.; Ryu, D. Faraday Rotation Measure due to the Intergalactic Magnetic Field. II. The Cosmological Contribution. Astrophys. J. 2011, 738, 134. [Google Scholar] [CrossRef]
- Farnes, J.S.; O’Sullivan, S.P.; Corrigan, M.E.; Gaensler, B.M. Faraday Rotation from Magnesium II Absorbers toward Polarized Background Radio Sources. Astrophys. J. 2014, 795, 63. [Google Scholar] [CrossRef]
- Haverkorn, M.; Gaensler, B.M.; McClure-Griffiths, N.M.; Dickey, J.M.; Green, A.J. Magnetic Fields and Ionized Gas in the Inner Galaxy: An Outer Scale for Turbulence and the Possible Role of H II Regions. Astrophys. J. 2004, 609, 776–784. [Google Scholar] [CrossRef]
- de Gasperin, F.; Mevius, M.; Rafferty, D.A.; Intema, H.T.; Fallows, R.A. The effect of the ionosphere on ultra-low-frequency radio-interferometric observations. Astron. Astrophys. 2018, 615, A179. [Google Scholar] [CrossRef]
- Van Haarlem, M.P.; Wise, M.W.; Gunst, A.W.; Heald, G.; McKean, J.P.; Hessels, J.W.T.; de Bruyn, A.G.; Nijboer, R.; Swinbank, J.; Fallows, R.; et al. LOFAR: The LOw-Frequency ARray. Astron. Astrophys. 2013, 556, A2. [Google Scholar] [CrossRef]
- Shimwell, T.W.; Röttgering, H.J.A.; Best, P.N.; Williams, W.L.; Dijkema, T.J.; de Gasperin, F.; Hardcastle, M.J.; Heald, G.H.; Hoang, D.N.; Horneffer, A.; et al. The LOFAR Two-metre Sky Survey. I. Survey description and preliminary data release. Astron. Astrophys. 2017, 598, A104. [Google Scholar] [CrossRef]
- Van Eck, C.L.; Haverkorn, M.; Alves, M.I.R.; Beck, R.; Best, P.; Carretti, E.; Chyży, K.T.; Farnes, J.S.; Ferrière, K.; Hardcastle, M.J.; et al. Polarized point sources in the LOFAR Two-meter Sky Survey: A preliminary catalog. Astron. Astrophys. 2018, 613, A58. [Google Scholar] [CrossRef]
- Shimwell, T.W.; Röttgering, H.J.A.; Best, P.N.; Williams, W.L.; Dijkema, T.J.; de Gasperin, F.; Hardcastle, M.J.; Heald, G.H.; Hoang, D.N.; et al. The LOFAR Two-metre Sky Survey—II. First Data Release. arXiv, 2018; arXiv:1811.07926. [Google Scholar] [CrossRef]
- Norris, R. Survey Science with ASKAP: EMU—Evolutionary Map of the Universe. In Bulletin of the American Astronomical Society; American Astronomical Society Meeting Abstracts #215; American Astronomical Society: Washington, DC, USA, 2010; Volume 36, p. 1127. [Google Scholar]
- Verheijen, M.A.W.; Oosterloo, T.A.; van Cappellen, W.A.; Bakker, L.; Ivashina, M.V.; van der Hulst, J.M. Apertif, a focal plane array for the WSRT. In The Evolution of Galaxies through the Neutral Hydrogen Window; American Institute of Physics Conference Series; Minchin, R., Momjian, E., Eds.; American Institute of Physics: New York, NY, USA, 2008; Volume 1035, pp. 265–271. [Google Scholar]
- Williams, W.L.; Hardcastle, M.J.; Best, P.N.; Sabater, J.; Croston, J.H.; Duncan, K.J.; Shimwell, T.W.; Röttgering, H.J.A.; Nisbet, D.; Gürkan, G.; et al. The LOFAR Two-metre Sky Survey (LoTSS) III. First Data Release: Optical/IR identifications and value-added catalogue. arXiv, 2018; arXiv:1811.07927. [Google Scholar]
- Duncan, K.J.; Sabater, J.; Röttgering, H.J.A.; Jarvis, M.J.; Smith, D.J.B.; Best, P.N.; Callingham, J.R.; Cochrane, R.; Croston, J.H.; Hardcastle, M.J.; et al. The LOFAR Two-metre Sky Survey IV. First Data Release: Photometric redshifts and rest-frame magnitudes. arXiv, 2018; arXiv:1811.07928. [Google Scholar]
- Mevius, M. RMextract: Ionospheric Faraday Rotation Calculator. Astrophys. Source Code Libr. 2018. Available online: https://ascl.net/1806.024 (accessed on 28 November 2018).
