Toric Aberrometric Extended Depth of Focus Intraocular Lens: Visual Outcomes, Rotational Stability, Patients’ Satisfaction, and Spectacle Independence
Abstract
1. Introduction
2. Materials and Methods
2.1. Clinical Protocol
2.2. IOL
2.3. Statistical Analysis
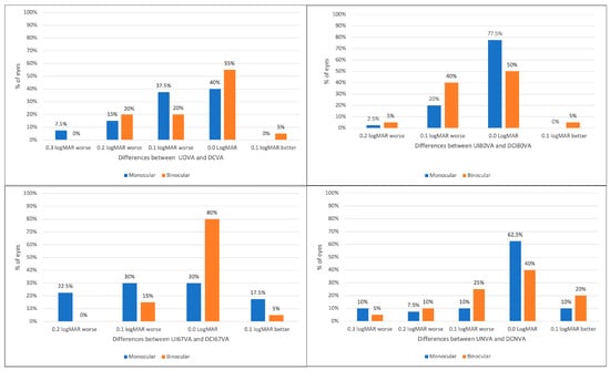
3. Results
3.1. Visual Outcomes
3.2. Defocus Curve Outcomes
3.3. Contrast Sensitivity (CS) Outcomes
3.4. Ocular Optical Quality Outcomes
3.5. Halometry
3.6. Reading Analysis
3.7. Quality of Life Outcomes
4. Discussion
Author Contributions
Funding
Institutional Review Board Statement
Informed Consent Statement
Data Availability Statement
Conflicts of Interest
References
- Schallhorn, S.C.; Hettinger, K.A.; Teenan, D.; Venter, J.A.; Hannan, S.J.; Schallhorn, J.M. Predictors of Patient Satisfaction After Refractive Lens Exchange with an Extended Depth of Focus IOL. J. Refract. Surg. 2020, 36, 175–184. [Google Scholar] [CrossRef] [PubMed]
- Pedrotti, E.; Neri, E.; Bonacci, E.; Barosco, G.; Galzignato, A.; Montresor, A.; Rodella, A.; De Gregorio, A.; Bosello, F.; Marchini, G. Extended Depth of Focus Versus Monofocal IOLs in Patients with High Myopia: Objective and Subjective Visual Outcomes. J. Refract. Surg. 2022, 38, 158–166. [Google Scholar] [CrossRef]
- Savini, G.; Balducci, N.; Carbonara, C.; Rossi, S.; Altieri, M.; Frugis, N.; Zappulla, E.; Bellucci, R.; Alessio, G. Functional assessment of a new extended depth-of-focus intraocular lens. Eye Lond. Engl. 2019, 33, 404–410. [Google Scholar] [CrossRef] [PubMed]
- Fernández-Vega-Cueto, L.; Madrid-Costa, D.; Alfonso-Bartolozzi, B.; Vega, F.; Millán, M.S.; Alfonso, J.F. Optical and Clinical Outcomes of an Extended Range of Vision Intraocular Lens. J. Refract. Surg. 2022, 38, 168–176. [Google Scholar] [CrossRef] [PubMed]
- Pedrotti, E.; Chierego, C.; Talli, P.M.; Selvi, F.; Galzignato, A.; Neri, E.; Barosco, G.; Montresor, A.; Rodella, A.; Marchini, G. Extended Depth of Focus Versus Monofocal IOLs: Objective and Subjective Visual Outcomes. J. Refract. Surg. 2020, 36, 214–222. [Google Scholar] [CrossRef] [PubMed]
- Pedrotti, E.; Carones, F.; Aiello, F.; Mastropasqua, R.; Bruni, E.; Bonacci, E.; Talli, P.; Nucci, C.; Mariotti, C.; Marchini, G. Comparative analysis of visual outcomes with 4 intraocular lenses: Monofocal, multifocal, and extended range of vision. J. Cataract Refract. Surg. 2018, 44, 156–167. [Google Scholar] [CrossRef] [PubMed]
- Savini, G.; Schiano-Lomoriello, D.; Balducci, N.; Barboni, P. Visual Performance of a New Extended Depth-of-Focus Intraocular Lens Compared to a Distance-Dominant Diffractive Multifocal Intraocular Lens. J. Refract. Surg. 2018, 34, 228–235. [Google Scholar] [CrossRef] [PubMed]
- Lyall, D.A.M.; Srinivasan, S.; Ng, J.; Kerr, E. Changes in corneal astigmatism among patients with visually significant cataract. Can. J. Ophthalmol. J. Can. Ophtalmol. 2014, 49, 297–303. [Google Scholar] [CrossRef]
- Ferrer-Blasco, T.; Montés-Micó, R.; Peixoto-de-Matos, S.C.; González-Méijome, J.M.; Cerviño, A. Prevalence of corneal astigmatism before cataract surgery. J. Cataract Refract. Surg. 2009, 35, 70–75. [Google Scholar] [CrossRef] [PubMed]
