Predictors of Unfavorable Outcomes in Diabetic Foot Ulcers
Abstract
1. Introduction
2. Materials and Methods
2.1. Patient Population
- Disease codes, based on the International Statistical Classification of Diseases and Related Health Problems, Tenth Revision, Australian Modification (ICD-10-AM): E11.73, E10.73, E11.52, E10.52, L97, Z89.4, Z89.5, and Z89.6;
- Confirmed diagnosis of type 1 or type 2 diabetes mellitus;
- Seen by the multispecialty consultation unit at the Department of Endocrinology for a confirmed DFU;
- Age between 18 and 80 years.
2.2. Data Collection
2.3. Outcome Measures
2.4. Prediction Problem
2.4.1. Categorical Boosting
2.4.2. Random Forest
- n_estimators are used to control the ensemble size. In particular, it defines the number of decision trees in the forest. A larger number of trees generally improve stability and reduce variance but increase the computation time;
- max_depth, min_samples_split, and min_samples_leaf are the parameters used to determine the tree complexity. Using these parameters, the maximum depth of each tree, the minimum number of samples required to split a node, and the minimum number of samples allowed in a terminal leaf are specified, respectively. Collectively, these settings determine how each decision tree in the forest is constructed. By constraining depth, splits, and leaf size, the parameters are used to prevent the model from overfitting while maintaining sufficient flexibility to identify certain patterns in the data;
- max_features and bootstraps are used to control diversity and randomness. By regulating the number of features used at each split, the diversity and correlation of trees are controlled. In comparison, the randomness is introduced using bootstrap through resampling, which allows the reduction of variance and stabilizes the overall model performance.
2.4.3. Fine-Tuning of Model Parameters
2.4.4. Performance Metrics
2.4.5. Explanations Using SHAP Values
2.5. Ethical Considerations
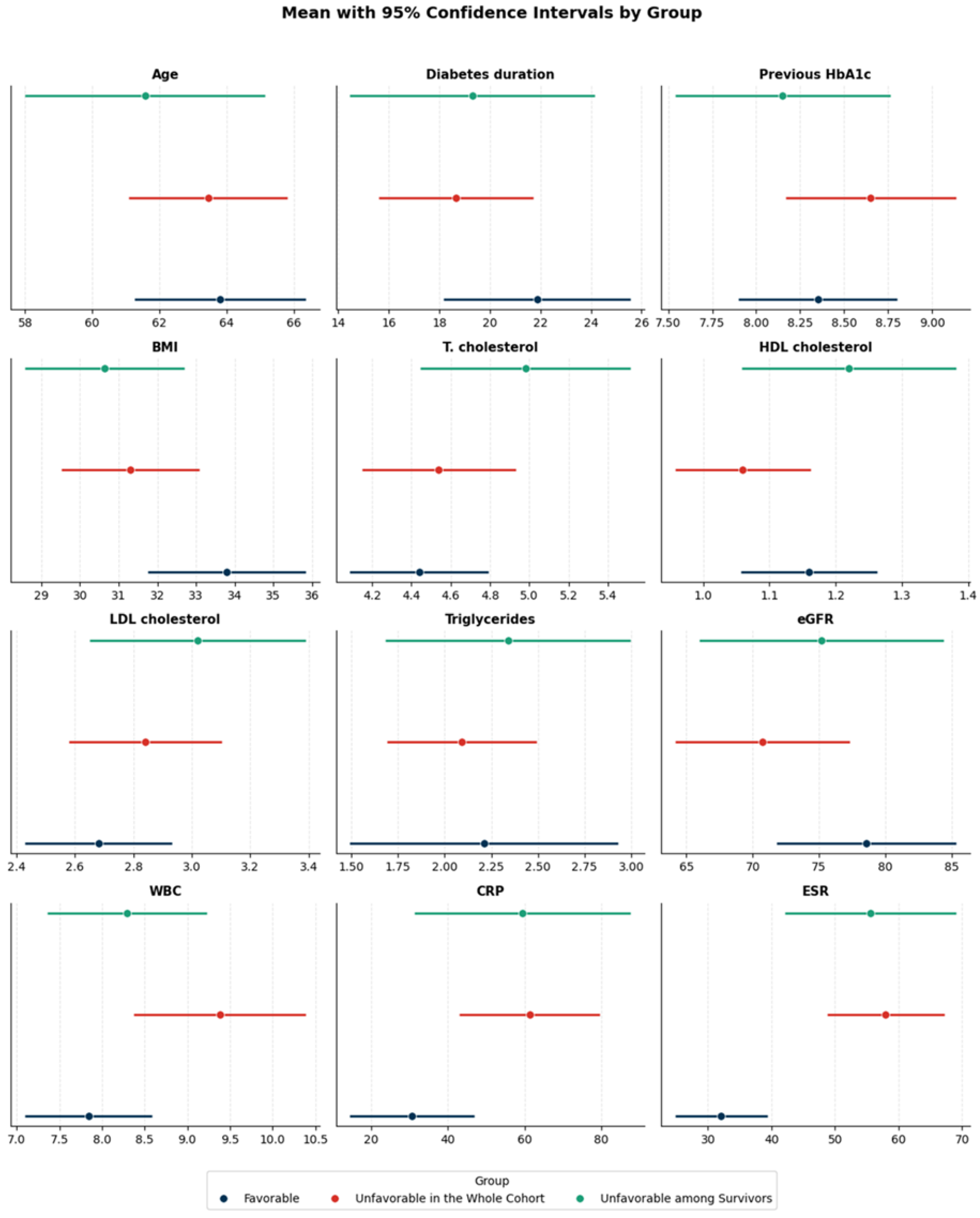
3. Results
Risk Factor Analysis and Modelling
