A Lung Ultrasound-Integrated Clinical Model for Predicting Pulmonary Arterial Hypertension in Patients with Connective Tissue Disease-Associated Interstitial Lung Disease
Abstract
1. Introduction
2. Materials and Methods
2.1. Study Design and Participants
2.2. Definition of Pulmonary Arterial Hypertension (PAH)
2.3. Data Collection and Variables
- (1)
- Demographics: age, gender, height, and weight.
- (2)
- Physiologic measures: respiratory rate, C-reactive protein (CRP), oxygenation index (PaO2/FiO2), and blood pH.
- (3)
- Lung ultrasound parameters: transthoracic lung ultrasound (TLUS) was performed using GE Voluson E10, Mindray Resona R9, and Mindray Resona R8 ultrasound machines, employing convex (2–8 MHz) and linear array (6–18 MHz) probes for image acquisition. The TLUS score was derived using a standardized 72-point lung ultrasound protocol [12] (Figure 1), covering 16 predefined regions across both lungs (8 per lung). Each region was graded on a 0–11 point scale according to B-line burden, pleural line morphology, and the presence of additional findings/complications (Am-lines and pleural effusion). The total TLUS score was calculated as the sum of all regional scores, yielding a native range of 0–176 points (Table 1).
- (4)
- Pulmonary function tests: diffusing capacity of the lung for carbon monoxide (DLCO% predicted) and forced expiratory volume in one second (FEV1% predicted).
- (5)
- Laboratory indicators: white blood cell (WBC), red blood cell (RBC), and platelet (PLT) counts; D-dimer; and brain natriuretic peptide (BNP).
- (6)
- Disease classification: CTD subtypes including polymyositis, primary Sjögren’s syndrome, rheumatoid arthritis, systemic lupus erythematosus, systemic sclerosis, and mixed connective tissue disease.

| Ultrasound Finding | Score per Region | |
|---|---|---|
| B line | None | 0 |
| <4 | 1 | |
| 4–6 | 2 | |
| >6 or white lung | 3 | |
| Pleural Line | Normal | 0 |
| Thickened | 1 | |
| Irregular, rough | 2 | |
| Discontinuous, fragmented | 3 | |
| Complications | None | 0 |
| Am-line | 4 | |
| Pleural effusion | 5 | |
2.4. Statistical Analysis
3. Results
3.1. Patient Inclusion of the Study
3.2. Reproducibility of TLUS Scoring
3.3. Baseline Comparability of the Training and Validation Cohorts