- Zvorničanin, J.; Zvorničanin, E. Premium intraocular lenses: The past, present and future. J. Curr. Ophthalmol. 2018, 30, 287–296. [Google Scholar] [CrossRef] [PubMed]
- Hoffmann, P.C.; Hütz, W.W. Analysis of biometry and prevalence data for corneal astigmatism in 23,239 eyes. J. Cataract Refract. Surg. 2010, 36, 1479–1485. [Google Scholar] [CrossRef] [PubMed]
- Guo, H.; Atchison, D.A. Subjective blur limits for cylinder. Optom. Vis. Sci. Off. Publ. Am. Acad. Optom. 2010, 87, E549–E559. [Google Scholar] [CrossRef]
- Ashena, Z.; Maqsood, S.; Ahmed, S.N.; Nanavaty, M.A. Effect of Intraocular Lens Tilt and Decentration on Visual Acuity, Dysphotopsia and Wavefront Aberrations. Vis. Ac. 2020, 4, 41. [Google Scholar] [CrossRef] [PubMed]
- Ruiz-Alcocer, J.; Martínez-Alberquilla, I.; Rementería-Capelo, L.A.; De Gracia, P.; Lorente-Velázquez, A. Changes in Optical Quality Induced by Tilt and Decentration of a Trifocal IOL and a Novel Extended Depth of Focus IOL in Eyes with Corneal Myopic Ablations. J. Refract. Surg. 2021, 37, 532–537. [Google Scholar] [CrossRef] [PubMed]
- Ohashi, T.; Shinkai, A.; Lawu, T. Efficacy evaluation of toric IOL rotation after cataract surgery. J. Cataract Refract. Surg. 2021, 47, 961–962. [Google Scholar] [CrossRef] [PubMed]
- Hayashi, K.; Yoshida, M.; Igarashi, C.; Hirata, A. Effect of Refractive Astigmatism on All-Distance Visual Acuity in Eyes with a Trifocal Intraocular Lens. Am. J. Ophthalmol. 2021, 221, 279–286. [Google Scholar] [CrossRef]
- Hayashi, K.; Manabe, S.-I.; Yoshida, M.; Hayashi, H. Effect of astigmatism on visual acuity in eyes with a diffractive multifocal intraocular lens. J. Cataract Refract. Surg. 2010, 36, 1323–1329. [Google Scholar] [CrossRef]
- Hayashi, K.; Hayashi, H.; Nakao, F.; Hayashi, F. Influence of astigmatism on multifocal and monofocal intraocular lenses. Am. J. Ophthalmol. 2000, 130, 477–482. [Google Scholar] [CrossRef] [PubMed]
- Giers, B.C.; Khoramnia, R.; Varadi, D.; Wallek, H.; Son, H.-S.; Attia, M.S.; Auffarth, G.U. Functional results and photic phenomena with new extended-depth-of-focus intraocular Lens. BMC Ophthalmol. 2019, 19, 197. [Google Scholar] [CrossRef]
- Gil, J.F.; Irazola, A.C.; Reparaz, I.; Lauzirika, G.; Martínez-Soroa, I.; Mendicute, J. Visual, Refractive, Functional, and Patient Satisfaction Outcomes After Implantation of a New Extended Depth-of-Focus Intraocular Lens. Clin. Ophthalmol. 2024, 18, 3801–3813. [Google Scholar] [CrossRef]
- Ruiz-Mesa, R.; de Luna, G.C.; Ruiz-Santos, M.; Jiménez-Nieto, A.; Tañá-Rivero, P. Clinical Outcomes of a Toric Enhanced Depth-of-Focus Intraocular Lens Based on the Combination of 4th- and 6th-Order Spherical Aberration. J. Refract. Surg. 2024, 40, e398–e406. [Google Scholar] [CrossRef] [PubMed]
- Pastor-Pascual, F.; Orts-Vila, P.; Tañá-Sanz, P.; Tañá-Sanz, S.; Ruiz-Mesa, R.; Tañá-Rivero, P. Non-diffractive, toric, extended depth-of-focus intraocular lenses in eyes with low corneal astigmatism. Eye Vis. 2024, 11, 14. [Google Scholar] [CrossRef]
- Barber, K.M.; O’Connor, S.; Mackinder, P.; Chih, A.; Jones, B. Rotational stability and refractive outcomes of the DFT/DATx15 toric, extended depth of focus intraocular lens. Int. Ophthalmol. 2023, 43, 2737–2747. [Google Scholar] [CrossRef] [PubMed]