4. Discussion
5. Conclusions
Supplementary Materials
Author Contributions
Funding
Institutional Review Board Statement
Informed Consent Statement
Data Availability Statement
Conflicts of Interest
Abbreviations
| AMPK | AMP-Activated Protein Kinase |
| AUC | Area Under the Receiver Operating Characteristic Curve |
| BMI | Body Mass Index |
| CatBoost | Categorical Boosting |
| CI | Confidence Interval |
| CKD | Chronic Kidney Disease |
| COPD | Chronic Obstructive Pulmonary Disease |
| CRP | C-Reactive Protein |
| CV | Cross-Validation |
| DFU | Diabetic Foot Ulcer |
| eGFR | Estimated Glomerular Filtration Rate |
| ESR | Erythrocyte Sedimentation Rate |
| ESRD | End-Stage Renal Disease |
| FN | False Negative |
| FP | False Positive |
| GLP-1RA | Glucagon-Like Peptide-1 Receptor Agonist(s) |
| HbA1c | Glycosylated Hemoglobin |
| HDL-C | High-Density Lipoprotein Cholesterol |
| ICD-10-AM | International Classification of Diseases, 10th Revision, Australian Modification |
| IQR | Interquartile Range |
| IWGDF | International Working Group on the Diabetic Foot |
| LDL-C | Low-Density Lipoprotein Cholesterol |
| Median | Second Quartile (50th percentile) |
| NLR | Neutrophil-to-Lymphocyte Ratio |
| Q1 | First Quartile (25th percentile) |
| Q3 | Third Quartile (75th percentile) |
| PAD | Peripheral Artery Disease |
| PDP | Partial Dependence Plot |
| PLR | Platelet-to-Lymphocyte Ratio |
| RF | Random Forest |
| ROC | Receiver Operating Characteristic |
| SD | Standard Deviation |
| SGLT-2i | Sodium–Glucose Cotransporter 2 Inhibitor(s) |
| SHAP | SHapley Additive exPlanations |
| TC | Total Cholesterol |
| T2D | Type 1 Diabetes |
| T2D | Type 2 Diabetes |
| TN | True Negative |
| TP | True Positive |
| TPE | Tree-Structured Parzen Estimator |
| WBC | White Blood Cell (count) |
| WHO | World Health Organization |
References
- International Diabetes Federation. IDF Diabetes Atlas, 11th ed.; International Diabetes Federation: Brussels, Belgium, 2025; Available online: https://diabetesatlas.org (accessed on 15 September 2025).