- Sotomayor-Beltran, C.; Sobey, C.; Hessels, J.W.T.; de Bruyn, G.; Noutsos, A.; Alexov, A.; Anderson, J.; Asgekar, A.; Avruch, I.M.; Beck, R.; et al. Calibrating high-precision Faraday rotation measurements for LOFAR and the next generation of low-frequency radio telescopes. Astron. Astrophys. 2013, 552, A58. [Google Scholar] [CrossRef]
- van Diepen, G.; Dijkema, T.J. DPPP: Default Pre-Processing Pipeline. Astrophys. Source Code Libr. 2018. Available online: http://ascl.net/1804.003 (accessed on 28 November 2018).
- Offringa, A.R.; McKinley, B.; Hurley-Walker, N.; Briggs, F.H.; Wayth, R.B.; Kaplan, D.L.; Bell, M.E.; Feng, L.; Neben, A.R.; Hughes, J.D.; et al. WSClean: An implementation of a fast, generic wide-field imager for radio astronomy. Mon. Not. R. Astron. Soc. 2014, 444, 606–619. [Google Scholar] [CrossRef]
- Brentjens, M.A.; de Bruyn, A.G. Faraday rotation measure synthesis. Astron. Astrophys. 2005, 441, 1217–1228. [Google Scholar] [CrossRef]
- Heald, G.; Braun, R.; Edmonds, R. The Westerbork SINGS survey. II Polarization, Faraday rotation, and magnetic fields. Astron. Astrophys. 2009, 503, 409–435. [Google Scholar] [CrossRef]
- O’Sullivan, S.P.; Machalski, J.; Van Eck, C.L.; Heald, G.; Brueggen, M.; Fynbo, J.P.U.; Heintz, K.E.; Lara-Lopez, M.A.; Vacca, V.; Hardcastle, M.J.; et al. The intergalactic magnetic field probed by a giant radio galaxy. arXiv, 2018; arXiv:1811.07934. [Google Scholar]
- Neld, A.; Horellou, C.; Mulcahy, D.D.; Beck, R.; Bourke, S.; Carozzi, T.D.; Chyży, K.T.; Conway, J.E.; Farnes, J.S.; Fletcher, A.; et al. Reliable detection and characterization of low-frequency polarized sources in the LOFAR M51 field. Astron. Astrophys. 2018, 617, A136. [Google Scholar] [CrossRef]
- Taylor, A.R.; Stil, J.M.; Sunstrum, C. A Rotation Measure Image of the Sky. Astrophys. J. 2009, 702, 1230–1236. [Google Scholar] [CrossRef]
- Condon, J.J.; Cotton, W.D.; Greisen, E.W.; Yin, Q.F.; Perley, R.A.; Taylor, G.B.; Broderick, J.J. The NRAO VLA Sky Survey. Astron. J. 1998, 115, 1693–1716. [Google Scholar] [CrossRef]
- Hardcastle, M.J.; Williams, W.L.; Best, P.N.; Croston, J.H.; Duncan, K.J.; Rottgering, H.J.A.; Sabater, J.; Shimwell, T.W.; Tasse, C.; Callingham, J.R.; et al. Radio-loud AGN in the first LoTSS data release: The lifetimes and environmental impact of jet-driven sources. arXiv, 2018; arXiv:1811.07943. [Google Scholar]
- Mooney, S.; Quinn, J.; Callingham, J.R.; Morganti, R.; Duncan, K.; Morabito, L.K.; Best, P.N.; Gürkan, G.; Hardcastle, M.J.; Prandoni, I.; et al. Blazars in the LOFAR Two-Metre Sky Survey First Data Release. arXiv, 2018; arXiv:1811.07961. [Google Scholar]
- Chen, Y.C.; Ho, S.; Freeman, P.E.; Genovese, C.R.; Wasserman, L. Cosmic web reconstruction through density ridges: Method and algorithm. Mon. Not. R. Astron. Soc. 2015, 454, 1140–1156. [Google Scholar] [CrossRef]
- Chen, Y.C.; Ho, S.; Brinkmann, J.; Freeman, P.E.; Genovese, C.R.; Schneider, D.P.; Wasserman, L. Cosmic web reconstruction through density ridges: Catalogue. Mon. Not. R. Astron. Soc. 2016, 461, 3896–3909. [Google Scholar] [CrossRef]