3.4. Analysis of Independent Risk Factors for PAH in Patients with CTD-ILD and Construction of the Nomogram Model
3.4.1. Univariate Logistic Regression Analysis
3.4.2. Multivariable Logistic Regression Analysis
3.4.3. Multicollinearity Assessment
3.4.4. Sensitivity Analyses for Predictor Selection
3.5. Nomogram Model and Predictive Formula
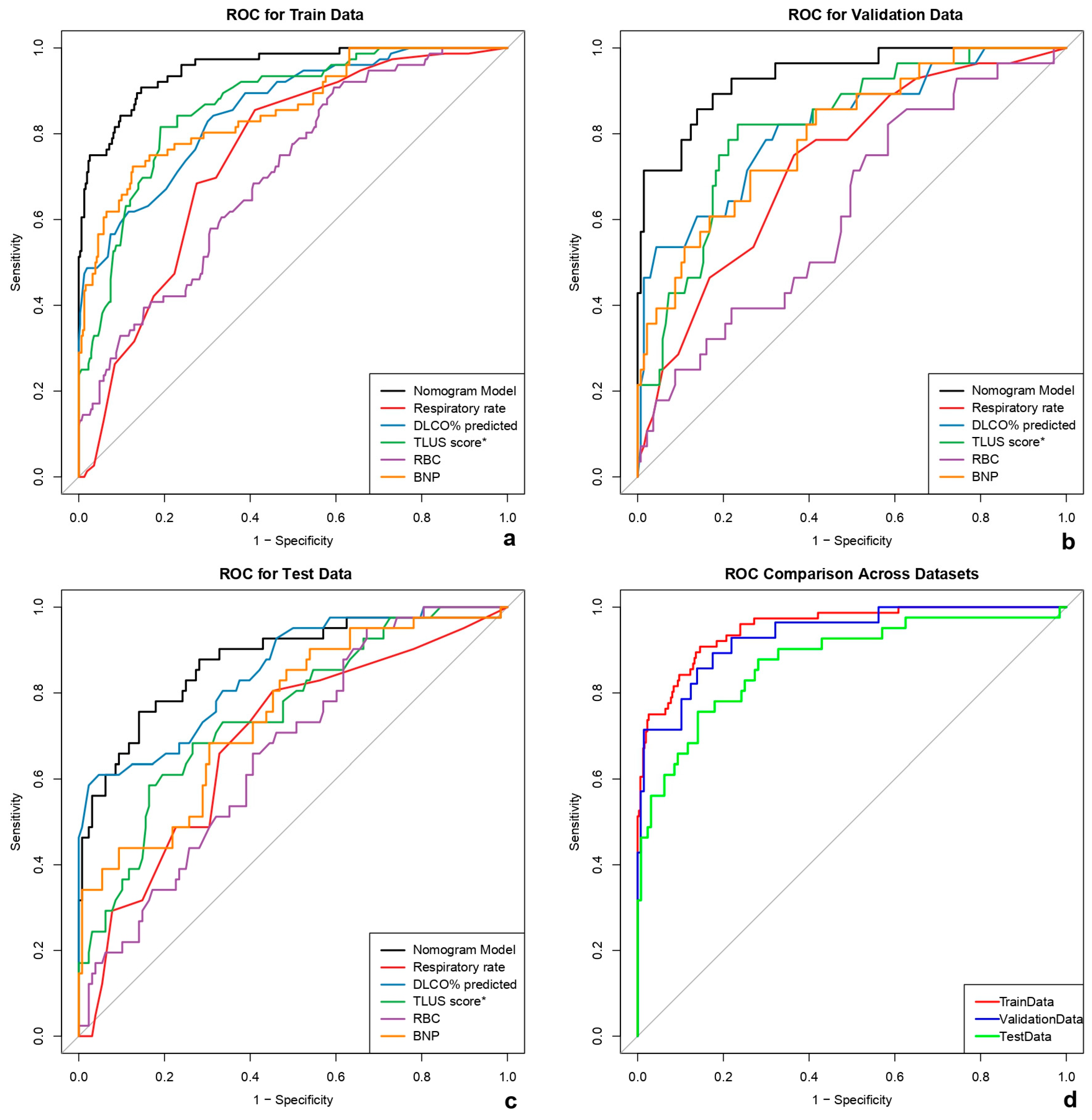
3.6. Evaluation of Model Performance
3.6.1. Accuracy and Discrimination
3.6.2. Calibration Performance
3.6.3. Bootstrap Internal Validation
3.6.4. Decision Curve Analysis
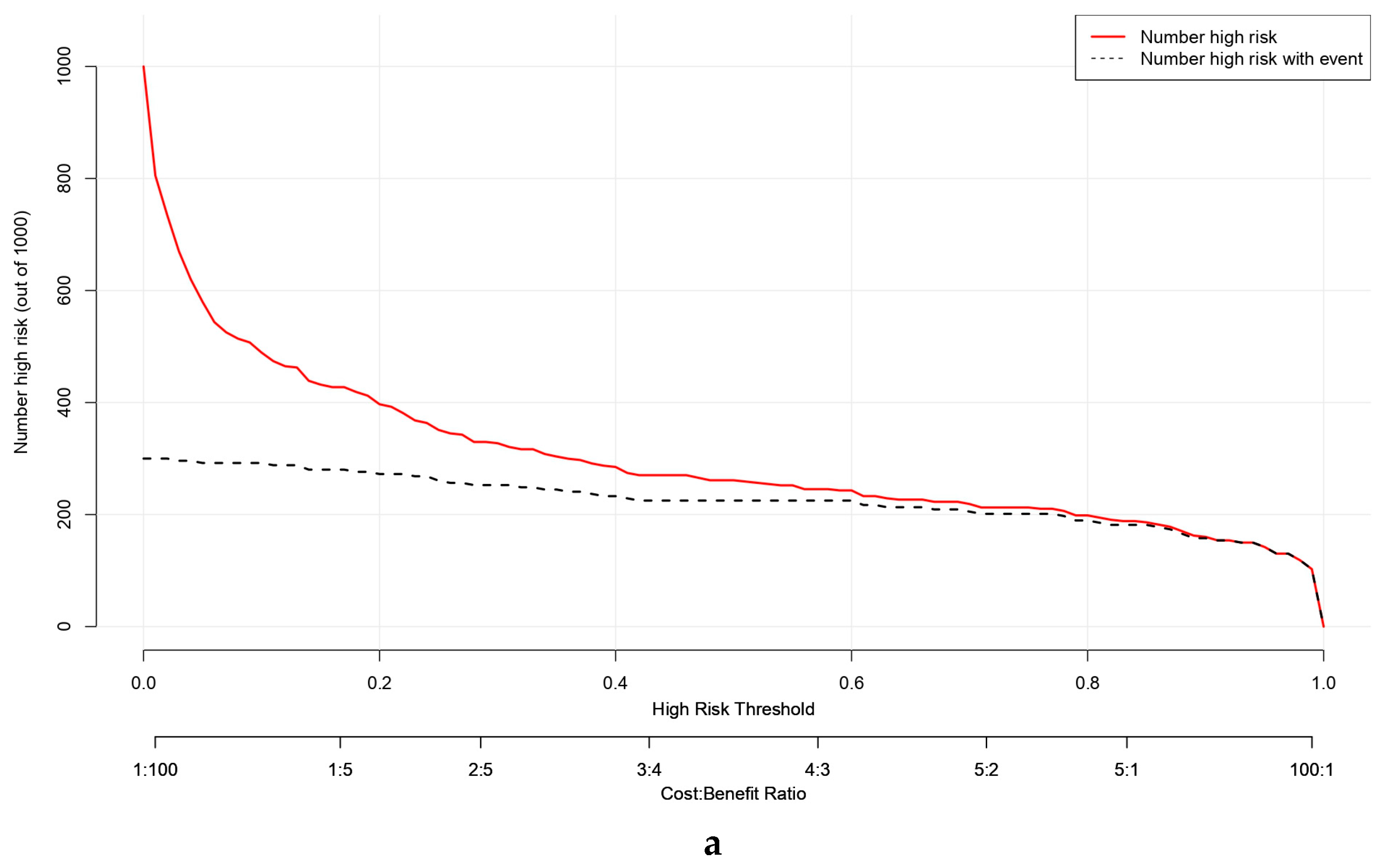
3.6.5. Clinical Impact Curve Analysis
4. Discussion
5. Conclusions
Supplementary Materials
Author Contributions
Funding
Institutional Review Board Statement
Informed Consent Statement
Data Availability Statement
Acknowledgments
Conflicts of Interest
Abbreviations
| Abbreviation | Full term |
| ACR | American College of Rheumatology |
| ALAT | Latin American Thoracic Association |
| AUC | Area under the (ROC) curve |
| ATS | American Thoracic Society |
| BNP | Brain natriuretic peptide |
| CIC | Clinical impact curve |
| CI | Confidence interval |
| CITL | Calibration-in-the-large |
| CRP | C-reactive protein |
| CTD | Connective tissue disease |
| CTD-ILD | Connective tissue disease-associated interstitial lung disease |
| DCA | Decision curve analysis |
| DLCO | Diffusing capacity of the lung for carbon monoxide |
| ERS | European Respiratory Society |
| ESC | European Society of Cardiology |
| FEV1 | Forced expiratory volume in one second |
| FiO2 | Fraction of inspired oxygen |
| HRCT | High-resolution computed tomography |
| ICC | Intraclass correlation coefficient |
| ILD | Interstitial lung disease |
| JRS | Japanese Respiratory Society |
| LASSO | Least absolute shrinkage and selection operator |
| LR+ | Positive likelihood ratio |
| LR− | Negative likelihood ratio |
| mPAP | Mean pulmonary arterial pressure |
| MCTD | Mixed connective tissue disease |
| NPV | Negative predictive value |
| OR | Odds ratio |
| PaO2 | Arterial partial pressure of oxygen |
| PAH | Pulmonary arterial hypertension |
| PH | Pulmonary hypertension |
| PLT | Platelet count |
| PM | Polymyositis |
| pSS | Primary Sjögren’s syndrome |
| PPV | Positive predictive value |
| RA | Rheumatoid arthritis |
| RBC | Red blood cell |