- Armstrong, D.G.; Boulton, A.J.M.; Bus, S.A. Diabetic Foot Ulcers and Their Recurrence. N. Engl. J. Med. 2017, 376, 2367–2375. [Google Scholar] [CrossRef]
- Fesseha, B.K.; Abularrage, C.J.; Hines, K.F.; Sherman, R.; Frost, P.; Langan, S.; Canner, J.; Likes, K.C.; Hosseini, S.M.; Jack, G.; et al. Association of Hemoglobin A1c and Wound Healing in Diabetic Foot Ulcers. Diabetes Care 2018, 41, 1478–1485. [Google Scholar] [CrossRef]
- Chen, L.; Sun, S.; Gao, Y.; Ran, X. Global Mortality of Diabetic Foot Ulcer: A Systematic Review and Meta-Analysis of Observational Studies. Diabetes Obes. Metab. 2023, 25, 36–45. [Google Scholar] [CrossRef]
- McDermott, K.; Fang, M.; Boulton, A.J.M.; Selvin, E.; Hicks, C.W. Etiology, Epidemiology, and Disparities in the Burden of Diabetic Foot Ulcers. Diabetes Care 2023, 46, 209–211. [Google Scholar] [CrossRef]
- Prompers, L.; Huijberts, M.; Apelqvist, J.; Jude, E.; Piaggesi, A.; Bakker, K.; Edmonds, M.; Holstein, P.; Jirkovska, A.; Mauricio, D.; et al. High Prevalence of Ischaemia, Infection and Serious Comorbidity in Patients with Diabetic Foot Disease in Europe. Baseline Results from the Eurodiale Study. Diabetologia 2007, 50, 18–25. [Google Scholar] [CrossRef]
- Lavery, L.A.; Armstrong, D.G.; Wunderlich, R.P.; Tredwell, J.; Boulton, A.J.M. Diabetic Foot Syndrome: Evaluating the Prevalence and Incidence of Foot Pathology in Mexican Americans and Non-Hispanic Whites from a Diabetes Disease Management Cohort. Diabetes Care 2003, 26, 1435–1438. [Google Scholar] [CrossRef] [PubMed]
- Lipsky, B.A.; Berendt, A.R.; Cornia, P.B.; Pile, J.C.; Peters, E.J.G.; Armstrong, D.G.; Deery, H.G.; Embil, J.M.; Joseph, W.S.; Karchmer, A.W.; et al. 2012 Infectious Diseases Society of America Clinical Practice Guideline for the Diagnosis and Treatment of Diabetic Foot Infections. Clin. Infect. Dis. 2012, 54, e132–e173. [Google Scholar] [CrossRef] [PubMed]
- Saluja, S.; Anderson, S.G.; Hambleton, I.; Shoo, H.; Livingston, M.; Jude, E.B.; Lunt, M.; Dunn, G.; Heald, A.H. Foot Ulceration and Its Association with Mortality in Diabetes Mellitus: A Meta-Analysis. Diabet. Med. 2020, 37, 211–218. [Google Scholar] [CrossRef] [PubMed]
- Zhang, C.H.; Jiao, C.Y.; Li, L.; Sui, C.H.; Ji, T.; Wang, F.; Wang, J.J.; Liu, X.N. Prognostic Value of the Site, Depth, and Infection/Ischemia Classification System in Diabetic Foot Ulcers: A Retrospective Cohort Study. Sci. Rep. 2025, 15, 27003. [Google Scholar] [CrossRef]
- Xu, J.; Gao, J.; Li, H.; Zhu, Z.; Liu, J.; Gao, C. The Risk Factors in Diabetic Foot Ulcers and Predictive Value of Prognosis of Wound Tissue Vascular Endothelium Growth Factor. Sci. Rep. 2024, 14, 14120. [Google Scholar] [CrossRef]
- Armstrong, D.G.; Tan, T.W.; Boulton, A.J.M.; Bus, S.A. Diabetic Foot Ulcers: A Review. JAMA 2023, 330, 62–75. [Google Scholar] [CrossRef]
- Crawford, F.; Cezard, G.; Chappell, F.M.; Murray, G.D.; Price, J.F.; Sheikh, A.; Simpson, C.R.; Stansby, G.P.; Young, M.J. A Systematic Review and Individual Patient Data Meta-Analysis of Prognostic Factors for Foot Ulceration in People with Diabetes: The International Research Collaboration for the Prediction of Diabetic Foot Ulcerations (PODUS). Health Technol. Assess. 2015, 19, 1–207. [Google Scholar] [CrossRef]