- Vazza, F.; Brüggen, M.; Gheller, C.; Wang, P. On the amplification of magnetic fields in cosmic filaments and galaxy clusters. Mon. Not. R. Astron. Soc. 2014, 445, 3706–3722. [Google Scholar] [CrossRef]
- Planck Collaboration; Ade, P.A.R.; Aghanim, N.; Arnaud, M.; Arroja, F.; Ashdown, M.; Aumont, J.; Baccigalupi, C.; Ballardini, M.; Banday, A.J.; et al. Planck 2015 results. XIX. Constraints on primordial magnetic fields. Astron. Astrophys. 2016, 594, A19. [Google Scholar] [CrossRef]
- Oppermann, N.; Junklewitz, H.; Greiner, M.; Enßlin, T.A.; Akahori, T.; Carretti, E.; Gaensler, B.M.; Goobar, A.; Harvey-Smith, L.; Johnston-Hollitt, M.; et al. Estimating extragalactic Faraday rotation. Astron. Astrophys. 2015, 575, A118. [Google Scholar] [CrossRef]
- Mao, S.A.; Gaensler, B.M.; Haverkorn, M.; Zweibel, E.G.; Madsen, G.J.; McClure-Griffiths, N.M.; Shukurov, A.; Kronberg, P.P. A Survey of Extragalactic Faraday Rotation at High Galactic Latitude: The Vertical Magnetic Field of the Milky Way Toward the Galactic Poles. Astrophys. J. 2010, 714, 1170–1186. [Google Scholar] [CrossRef]
- Stil, J.M.; Taylor, A.R.; Sunstrum, C. Structure in the Rotation Measure Sky. Astrophys. J. 2011, 726, 4. [Google Scholar] [CrossRef]
- Myers, S.T.; Law, C.J.; Baum, S.A.; Chandler, C.J.; Chatterjee, S.; Lacy, M.; Murphy, E.J.; VLASS Survey Science Group. The VLA Sky Survey (VLASS): Technical Implementation Plans and Progress. In American Astronomical Society Meeting Abstracts; American Astronomical Society Meeting Abstracts #227; American Astronomical Society: Washington, DC, USA, 2016; Volume 227. [Google Scholar]
- Gaensler, B.M.; Landecker, T.L.; Taylor, A.R. POSSUM Collaboration. In Bulletin of the American Astronomical Society; American Astronomical Society: Washington, DC, USA, 2010; Volume 42. [Google Scholar]
- Boulanger, F.; Enßlin, T.; Fletcher, A.; Girichides, P.; Hackstein, S.; Haverkorn, M.; Hörandel, J.R.; Jaffe, T.; Jasche, J.; Kachelrieß, M.; et al. IMAGINE: A comprehensive view of the interstellar medium, Galactic magnetic fields and cosmic rays. J. Cosmol. Astropart. Phys. 2018, 8, 49. [Google Scholar] [CrossRef]
- Plotkin, R.M.; Anderson, S.F.; Hall, P.B.; Margon, B.; Voges, W.; Schneider, D.P.; Stinson, G.; York, D.G. A Large Sample of BL Lac Objects from the SDSS and First. Astron. J. 2008, 135, 2453–2469. [Google Scholar] [CrossRef]
- Laing, R.A.; Bridle, A.H.; Parma, P.; Murgia, M. Structures of the magnetoionic media around the Fanaroff-Riley Class I radio galaxies 3C31 and Hydra A. Mon. Not. R. Astron. Soc. 2008, 391, 521–549. [Google Scholar] [CrossRef]
- Bonafede, A.; Feretti, L.; Murgia, M.; Govoni, F.; Giovannini, G.; Dallacasa, D.; Dolag, K.; Taylor, G.B. The Coma cluster magnetic field from Faraday rotation measures. Astron. Astrophys. 2010, 513, A30. [Google Scholar] [CrossRef]
- Strom, R.G.; Jaegers, W.J. Extensive gaseous haloes surrounding giant elliptical galaxies—Evidence from depolarization in radio galaxies. Astron. Astrophys. 1988, 194, 79–89. [Google Scholar]