| ROC | Receiver operating characteristic |
| SLE | Systemic lupus erythematosus |
| SSc | Systemic sclerosis |
| TLUS | Transthoracic lung ultrasound |
| VIF | Variance inflation factor |
| WBC | White blood cell |
| WHO | World Health Organization |
References
- Humbert, M.; Kovacs, G.; Hoeper, M.M.; Badagliacca, R.; Berger, R.M.F.; Brida, M.; Carlsen, J.; Coats, A.J.S.; Escribano-Subias, P.; Ferrari, P.; et al. 2022 ESC/ERS Guidelines for the diagnosis and treatment of pulmonary hypertension. Eur. Respir. J. 2023, 61, 2200879. [Google Scholar] [CrossRef]
- Khangoora, V.; Bernstein, E.J.; King, C.S.; Shlobin, O.A. Connective tissue disease-associated pulmonary hypertension: A comprehensive review. Pulm. Circ. 2023, 13, e12276. [Google Scholar] [CrossRef]
- Kattih, Z.; Kim, H.C.; Aryal, S.; Nathan, S.D. Review of the Diagnosis and Management of Pulmonary Hypertension Associated with Interstitial Lung Disease (ILD-PH). J. Clin. Med. 2025, 14, 2029. [Google Scholar] [CrossRef]
- Rodolfi, S.; Ong, V.H.; Denton, C.P. Recent developments in connective tissue disease associated pulmonary arterial hypertension. Int. J. Cardiol. Congenit. Heart Dis. 2024, 16, 100513. [Google Scholar] [CrossRef]
- Shlobin, O.A.; Adir, Y.; Barbera, J.A.; Cottin, V.; Harari, S.; Jutant, E.M.; Pepke-Zaba, J.; Ghofrani, H.A.; Channick, R. Pulmonary hypertension associated with lung diseases. Eur. Respir. J. 2024, 64, 2401200. [Google Scholar] [CrossRef] [PubMed]
- Cueto-Robledo, G.; Roldan-Valadez, E.; Graniel-Palafox, L.E.; Garcia-Cesar, M.; Torres-Rojas, M.B.; Enriquez-Garcia, R.; Cueto-Romero, H.D.; Rivera-Sotelo, N.; Perez-Calatayud, A.A. Chronic Thromboembolic Pulmonary Hypertension (CTEPH): A Review of Another Sequel of Severe Post-Covid-19 Pneumonia. Curr. Probl. Cardiol. 2023, 48, 101187. [Google Scholar] [CrossRef]
- Steen, V.; Medsger, T.A., Jr. Predictors of isolated pulmonary hypertension in patients with systemic sclerosis and limited cutaneous involvement. Arthritis Rheum. 2003, 48, 516–522. [Google Scholar] [CrossRef]
- Young, A.; Nagaraja, V.; Basilious, M.; Habib, M.; Townsend, W.; Gladue, H.; Badesch, D.; Gibbs, J.S.R.; Gopalan, D.; Manes, A.; et al. Update of screening and diagnostic modalities for connective tissue disease-associated pulmonary arterial hypertension. Semin. Arthritis Rheum. 2019, 48, 1059–1067. [Google Scholar] [CrossRef] [PubMed]