- Georgiev, S.; Hirnschall, N.; Döller, B.; Draschl, P.; Findl, O.M. Visual performance after bilateral toric extended depth-of-focus IOL exchange targeted for micromonovision. J. Cataract Refract. Surg. 2020, 46, 1346–1352. [Google Scholar] [CrossRef]
- Sandoval, H.P.; Lane, S.; Slade, S.; Donnenfeld, E.D.; Potvin, R.; Solomon, K.D. Evaluating Rotational Stability of an Extended Depth of Focus Toric Intraocular Lens Using a Slit Lamp and Image-Based Analysis. Clin. Ophthalmol. 2020, 14, 2405–2410. [Google Scholar] [CrossRef]
- Braga-Mele, R.; Chang, D.; Dewey, S.; Foster, G.; Henderson, B.A.; Hill, W.; Hoffman, R.; Little, B.; Mamalis, N.; Oetting, T.; et al. Multifocal intraocular lenses: Relative indications and contraindications for implantation. J. Cataract Refract. Surg. 2014, 40, 313–322. [Google Scholar] [CrossRef] [PubMed]
- Nichols, J.J.; Mitchell, G.L.; Saracino, M.; Zadnik, K. Reliability and validity of refractive error-specific quality-of-life instruments. Arch. Ophthalmol. 2003, 121, 1289–1296. [Google Scholar] [CrossRef]
- Hays, R.D.; Mangione, C.M.; Ellwein, L.; Lindblad, A.S.; Spritzer, K.L.; McDonnell, P.J. Psychometric properties of the National Eye Institute-Refractive Error Quality of Life instrument. Ophthalmology 2003, 110, 2292–2301. [Google Scholar] [CrossRef] [PubMed]
- Congdon, N.; Fan, H.; Choi, K.; Huang, W.; Zhang, L.; Zhang, S.; Liu, K.; Hu, I.C.; Zheng, Z.; Lam, D.S.C. Impact of posterior subcapsular opacification on vision and visual function among subjects undergoing cataract surgery in rural China: Study of Cataract Outcomes and Up-Take of Services (SCOUTS) in the Caring is Hip Project, report 5. Br. J. Ophthalmol. 2008, 92, 598–603. [Google Scholar] [CrossRef]
- Gupta, N.; Wolffsohn, J.S.W.; Naroo, S.A. Optimizing measurement of subjective amplitude of accommodation with defocus curves. J. Cataract Refract. Surg. 2008, 34, 1329–1338. [Google Scholar] [CrossRef] [PubMed]
- Alio, J.L.; D’oria, F.; Toto, F.; Balgos, J.; Palazon, A.; Versaci, F.; del Barrio, J.L.A. Retinal image quality with multifocal, EDoF, and accommodative intraocular lenses as studied by pyramidal aberrometry. Eye Vis. Lond. Engl. 2021, 8, 37. [Google Scholar] [CrossRef] [PubMed]
- Kingsnorth, A.; Wolffsohn, J.S. Mobile app reading speed test. Br. J. Ophthalmol. 2015, 99, 536–539. [Google Scholar] [CrossRef] [PubMed]
- Buckhurst, P.J.; Naroo, S.A.; Davies, L.N.; Shah, S.; Buckhurst, H.; Kingsnorth, A.; Drew, T.; Wolffsohn, J.S. Tablet App halometer for the assessment of dysphotopsia. J. Cataract Refract. Surg. 2015, 41, 2424–2429. [Google Scholar] [CrossRef]
- Buckhurst, P.J.; Naroo, S.A.; Davies, L.N.; Shah, S.; Drew, T.; Wolffsohn, J.S. Assessment of dysphotopsia in pseudophakic subjects with multifocal intraocular lenses. BMJ Open Ophthalmol. 2007, 1, e000064. [Google Scholar] [CrossRef] [PubMed]
- Zhu, X.; Meng, J.; He, W.; Rong, X.; Lu, Y. Comparison of the rotational stability between plate-haptic toric and C-loop haptic toric IOLs in myopic eyes. J. Cataract Refract. Surg. 2020, 46, 1353–1359. [Google Scholar] [CrossRef] [PubMed]
- Patel, C.K.; Ormonde, S.; Rosen, P.H.; Bron, A.J. Postoperative intraocular lens rotation: A randomized comparison of plate and loop haptic implants. Ophthalmol. 1999, 106, 2190–2195. [Google Scholar] [CrossRef] [PubMed]