- Best, P.N. Radio source populations: Results from SDSS. Astron. Nachr. 2009, 330, 184–189. [Google Scholar] [CrossRef]
- Gendre, M.A.; Best, P.N.; Wall, J.V.; Ker, L.M. The relation between morphology, accretion modes and environmental factors in local radio AGN. Mon. Not. R. Astron. Soc. 2013, 430, 3086–3101. [Google Scholar] [CrossRef]
- Croston, J.H.; Hardcastle, M.J.; Mingo, B.; Best, P.N.; Sabater, J.; Shimwell, T.W.; Williams, W.L.; Duncan, K.J.; Röttgering, H.J.A.; Brienza, M.; et al. The environments of radio-loud AGN from the LOFAR Two-Metre Sky Survey (LoTSS). arXiv, 2018; arXiv:1811.07949. [Google Scholar]
- Heesen, V.; Croston, J.H.; Morganti, R.; Hardcastle, M.J.; Stewart, A.J.; Best, P.N.; Broderick, J.W.; Brüggen, M.; Brunetti, G.; Chyży, K.T.; et al. LOFAR reveals the giant: A low-frequency radio continuum study of the outflow in the nearby FR I radio galaxy 3C 31. Mon. Not. R. Astron. Soc. 2018, 474, 5049–5067. [Google Scholar] [CrossRef]
- Laing, R.A.; Bridle, A.H. Systematic properties of decelerating relativistic jets in low-luminosity radio galaxies. Mon. Not. R. Astron. Soc. 2014, 437, 3405–3441. [Google Scholar] [CrossRef]
- Smith, D.J.B.; Best, P.N.; Duncan, K.J.; Hatch, N.A.; Jarvis, M.J.; Röttgering, H.J.A.; Simpson, C.J.; Stott, J.P.; Cochrane, R.K.; Coppin, K.E.; et al. The WEAVE-LOFAR Survey. In Proceedings of the Annual Meeting of the French Society of Astronomy and Astrophysics (SF2A-2016), Centre de Recherche Astrophysique de Lyon, Lyon, France, 14–17 June 2016; Reylé, C., Richard, J., Cambrésy, L., Deleuil, M., Pécontal, E., Tresse, L., Vauglin, I., Eds.; French Society of Astronomy and Astrophysics: Lyon, France, 2016; pp. 271–280. [Google Scholar]
- Stasyszyn, F.; Nuza, S.E.; Dolag, K.; Beck, R.; Donnert, J. Measuring cosmic magnetic fields by rotation measure-galaxy cross-correlations in cosmological simulations. Mon. Not. R. Astron. Soc. 2010, 408, 684–694. [Google Scholar] [CrossRef]
- Akahori, T.; Gaensler, B.M.; Ryu, D. Statistical Techniques for Detecting the Intergalactic Magnetic Field from Large Samples of Extragalactic Faraday Rotation Data. Astrophys. J. 2014, 790, 123. [Google Scholar] [CrossRef]
- Vacca, V.; Oppermann, N.; Enßlin, T.; Jasche, J.; Selig, M.; Greiner, M.; Junklewitz, H.; Reinecke, M.; Brüggen, M.; Carretti, E.; et al. Using rotation measure grids to detect cosmological magnetic fields: A Bayesian approach. Astron. Astrophys. 2016, 591, A13. [Google Scholar] [CrossRef]
- Astropy Collaboration; Robitaille, T.P.; Tollerud, E.J.; Greenfield, P.; Droettboom, M.; Bray, E.; Aldcroft, T.; Davis, M.; Ginsburg, A.; Price-Whelan, A.M.; et al. Astropy: A community Python package for astronomy. Astron. Astrophys. 2013, 558, A33. [Google Scholar] [CrossRef]
- Hunter, J.D. Matplotlib: A 2D graphics environment. Comput. Sci. Eng. 2007, 9, 90–95. [Google Scholar] [CrossRef]
- Robitaille, T.; Bressert, E. APLpy: Astronomical Plotting Library in Python. Astrophys. Source Code Libr. 2012. Available online: http://ascl.net/1208.017 (accessed on 28 November 2018).