- Toma, M.; Savonitto, G.; Lombardi, C.M.; Airo, E.; Driussi, M.; Gentile, P.; Howard, L.; Moschella, M.; Di Poi, E.; Pagnesi, M.; et al. Frequency, characteristics and risk assessment of pulmonary arterial hypertension with a left heart disease phenotype. Clin. Res. Cardiol. 2025, 114, 215–226. [Google Scholar] [CrossRef]
- Coghlan, J.G.; Denton, C.P.; Grunig, E.; Bonderman, D.; Distler, O.; Khanna, D.; Muller-Ladner, U.; Pope, J.E.; Vonk, M.C.; Doelberg, M.; et al. Evidence-based detection of pulmonary arterial hypertension in systemic sclerosis: The DETECT study. Ann. Rheum. Dis. 2014, 73, 1340–1349. [Google Scholar] [CrossRef] [PubMed]
- Volpicelli, G. Lung Ultrasound B-Lines in Interstitial Lung Disease: Moving From Diagnosis to Prognostic Stratification. Chest 2020, 158, 1323–1324. [Google Scholar] [CrossRef]
- Zhang, Y.; Lian, X.; Huang, S.; Li, L.; Zhao, Y.; Lai, H.; Lyu, G. A study of the diagnostic value of a modified transthoracic lung ultrasound scoring method in interstitial lung disease. Quant. Imaging Med. Surg. 2023, 13, 946–956. [Google Scholar] [CrossRef]
- D’Alto, M.; Di Maio, M.; Argiento, P.; Romeo, E.; Rea, G.; Liccardo, B.; Del Giudice, C.; Vergara, A.; Caiazza, E.; Del Vecchio, G.E.; et al. Right heart failure as a cause of pulmonary congestion in pulmonary arterial hypertension. Eur. J. Heart Fail. 2024, 26, 817–824. [Google Scholar] [CrossRef]
- Denton, C.P.; Khanna, D. Systemic sclerosis. Lancet 2017, 390, 1685–1699. [Google Scholar] [CrossRef]
- Smolen, J.S.; Aletaha, D.; McInnes, I.B. Rheumatoid arthritis. Lancet 2016, 388, 2023–2038. [Google Scholar] [CrossRef]
- Kiriakidou, M.; Ching, C.L. Systemic Lupus Erythematosus. Ann. Intern. Med. 2020, 172, ITC81–ITC96. [Google Scholar] [CrossRef] [PubMed]
- Brito-Zeron, P.; Baldini, C.; Bootsma, H.; Bowman, S.J.; Jonsson, R.; Mariette, X.; Sivils, K.; Theander, E.; Tzioufas, A.; Ramos-Casals, M. Sjogren syndrome. Nat. Rev. Dis. Primers 2016, 2, 16047. [Google Scholar] [CrossRef] [PubMed]
- Miller, F.W.; Rider, L.G.; Plotz, P.H.; Isenberg, D.A.; Oddis, C.V. Diagnostic criteria for polymyositis and dermatomyositis. Lancet 2003, 362, 1762–1763. [Google Scholar] [CrossRef] [PubMed]