- Pickwell, K.; Siersma, V.; Kars, M.; Apelqvist, J.; Bakker, K.; Edmonds, M.; Holstein, P.; Jirkovská, A.; Jude, E.; Mauricio, D.; et al. Predictors of Lower-Extremity Amputation in Patients with an Infected Diabetic Foot Ulcer. Diabetes Care 2015, 38, 852–857. [Google Scholar] [CrossRef]
- Alvaro, P.B.; Joaquin, M.P.A.; Ana, E.D.Y.; Rolando, C.A.; Antonio, Q.C.; Elisa, M. Risk Factors Associated with Amputations in Patients with Diabetic Foot Infection: Seven Years of Experience in a Reference Hospital in Panama. The Diabetic Foot Study Group at Chiriqui (the FOOTCHI Study Group). Endocr. Metab. Sci. 2024, 16, 100184. [Google Scholar] [CrossRef]
- Farine, F.; Rapisarda, A.M.; Roani, C.; Giuli, C.; Comisi, C.; Mascio, A.; Greco, T.; Maccauro, G.; Perisano, C. Predictive Factors of Amputation in Diabetic Foot. Biomedicines 2024, 12, 2775. [Google Scholar] [CrossRef]
- Xu, T.; Hu, L.; Xie, B.; Huang, G.; Yu, X.; Mo, F.; Li, W.; Zhu, M. Analysis of Clinical Characteristics in Patients with Diabetic Foot Ulcers Undergoing Amputation and Establishment of a Nomogram Prediction Model. Sci. Rep. 2024, 14, 27934. [Google Scholar] [CrossRef]
- Liu, Z.; Wei, D.; Wang, J.; Gao, L. Predicting Major Amputation Risk in Diabetic Foot Ulcers Using Comparative Machine Learning Models for Enhanced Clinical Decision-Making. Sci. Rep. 2025, 15, 28103. [Google Scholar] [CrossRef] [PubMed]
- Huang, J.; Yang, J.; Qi, H.; Xu, M.; Xu, X.; Zhu, Y. Prediction Models for Amputation after Diabetic Foot: Systematic Review and Critical Appraisal. Diabetol. Metab. Syndr. 2024, 16, 126. [Google Scholar] [CrossRef] [PubMed]
- IWGDF. Practical Guidelines (2023 Update). IWGDF Guidelines. Available online: https://iwgdfguidelines.org/practical-guidelines-2023/ (accessed on 12 September 2025).
- Zhang, M.; Shen, T.; Li, Y.; Li, Q.; Lou, Y. Exploring the Complex Associations between Community Public Spaces and Healthy Aging: An Explainable Analysis Using CatBoost and SHAP. BMC Public Health 2025, 25, 2200. [Google Scholar] [CrossRef] [PubMed]
- Kuo, P.H.; Li, Y.H.; Yau, H.T. Development of Feline Infectious Peritonitis Diagnosis System by Using CatBoost Algorithm. Comput. Biol. Chem. 2024, 113, 108227. [Google Scholar] [CrossRef]
- Hamid, M.; Hajjej, F.; Alluhaidan, A.S.; bin Mannie, N.W. Fine Tuned CatBoost Machine Learning Approach for Early Detection of Cardiovascular Disease through Predictive Modeling. Sci. Rep. 2025, 15, 31199. [Google Scholar] [CrossRef]
- Castronuovo, G.; Favia, G.; Telesca, V.; Vammacigno, A. Analyzing the Interactions between Environmental Parameters and Cardiovascular Diseases Using Random Forest and SHAP Algorithms. Rev. Cardiovasc. Med. 2023, 24, 330. [Google Scholar] [CrossRef]
- Hu, J.; Szymczak, S. A Review on Longitudinal Data Analysis with Random Forest. Brief. Bioinform. 2023, 24, bbad002. [Google Scholar] [CrossRef]
- Song, J.; Gao, Y.; Yin, P.; Li, Y.; Li, Y.; Zhang, J.; Su, Q.; Fu, X.; Pi, H. The Random Forest Model Has the Best Accuracy among the Four Pressure Ulcer Prediction Models Using Machine Learning Algorithms. Risk Manag. Healthc. Policy 2021, 14, 1175–1187. [Google Scholar] [CrossRef]
- Dorogush, A.V.; Ershov, V.; Gulin, A. CatBoost: Gradient Boosting with Categorical Features Support. arXiv 2018, arXiv:1810.11363. [Google Scholar] [CrossRef]
- Hancock, J.T.; Khoshgoftaar, T.M. CatBoost for Big Data: An Interdisciplinary Review. J. Big Data 2020, 7, 94. [Google Scholar] [CrossRef]