- Taylor, M.B. TOPCAT & STIL: Starlink Table/VOTable Processing Software. In Astronomical Data Analysis Software and Systems XIV; Astronomical Society of the Pacific Conference Series; Shopbell, P., Britton, M., Ebert, R., Eds.; Astronomical Society of the Pacific: San Francisco, CA, USA, 2005; Volume 347, p. 29. [Google Scholar]
| 1. | Note that sources with an RM near zero (±2.5 rad m) have been excluded due to contamination from instrumental polarisation in this range, and sources with an RM magnitude greater than ∼450 rad m are strongly affected by bandwidth depolarisation due to the channel spacing of 97.6 kHz. Furthermore, higher polarised source densities are expected at higher angular resolution, as demonstrated in a pointed observation of one of the fields by [31], which found a source density of ∼0.3 per deg at ∼18. |






© 2018 by the authors. Licensee MDPI, Basel, Switzerland. This article is an open access article distributed under the terms and conditions of the Creative Commons Attribution (CC BY) license (http://creativecommons.org/licenses/by/4.0/).
Share and Cite
O’Sullivan, S.P.; Brüggen, M.; Van Eck, C.L.; Hardcastle, M.J.; Haverkorn, M.; Shimwell, T.W.; Tasse, C.; Vacca, V.; Horellou, C.; Heald, G. Untangling Cosmic Magnetic Fields: Faraday Tomography at Metre Wavelengths with LOFAR. Galaxies 2018, 6, 126. https://doi.org/10.3390/galaxies6040126
O’Sullivan SP, Brüggen M, Van Eck CL, Hardcastle MJ, Haverkorn M, Shimwell TW, Tasse C, Vacca V, Horellou C, Heald G. Untangling Cosmic Magnetic Fields: Faraday Tomography at Metre Wavelengths with LOFAR. Galaxies. 2018; 6(4):126. https://doi.org/10.3390/galaxies6040126
Chicago/Turabian StyleO’Sullivan, Shane P., Marcus Brüggen, Cameron L. Van Eck, Martin J. Hardcastle, Marijke Haverkorn, Timothy W. Shimwell, Cyril Tasse, Valentina Vacca, Cathy Horellou, and George Heald. 2018. "Untangling Cosmic Magnetic Fields: Faraday Tomography at Metre Wavelengths with LOFAR" Galaxies 6, no. 4: 126. https://doi.org/10.3390/galaxies6040126
APA StyleO’Sullivan, S. P., Brüggen, M., Van Eck, C. L., Hardcastle, M. J., Haverkorn, M., Shimwell, T. W., Tasse, C., Vacca, V., Horellou, C., & Heald, G. (2018). Untangling Cosmic Magnetic Fields: Faraday Tomography at Metre Wavelengths with LOFAR. Galaxies, 6(4), 126. https://doi.org/10.3390/galaxies6040126