- Raghu, G.; Remy-Jardin, M.; Myers, J.L.; Richeldi, L.; Ryerson, C.J.; Lederer, D.J.; Behr, J.; Cottin, V.; Danoff, S.K.; Morell, F.; et al. Diagnosis of Idiopathic Pulmonary Fibrosis. An Official ATS/ERS/JRS/ALAT Clinical Practice Guideline. Am. J. Respir. Crit. Care Med. 2018, 198, e44–e68. [Google Scholar] [CrossRef]
- Weng, Z.; Zhang, L.; Lin, D.; Yang, L.; Jin, Q.; Long, Y.; Li, W.; Pan, W.; Shu, X.; Zhou, D.; et al. Long-term follow-up in outpatients with mildly elevated pulmonary artery systolic pressure on echocardiography: A single-centre retrospective cohort study in Shanghai, China. BMJ Open 2024, 14, e086516. [Google Scholar] [CrossRef]
- Colalillo, A.; Hachulla, E.; Pellicano, C.; Smith, V.; Bergmann, C.; Riemekasten, G.; Zanatta, E.; Henes, J.; Launay, D.; Marcoccia, A.; et al. Diffusing Capacity of the Lungs for Carbon Monoxide and Echocardiographic Parameters in Identifying Mild Pulmonary Hypertension in the EUSTAR Cohort of Patients with Systemic Sclerosis. Chest 2024, 166, 837–844. [Google Scholar] [CrossRef]
- Zou, R.H.; Wallace, W.D.; Nouraie, S.M.; Chan, S.Y.; Risbano, M.G. Lower DLco% identifies exercise pulmonary hypertension in patients with parenchymal lung disease referred for dyspnea. Pulm. Circ. 2020, 10, 2045894019891912. [Google Scholar] [CrossRef]
- Lewis, R.A.; Durrington, C.; Condliffe, R.; Kiely, D.G. BNP/NT-proBNP in pulmonary arterial hypertension: Time for point-of-care testing? Eur. Respir. Rev. 2020, 29, 200009. [Google Scholar] [CrossRef]
- Pi, H.; Rayner, S.G.; Ralph, D.D.; Nolley, S.; Barros, L.M.; Steinberg, Z.L.; Leary, P.J. Thyroid-stimulating hormone and mortality in pulmonary arterial hypertension. BMJ Open Respir. Res. 2022, 9, e001348. [Google Scholar] [CrossRef]
- Gonzalez-Garcia, M.; Conde-Camacho, R.; Diaz, K.; Rodriguez-Cortes, C.; Rincon-Alvarez, E. Differences in Exercise Capacity, Ventilatory Efficiency, and Gas Exchange between Patients with Pulmonary Arterial Hypertension and Chronic Thromboembolic Pulmonary Hypertension Residing at High Altitude. Rev. Cardiovasc. Med. 2024, 25, 247. [Google Scholar] [CrossRef] [PubMed]
- Zhou, M.; Liu, X.; Li, L. Secondary polycythaemia from chronic hypoxia is a risk for cerebral thrombosis: A case report. BMC Neurol. 2023, 23, 225. [Google Scholar] [CrossRef]