- Zamzam, Y.F.; Saragih, T.H.; Herteno, R.; Muliadi; Nugrahadi, D.T.; Huynh, P.H. Comparison of CatBoost and Random Forest Methods for Lung Cancer Classification Using Hyperparameter Tuning Bayesian Optimization-Based. J. Electron. Electromed. Eng. Med. Inform. 2024, 6, 125–136. [Google Scholar] [CrossRef]
- Breiman, L. Random Forests. Mach. Learn. 2001, 45, 5–32. [Google Scholar] [CrossRef]
- Hao, J.; Luo, S.; Pan, L. Rule Extraction from Biased Random Forest and Fuzzy Support Vector Machine for Early Diagnosis of Diabetes. Sci. Rep. 2022, 12, 9858. [Google Scholar] [CrossRef] [PubMed]
- Wang, J.; Xu, Y.; Liu, L.; Wu, W.; Shen, C.; Huang, H.; Zhen, Z.; Meng, J.; Li, C.; Qu, Z.; et al. Comparison of LASSO and Random Forest Models for Predicting the Risk of Premature Coronary Artery Disease. BMC Med. Inform. Decis. Mak. 2023, 23, 297. [Google Scholar] [CrossRef] [PubMed]
- Gelbard, R.B.; Hensman, H.; Schobel, S.; Stempora, L.; Gann, E.; Moris, D.; Dente, C.J.; Buchman, T.G.; Kirk, A.D.; Elster, E. A Random Forest Model Using Flow Cytometry Data Identifies Pulmonary Infection after Thoracic Injury. J. Trauma Acute Care Surg. 2023, 95, 39–46. [Google Scholar] [CrossRef] [PubMed]
- Probst, P.; Wright, M.N.; Boulesteix, A. Hyperparameters and Tuning Strategies for Random Forest. WIREs Data Min. Knowl. Discov. 2019, 9, e1301. [Google Scholar] [CrossRef]
- Kelkar, K.M.; Bakal, J.W. Hyper Parameter Tuning of Random Forest Algorithm for Affective Learning System. In Proceedings of the 2020 Third International Conference on Smart Systems and Inventive Technology (ICSSIT), Tirunelveli, India, 20–22 August 2020; IEEE: Piscataway, NJ, USA, 2020; pp. 1192–1195. [Google Scholar] [CrossRef]
- Akiba, T.; Sano, S.; Yanase, T.; Ohta, T.; Koyama, M. Optuna: A Next-Generation Hyperparameter Optimization Framework. In Proceedings of the 25th ACM SIGKDD International Conference on Knowledge Discovery & Data Mining (KDD ’19), Anchorage, AK, USA, 4–8 August 2019; ACM: New York, NY, USA, 2019; pp. 2623–2631. [Google Scholar] [CrossRef]
- Lai, L.H.; Lin, Y.L.; Liu, Y.H.; Lai, J.P.; Yang, W.C.; Hou, H.P.; Pai, P.F. The Use of Machine Learning Models with Optuna in Disease Prediction. Electronics 2024, 13, 4775. [Google Scholar] [CrossRef]
- Bates, S.; Hastie, T.; Tibshirani, R. Cross-Validation: What Does It Estimate and How Well Does It Do It? J. Am. Stat. Assoc. 2024, 119, 1434–1445. [Google Scholar] [CrossRef]
- Rainio, O.; Teuho, J.; Klén, R. Evaluation Metrics and Statistical Tests for Machine Learning. Sci. Rep. 2024, 14, 6086. [Google Scholar] [CrossRef]
- Hur, S.; Lee, Y.; Park, J.; Jeon, Y.J.; Cho, J.H.; Cho, D.; Lim, D.; Hwang, W.; Cha, W.C.; Yoo, J. Comparison of SHAP and Clinician Friendly Explanations Reveals Effects on Clinical Decision Behaviour. NPJ Digit. Med. 2025, 8, 578. [Google Scholar] [CrossRef] [PubMed]
- Li, M.; Sun, H.; Huang, Y.; Chen, H. Shapley Value: From Cooperative Game to Explainable Artificial Intelligence. Auton. Intell. Syst. 2024, 4, 2. [Google Scholar] [CrossRef]
- Lundberg, S.; Lundberg, S.M.; Allen, P.G.; Lee, S.-I. A Unified Approach to Interpreting Model Predictions. arXiv 2017, arXiv:1705.07874. [Google Scholar] [CrossRef]
- Yang, J. Fast TreeSHAP: Accelerating SHAP Value Computation for Trees. arXiv 2022, arXiv:2202.00670. [Google Scholar] [CrossRef]