- Ison, M.; Scott, J.; Apel, J.; Apel, A. Patient Expectation, Satisfaction and Clinical Outcomes with a New Multifocal Intraocular Lens. Clin. Ophthalmol. Auckl. NZ 2021, 15, 4131–4140. [Google Scholar] [CrossRef] [PubMed]
- Sandoval, H.P.; Lane, S.; Slade, S.G.; Donnenfeld, E.D.; Potvin, R.; Solomon, K.D. Defocus Curve and Patient Satisfaction with a New Extended Depth of Focus Toric Intraocular Lens Targeted for Binocular Emmetropia or Slight Myopia in the Non-Dominant Eye. Clin. Ophthalmol. 2020, 14, 1791–1798. [Google Scholar] [CrossRef]
- Savini, G.; Alessio, G.; Perone, G.; Rossi, S.; Schiano-Lomoriello, D. Rotational stability and refractive outcomes of a single-piece aspheric toric intraocular lens with 4 fenestrated haptics. J. Cataract Refract. Surg. 2019, 45, 1275–1279. [Google Scholar] [CrossRef] [PubMed]
- Lin, X.; Ma, D.; Yang, J. Insights into the rotational stability of toric intraocular lens implantation: Diagnostic approaches, influencing factors and intervention strategies. Front. Med. 2024, 11, 1349496. [Google Scholar] [CrossRef]
- Bala, C.; Poyales, F.; Guarro, M.; Mesa, R.R.; Mearza, A.M.; Varma, D.K.B.; Jasti, S.; Lemp-Hull, J.D. Multicountry clinical outcomes of a new nondiffractive presbyopia-correcting IOL. J. Cataract Refract. Surg. 2022, 48, 136. [Google Scholar] [CrossRef] [PubMed]
- Xu, J.; Li, W.; Xu, Z.; Zhao, B.; Zhong, Y.; Wang, K.; Liu, X.; Song, X.; Yu, Y.; Zhu, Y.; et al. Comparative visual outcomes of EDOF intraocular lens with FLACS vs conventional phacoemulsification. J. Cataract Refract. Surg. 2023, 49, 55. [Google Scholar] [CrossRef] [PubMed]
- Mastropasqua, L.; Pedrotti, E.; Ruggeri, M.L.; Vecchiarino, L.; Bonacci, E.; Guarini, D.; Falconio, G.; Toto, L.M.; Marchini, G.M. Two-surgeon, two-center evaluation of a new combined EDOF intraocular lens approach. J. Cataract Refract. Surg. 2023, 49, 512. [Google Scholar] [CrossRef] [PubMed]
- Wanten, J.C.; Bauer, N.J.C.; Berendschot, T.T.J.M.; van den Biggelaar, F.J.H.M.; Nuijts, R.M.M.A. Dissatisfaction after implantation of extended depth-of-focus intraocular lenses. J. Cataract Refract. Surg. 2025. ahead of print. [Google Scholar] [CrossRef] [PubMed]




| Demographic Data | Mean ± Standard Deviation | Median | Range |
|---|---|---|---|
| Male: Female | 6:14 | - | - |
| Age | 73.5 ± 4.24 years | 74 years | 65 to 81 years |
| Preoperative corneal astigmatism | 1.94 ± 0.92 D | 1.58 D | 0.75 to 3.00 D |
| IOL spherical power | 22.32 ± 1.77 D | 22.75 D | 20.00 to 25.50 D |
| IOL Toric power | 2.94 ± 1.30 D | 2.50 D | 1.00 to 4.50 D |
| Refractive spherical equivalent | −0.21 ± 0.74 D | −0.13 D | −1.50 to +1.00 D |
| Refractive cylinder | 0.29 ± 0.31 D | 0.25 D | 0.00 to 1.00 D |
| Visual Acuity | Monocular Vision | Binocular Vision | ||
|---|---|---|---|---|
| (logMAR) | Mean ± SD | Median (Range) | Mean ± SD | Median (Range) |
| UDVA | 0.15 ± 0.13 | 0.10 (−0.10 to 0.50) | 0.05 ± 0.12 | 0.00 (−0.10 to 0.30) |
| DCVA | 0.06 ± 0.08 | 0.00 (−0.10 to 0.20) | −0.01 ± 0.08 | 0.00 (−0.10 to 0.10) |
| UI80VA | 0.16 ± 0.13 | 0.10 (0.00 to 0.60) | 0.1 ± 0.07 | 0.10 (0.00 to 0.30) |