- Rotondo, C.; Busto, G.; Rella, V.; Barile, R.; Cacciapaglia, F.; Fornaro, M.; Iannone, F.; Lacedonia, D.; Quarato, C.M.I.; Trotta, A.; et al. Transthoracic Lung Ultrasound in Systemic Sclerosis-Associated Interstitial Lung Disease: Capacity to Differentiate Chest Computed-Tomographic Characteristic Patterns. Diagnostics 2025, 15, 488. [Google Scholar] [CrossRef] [PubMed]
- Radic, M.; Dogas, H.; Gelemanovic, A.; Juric Petricevic, S.; Skopljanac, I.; Radic, J. Pulmonary Ultrasonography in Systemic Sclerosis-Induced Interstitial Lung Disease-A Systematic Review and Meta-Analysis. Diagnostics 2023, 13, 1429. [Google Scholar] [CrossRef]
- Stadler, S.; Mergenthaler, N.; Lange, T.J. The prognostic value of DLCO and pulmonary blood flow in patients with pulmonary hypertension. Pulm. Circ. 2019, 9, 2045894019894531. [Google Scholar] [CrossRef] [PubMed]
- Lammers, A.E.; Marek, J.; Diller, G.P.; Haworth, S.G.; Moledina, S. Prognostic Value of Transthoracic Echocardiography in Children with Pulmonary Arterial Hypertension. J. Am. Heart Assoc. 2023, 12, e023118. [Google Scholar] [CrossRef] [PubMed]
- Kacprzak, A.; Burakowska, B.; Kurzyna, M.; Fijalkowska, A.; Florczyk, M.; Wieteska-Milek, M.; Darocha, S.; Torbicki, A.; Szturmowicz, M. Predictive value of chest HRCT for survival in idiopathic pulmonary arterial hypertension. Respir. Res. 2021, 22, 293. [Google Scholar] [CrossRef] [PubMed]








| Variable | Training Cohort (385) | Validation Cohort (165) | p Value |
|---|---|---|---|
| PAH [n (%)] | |||
| No | 309 (80.3) | 138 (83.6) | 0.62 |
| Yes | 76 (19.7) | 27 (16.4) | |
| Gender [n (%)] | |||
| Male | 191 (49.6) | 80 (48.5) | 0.804 |
| Female | 194 (50.4) | 85 (51.5) | |
| Age (years) | 56.44 ± 13.38 | 56.41 ± 12.56 | 0.984 |
| Height (cm) | 164.39 ± 8.74 | 164.83 ± 9.21 | 0.599 |
| Weight (kg) | 57.27 ± 7.80 | 57.80 ± 7.40 | 0.463 |
| Respiratory rate (breaths/min) | 15.00 [13.00, 19.00] | 16.00 [12.00, 19.00] | 0.796 |
| DLCO predicted (%) | 71.00 [60.00, 82.00] | 75.00 [62.00, 85.00] | 0.146 |
| FEV1 predicted (%) | 75.00 [64.00, 86.00] | 78.00 [65.00, 85.00] | 0.224 |
| CRP (mg/L) | 21.48 [12.74, 27.81] | 20.18 [11.88, 28.20] | 0.458 |
| TLUS score (native/5) | 11.40 [6.40, 17.00] | 11.20 [6.60, 17.80] | 0.92 |
| Oxygenation index (PaO2/FiO2, mmHg) | 378.00 [285.00, 468.00] | 388.00 [285.00, 472.00] | 0.442 |
| pH value | 7.42 ± 0.03 | 7.42 ± 0.03 | 0.891 |