- Frykberg, R.G.; Zgonis, T.; Armstrong, D.G.; Driver, V.R.; Giurini, J.M.; Kravitz, S.R.; Landsman, A.S.; Lavery, L.A.; Moore, J.C.; Schuberth, J.M.; et al. Diabetic Foot Disorders: A Clinical Practice Guideline (2006 Revision). J. Foot Ankle Surg. 2006, 45, S1–S66. [Google Scholar] [CrossRef]
- Tang, W.; Zhao, Y.; Cheng, Z.; Xu, J.; Zhang, Y.; Liu, X. Risk Factors for Diabetic Foot Ulcers: A Systematic Review and Meta-Analysis. Vascular 2024, 32, 661–669. [Google Scholar] [CrossRef]
- Luo, Y.; Liu, C.; Li, C.; Jin, M.; Pi, L.; Jin, Z. The Incidence of Lower Extremity Amputation and Its Associated Risk Factors in Patients with Diabetic Foot Ulcers: A Meta-Analysis. Int. Wound J. 2024, 21, e14931. [Google Scholar] [CrossRef] [PubMed]
- Huang, Z.H.; Li, S.Q.; Kou, Y.; Huang, L.; Yu, T.; Hu, A. Risk Factors for the Recurrence of Diabetic Foot Ulcers among Diabetic Patients: A Meta-Analysis. Int. Wound J. 2019, 16, 1373–1382. [Google Scholar] [CrossRef] [PubMed]
- Xie, X.R.; Yu, M.F.; Xu, R.; Liu, Y.; Zhang, J. From Ulcer to Amputation: A Systematic Review of Prognostic Models for Diabetic Foot Ulcer Amputation. Risk Manag. Healthc. Policy 2025, 18, 3099–3111. [Google Scholar] [CrossRef]
- Armstrong, D.G.; Swerdlow, M.A.; Armstrong, A.A.; Conte, M.S.; Padula, W.V.; Bus, S.A. Five-Year Mortality and Direct Costs of Care for People with Diabetic Foot Complications Are Comparable to Cancer. J. Foot Ankle Res. 2020, 13, 16. [Google Scholar] [CrossRef]
- Guo, Z.; Yue, C.; Qian, Q.; He, H.; Mo, Z. Factors Associated with Lower-Extremity Amputation in Patients with Diabetic Foot Ulcers in a Chinese Tertiary Care Hospital. Int. Wound J. 2019, 16, 1304–1313. [Google Scholar] [CrossRef]
- Senneville, É.; Albalawi, Z.; van Asten, S.A.; Abbas, Z.G.; Allison, G.; Aragón-Sánchez, J.; Embil, J.M.; Lavery, L.A.; Alhasan, M.; Oz, O.; et al. IWGDF/IDSA Guidelines on the Diagnosis and Treatment of Diabetes-Related Foot Infections (IWGDF/IDSA 2023). Clin. Infect. Dis. 2023, ciad527. [Google Scholar] [CrossRef]
- Jo, S.-H. Triglycerides, Triglyceride-Rich Lipoproteins, and Remnant Cholesterol in Atherosclerotic Cardiovascular Disease. J. Lipid Atheroscler. 2025, 14, 247. [Google Scholar] [CrossRef]
- Ulloque-Badaracco, J.R.; Mosquera-Rojas, M.D.; Hernandez-Bustamante, E.A.; Alarcón-Braga, E.A.; Ulloque-Badaracco, R.R.; Al-Kassab-Córdova, A.; Herrera-Añazco, P.; Benites-Zapata, V.A.; Hernandez, A.V. Association between Lipid Profile and Apolipoproteins with Risk of Diabetic Foot Ulcer: A Systematic Review and Meta-Analysis. Int. J. Clin. Pract. 2022, 2022, 5450173. [Google Scholar] [CrossRef]
- Callaghan, B.C.; Feldman, E.; Liu, J.; Kerber, K.; Pop-Busui, R.; Moffet, H.; Karter, A.J. Triglycerides and Amputation Risk in Patients with Diabetes: Ten-Year Follow-Up in the DISTANCE Study. Diabetes Care 2011, 34, 635–640. [Google Scholar] [CrossRef] [PubMed]
- Sebastian-Valles, F.; Santiago-Redondo, A.; García-Artacho, E.; Sampedro-Nuñez, M.A.; Navas-Moreno, V.; Arranz Martín, J.A.; Marazuela, M. Impact of Remnant Cholesterol and Triglycerides on Diabetes Foot and Disease in Type 1 Diabetes: A Propensity Score-Matched Case-Control Study. J. Diabetes Complicat. 2025, 39, 109082. [Google Scholar] [CrossRef]
- Benites-Meza, J.K.; Malo-Castillo, J.; Herrera-Añazco, P.; Benites-Zapata, V.A. Atherogenic Markers and 1-Year Amputation Risk in Adults with Diabetic Foot in a Tertiary Level Hospital: A Retrospective Cohort Study. J. Diabetes Complicat. 2024, 38, 108810. [Google Scholar] [CrossRef]