| DCI80VA | 0.14 ± 0.14 | 0.10 (−0.10 to 0.60) | 0.06 ± 0.08 | 0.05 (−0.10 to 0.20) |
| UI67VA | 0.18 ± 0.15 | 0.10 (0.00 to 0.60) | 0.13 ± 0.12 | 0.10 (−0.10 to 0.30) |
| DCI67VA | 0.13 ± 0.15 | 0.10 (−0.10 to 0.60) | 0.12 ± 0.09 | 0.10 (−0.10 to 0.20) |
| UNVA | 0.23 ± 0.18 | 0.20 (−0.10 to 0.80) | 0.16 ± 0.12 | 0.10 (0.00 to 0.50) |
| DCNVA | 0.19 ± 0.13 | 0.20 (0.00 to 0.60) | 0.13 ± 0.12 | 0.10 (0.00 to 0.50) |
| Parameter | Mean ± SD | Median (Range) |
|---|---|---|
| Clarity of vision | 69.97 ± 19.31 | 69.79 (31.33 to 100.00) |
| Expectations | 72.50 ± 30.24 | 75.00 (0.00 to 100.00) |
| Near vision | 51.98 ± 21.29 | 47.92 (31.25 to 81.25) |
| Far vision | 80.58 ± 18.44 | 77.50 (56.66 to 100.00) |
| Diurnal fluctuations | 73.75 ± 22.75 | 79.17 (41.67 to 100.00) |
| Activity limitations | 92.19 ± 12.15 | 100.00 (68.75 to 100.00) |
| Glare | 76.88 ± 24.76 | 72.50 (47.50 to 100.00) |
| Symptoms | 58.75 ± 13.88 | 58.93 (39.29 to 96.43) |
| Dependence on correction | 70.21 ± 19.97 | 62.50 (41.67 to 100.00) |
| Worry | 49.38 ± 23.11 | 37.50 (25.00 to 100.00) |
| Suboptimal correction | 89.38 ± 15.32 | 100.00 (62.50 to 100.00) |
| Appearance | 73.00 ± 24.90 | 73.33 (20.00 to 100.00) |
| Satisfaction with correction | 67.00 ± 28.49 | 70.00 (20.00 to 100.00) |
Disclaimer/Publisher’s Note: The statements, opinions and data contained in all publications are solely those of the individual author(s) and contributor(s) and not of MDPI and/or the editor(s). MDPI and/or the editor(s) disclaim responsibility for any injury to people or property resulting from any ideas, methods, instructions or products referred to in the content. |
© 2025 by the authors. Licensee MDPI, Basel, Switzerland. This article is an open access article distributed under the terms and conditions of the Creative Commons Attribution (CC BY) license (https://creativecommons.org/licenses/by/4.0/).
Share and Cite
Bonacci, E.; Pagnacco, C.; Anastasi, M.; De Gregorio, A.; Marchini, G.; Pedrotti, E. Toric Aberrometric Extended Depth of Focus Intraocular Lens: Visual Outcomes, Rotational Stability, Patients’ Satisfaction, and Spectacle Independence. J. Pers. Med. 2025, 15, 88. https://doi.org/10.3390/jpm15030088
Bonacci E, Pagnacco C, Anastasi M, De Gregorio A, Marchini G, Pedrotti E. Toric Aberrometric Extended Depth of Focus Intraocular Lens: Visual Outcomes, Rotational Stability, Patients’ Satisfaction, and Spectacle Independence. Journal of Personalized Medicine. 2025; 15(3):88. https://doi.org/10.3390/jpm15030088
Chicago/Turabian StyleBonacci, Erika, Camilla Pagnacco, Marco Anastasi, Alessandra De Gregorio, Giorgio Marchini, and Emilio Pedrotti. 2025. "Toric Aberrometric Extended Depth of Focus Intraocular Lens: Visual Outcomes, Rotational Stability, Patients’ Satisfaction, and Spectacle Independence" Journal of Personalized Medicine 15, no. 3: 88. https://doi.org/10.3390/jpm15030088
APA StyleBonacci, E., Pagnacco, C., Anastasi, M., De Gregorio, A., Marchini, G., & Pedrotti, E. (2025). Toric Aberrometric Extended Depth of Focus Intraocular Lens: Visual Outcomes, Rotational Stability, Patients’ Satisfaction, and Spectacle Independence. Journal of Personalized Medicine, 15(3), 88. https://doi.org/10.3390/jpm15030088