| WBC (×109/L) | 7.64 [6.35, 9.09] | 7.86 [6.26, 9.04] | 0.815 |
| RBC (×1012/L) | 4.68 [4.18, 5.09] | 4.54 [4.26, 5.00] | 0.544 |
| PLT (×109/L) | 252.58 [199.40, 298.45] | 233.67 [190.61, 287.33] | 0.054 |
| D-dimer (mg/L) | 0.38 [0.26, 0.54] | 0.40 [0.28, 0.51] | 0.827 |
| BNP (pg/mL) | 85.31 [58.63, 120.07] | 84.79 [55.60, 117.09] | 0.412 |
| CTD [n (%)] | |||
| PM | 62 (16.1) | 28 (17.0) | 0.275 |
| pSS | 49 (12.7) | 12 (7.3) | |
| RA | 55 (14.3) | 19 (11.5) | |
| SLE | 14 (3.6) | 6 (3.6) | |
| SSc | 137 (35.6) | 75 (45.5) | |
| MCTD | 68 (17.7) | 25 (15.2) |
| Variable | OR (95% CI) | p Value |
|---|---|---|
| Gender | 0.754 (0.455–1.248) | 0.272 |
| Age | 1.002 (0.984–1.021) | 0.805 |
| Height | 1.017 (0.988–1.047) | 0.247 |
| Weight | 1.002 (0.971–1.035) | 0.882 |
| Respiratory rate | 1.236 (1.153–1.326) | <0.001 |
| DLCO% predicted | 0.889 (0.865–0.914) | <0.001 |
| FEV1 predicted | 0.962 (0.946–0.978) | <0.001 |
| CRP | 0.995 (0.969–1.021) | 0.691 |
| TLUS score * | 1.282 (1.212–1.357) | <0.001 |
| Oxygenation index | 0.992 (0.990–0.994) | <0.001 |
| pH value | 639.635 (0.05–8.06 × 106) | 0.18 |
| WBC | 0.954 (0.856–1.063) | 0.394 |
| RBC | 3.588 (2.293–5.613) | <0.001 |
| PLT | 1.001 (0.997–1.006) | 0.596 |
| D-dimer | 1.785 (0.447–7.127) | 0.412 |
| BNP | 1.034 (1.025–1.042) | <0.001 |
| CTD subtype | 1.351 (0.546–3.344) | 0.515 |
| Variable | β Value | Wald Value | OR (95% CI) | p Value |
|---|---|---|---|---|
| Respiratory rate | 0.246 | 4.218 | 1.278 (1.146–1.442) | <0.001 |
| DLCO% predicted | −0.084 | −4.029 | 0.920 (0.880–0.956) | <0.001 |
| TLUS score * | 0.188 | 4.130 | 1.207 (1.107–1.326) | <0.001 |
| RBC | 0.936 | 2.700 | 2.551 (1.346–5.287) | <0.001 |
| BNP | 0.029 | 4.318 | 1.029 (1.017–1.043) | <0.001 |
| FEV1% predicted | 0.027 | 1.541 | 1.028 (0.993–1.065) | 0.123 |
| Oxygenation index | 0.005 | 1.926 | 1.005 (1.000–1.011) | 0.054 |
| Variable | VIF | Tolerance |
|---|---|---|
| Respiratory rate | 1.104 | 0.906 |
| DLCO% predicted | 1.207 | 0.829 |
| TLUS score * | 1.349 | 0.741 |
| RBC | 1.050 | 0.952 |
| BNP | 1.269 | 0.788 |
| FEV1% predicted | 1.267 | 0.789 |
| Oxygenation index | 1.708 | 0.585 |
| Indicator | Cohort | ||
|---|---|---|---|
| Training | Validation | Testing | |