- Wang, W.; Zhou, F.; Li, Y.; Liu, Y.; Sun, H.; Lv, Q.; Ding, W. U-Shaped Association between Triglyceride Glucose-Body Mass Index with All-Cause and Cardiovascular Mortality in US Adults with Osteoarthritis: Evidence from NHANES 1999–2020. Sci. Rep. 2024, 14, 70443. [Google Scholar] [CrossRef] [PubMed]
- Xie, X.; Liao, J.; Huang, C.; Li, X.; Cao, Q.; Kong, L.; Okamura, T.; Hashimoto, Y.; Obora, A.; Kojima, T.; et al. U-Shaped Association between Triglyceride and Risk of Incident Diabetes in Normoglycemic Males with NAFLD: A Population-Base Cohort Study. Int. J. Med. Sci. 2023, 20, 1417–1424. [Google Scholar] [CrossRef]
- Xu, S.; Herrera, A.; Schechter, C.; Tabassum, H.; Milosavljevic, J.; Lopez Fanas, R.; Daily, J.P.; Myers, A.K. The Risk of and Associated Demographic and Laboratory Variables for Amputations for Inpatients with Diabetic Foot Ulcers. Endocr. Pract. 2024, 30, 758–764. [Google Scholar] [CrossRef]
- Yang, B.; Zha, X.; Ding, Y. Risk Factors Associated with Amputation for Patients with Diabetic Foot Ulcers: A Retrospective Study. Diabetes Metab. Syndr. Obes. 2024, 17, 4201–4209. [Google Scholar] [CrossRef]
- Kalantar-Zadeh, K.; Rhee, C.M.; Chou, J.; Ahmadi, S.F.; Park, J.; Chen, J.L.T.; Amin, A.N. The Obesity Paradox in Kidney Disease: How to Reconcile It with Obesity Management. Kidney Int. Rep. 2017, 2, 271–281. [Google Scholar] [CrossRef]
- Al Yafi, M.; Nasif, A.; Glosser, L.D.; Ren, G.; Ahemd, A.; Nazzal, M.; Osman, M. The Relationship between Lower Extremity Amputation and Body Mass Index. Vascular 2023, 31, 922–930. [Google Scholar] [CrossRef] [PubMed]
- Nanayakkara, N.; Curtis, A.J.; Heritier, S.; Gadowski, A.M.; Pavkov, M.E.; Kenealy, T.; Owens, D.R.; Thomas, R.L.; Song, S.; Wong, J.; et al. Impact of Age at Type 2 Diabetes Mellitus Diagnosis on Mortality and Vascular Complications: Systematic Review and Meta-Analyses. Diabetologia 2021, 64, 275–287. [Google Scholar] [CrossRef] [PubMed]
- Tong, T.; Yang, C.; Tian, W.; Liu, Z.; Liu, B.; Cheng, J.; Cheng, Q.; Zhou, B. Phenotypes and Outcomes in Middle-Aged Patients with Diabetic Foot Ulcers: A Retrospective Cohort Study. J. Foot Ankle Res. 2020, 13, 33. [Google Scholar] [CrossRef]
- Margolis, D.J.; Hofstad, O.; Feldman, H.I. Association between Renal Failure and Foot Ulcer or Lower-Extremity Amputation in Patients with Diabetes. Diabetes Care 2008, 31, 1331–1336. [Google Scholar] [CrossRef]
- Otte, J.; Van Netten, J.J.; Woittiez, A.J.J. The Association of Chronic Kidney Disease and Dialysis Treatment with Foot Ulceration and Major Amputation. J. Vasc. Surg. 2015, 62, 406–411. [Google Scholar] [CrossRef]
- Nandakumar, D.; Johnson, M.J.; Lavery, L.A.; Conover, B.M.; Raspovic, K.M.; Truong, D.H.; Wukich, D.K. Lower Extremity Amputation Rates in Patients with Chronic Kidney Disease: A Database Study Comparing Patients with and without Diabetes Mellitus. J. Diabetes Complicat. 2024, 38, 108876. [Google Scholar] [CrossRef]
- Kwon, A.S.; Ha, J.H.; Kim, D.K.; Kim, Y.S.; Lim, C.S.; Chang, H.; Lee, J.P.; Park, J.-U. Advantages of Metformin Therapy for the Prevention and Mitigation of Diabetic Foot Ulcer in Patients with Diabetic Kidney Disease: Real-World Evidence from a Large-Scale Cohort. Diabetes Res. Clin. Pract. 2024, 210, 110248. [Google Scholar] [CrossRef]