| AUC (95% CI) | 0.952 (0.927–0.977) | 0.935 (0.885–0.985) | 0.874 (0.806–0.942) |
| Best threshold | 0.144 | 0.140 | 0.176 |
| TP | 69 | 23 | 30 |
| TN | 264 | 119 | 111 |
| FN | 7 | 4 | 10 |
| FP | 45 | 19 | 18 |
| Sensitivity | 0.908 | 0.857 | 0.756 |
| Specificity | 0.854 | 0.861 | 0.859 |
| Youden index | 0.762 | 0.718 | 0.615 |
| PLR | 6.230 | 6.180 | 5.360 |
| NLR | 0.110 | 0.170 | 0.280 |
| PPV | 0.605 | 0.548 | 0.625 |
| NPV | 0.974 | 0.967 | 0.917 |
Disclaimer/Publisher’s Note: The statements, opinions and data contained in all publications are solely those of the individual author(s) and contributor(s) and not of MDPI and/or the editor(s). MDPI and/or the editor(s) disclaim responsibility for any injury to people or property resulting from any ideas, methods, instructions or products referred to in the content. |
© 2026 by the authors. Licensee MDPI, Basel, Switzerland. This article is an open access article distributed under the terms and conditions of the Creative Commons Attribution (CC BY) license.
Share and Cite
Lian, X.; Liu, S.; Bai, J.; Zhang, Y.; Yang, J.; Fan, J.; Zhu, Z. A Lung Ultrasound-Integrated Clinical Model for Predicting Pulmonary Arterial Hypertension in Patients with Connective Tissue Disease-Associated Interstitial Lung Disease. Diagnostics 2026, 16, 203. https://doi.org/10.3390/diagnostics16020203
Lian X, Liu S, Bai J, Zhang Y, Yang J, Fan J, Zhu Z. A Lung Ultrasound-Integrated Clinical Model for Predicting Pulmonary Arterial Hypertension in Patients with Connective Tissue Disease-Associated Interstitial Lung Disease. Diagnostics. 2026; 16(2):203. https://doi.org/10.3390/diagnostics16020203
Chicago/Turabian StyleLian, Xihua, Shunlan Liu, Jing Bai, Ying Zhang, Jiaohong Yang, Jimin Fan, and Zhixing Zhu. 2026. "A Lung Ultrasound-Integrated Clinical Model for Predicting Pulmonary Arterial Hypertension in Patients with Connective Tissue Disease-Associated Interstitial Lung Disease" Diagnostics 16, no. 2: 203. https://doi.org/10.3390/diagnostics16020203
APA StyleLian, X., Liu, S., Bai, J., Zhang, Y., Yang, J., Fan, J., & Zhu, Z. (2026). A Lung Ultrasound-Integrated Clinical Model for Predicting Pulmonary Arterial Hypertension in Patients with Connective Tissue Disease-Associated Interstitial Lung Disease. Diagnostics, 16(2), 203. https://doi.org/10.3390/diagnostics16020203