- Rena, G.; Hardie, D.G.; Pearson, E.R. The Mechanisms of Action of Metformin. Diabetologia 2017, 60, 1577–1585. [Google Scholar] [CrossRef] [PubMed]
- Viollet, B.; Guigas, B.; Garcia, N.S.; Leclerc, J.; Foretz, M.; Andreelli, F. Cellular and Molecular Mechanisms of Metformin: An Overview. Clin. Sci. 2012, 122, 253–270. [Google Scholar] [CrossRef]
- Yazdanpanah, L.; Shahbazian, H.; Nazari, I.; Arti, H.R.; Ahmadi, F.; Mohammadianinejad, S.E.; Cheraghian, B.; Hesam, S. Incidence and Risk Factors of Diabetic Foot Ulcer: A Population-Based Diabetic Foot Cohort (ADFC Study)—Two-Year Follow-Up Study. Int. J. Endocrinol. 2018, 2018, 7631659. [Google Scholar] [CrossRef] [PubMed]
- Yan, T.; Dou, Z.; Claire, M.; Ellen, K.; Caroline, M. Risk Factors for First-Ever Diabetes-Related Foot Ulcer: A Systematic Review and Meta-Analysis. Int. Wound J. 2025, 22, e70728. [Google Scholar] [CrossRef]







| Variable | Mean ± SD | Min–Max | Q1 | Median | Q3 |
|---|---|---|---|---|---|
| Age (years) | 63.62 ± 8.79 | 41.00–77.00 | 57.00 | 65.00 | 69.25 |
| Diabetes duration (years) | 20.19 ± 12.19 | 1.00–60.00 | 12.00 | 18.00 | 26.00 |
| Previous HbA1c (%) | 8.50 ± 1.69 | 5.60–13.40 | 7.25 | 8.30 | 9.60 |
| BMI (kg/m2) | 32.55 ± 6.96 | 15.04–54.05 | 27.85 | 31.70 | 36.69 |
| T. cholesterol (mmol/L) | 4.49 ± 1.35 | 2.03–8.60 | 3.45 | 4.35 | 5.35 |
| HDL cholesterol (mmol/L) | 1.11 ± 0.37 | 0.42–2.40 | 0.86 | 1.01 | 1.28 |
| LDL cholesterol (mmol/L) | 2.77 ± 0.93 | 1.25–5.41 | 2.03 | 2.60 | 3.37 |
| Triglycerides (mmol/L) | 2.15 ± 2.02 | 0.39–17.98 | 1.16 | 1.65 | 2.62 |
| eGFR (mL/min/1.73 m2) | 74.45 ± 24.27 | 14.10–127.68 | 59.40 | 74.90 | 93.15 |
| WBC (×109/L) | 8.68 ± 3.35 | 4.20–23.20 | 6.50 | 7.80 | 10.10 |
| CRP (mg/L) | 47.69 ± 64.59 | 2.00–290.60 | 5.60 | 18.65 | 56.58 |
| ESR (mm/h) | 47.49 ± 33.40 | 2.00–116.00 | 15.50 | 47.00 | 80.50 |
Disclaimer/Publisher’s Note: The statements, opinions and data contained in all publications are solely those of the individual author(s) and contributor(s) and not of MDPI and/or the editor(s). MDPI and/or the editor(s) disclaim responsibility for any injury to people or property resulting from any ideas, methods, instructions or products referred to in the content. |
© 2025 by the authors. Licensee MDPI, Basel, Switzerland. This article is an open access article distributed under the terms and conditions of the Creative Commons Attribution (CC BY) license (https://creativecommons.org/licenses/by/4.0/).
Share and Cite
Pauliukienė, R.; Šutienė, K.; Čemerkaitė, A.; Čeponis, J. Predictors of Unfavorable Outcomes in Diabetic Foot Ulcers. Diagnostics 2025, 15, 3070. https://doi.org/10.3390/diagnostics15233070
Pauliukienė R, Šutienė K, Čemerkaitė A, Čeponis J. Predictors of Unfavorable Outcomes in Diabetic Foot Ulcers. Diagnostics. 2025; 15(23):3070. https://doi.org/10.3390/diagnostics15233070
Chicago/Turabian StylePauliukienė, Renata, Kristina Šutienė, Aistė Čemerkaitė, and Jonas Čeponis. 2025. "Predictors of Unfavorable Outcomes in Diabetic Foot Ulcers" Diagnostics 15, no. 23: 3070. https://doi.org/10.3390/diagnostics15233070
APA StylePauliukienė, R., Šutienė, K., Čemerkaitė, A., & Čeponis, J. (2025). Predictors of Unfavorable Outcomes in Diabetic Foot Ulcers. Diagnostics, 15(23), 3070. https://doi.org/10.3390/diagnostics15233070

