Right Ventricular Myocardial Metabolism and Cardiorespiratory Testing in Patients with Idiopathic Pulmonary Arterial Hypertension
Abstract
1. Introduction
2. Methods
2.1. Data Collection
2.2. PET/CT Protocol
2.3. Study Population
2.4. Statistical Analysis
3. Results
3.1. Patients’ Characteristics Depending on ESC/ERS Risk Status
3.2. CPET Parameters According to the ESC/ERS 2022 Risk Status
3.3. Correlations Between CPET and Hemodynamics
3.4. Correlations Between CPET and Cardiac MRI Parameters
3.5. Correlations Between CPET Parameters and [18F]-FDG and [13N]-Ammonia RV Myocardial Uptake
3.6. Changes in [18F]-FDG and [13N]-Ammonia Uptake by the RV Myocardium Depending on Risk Categories of the Main CPET Determinants of Prognosis
3.7. Peak Oxygen Consumption Category
3.8. The Percent of Predicted Peak Oxygen Consumption Category
3.9. The Ratio of Minute Ventilation to Carbon Dioxide Production Category
3.10. The Mean Values of [18F]-FDG and [13N]-Ammonia Uptake by the RV Myocardium Depending on the Risk Status and CPET Categories
3.11. PET/CT and MRI Predictores for the Peak Oxygen Consumption and Minute Ventilation per Unit Carbon Dioxide Production
4. Discussion
5. Conclusions
Limitations
Supplementary Materials
Author Contributions
Funding
Institutional Review Board Statement
Informed Consent Statement
Data Availability Statement
Acknowledgments
Conflicts of Interest
Abbreviations
| AT | Anaerobic threshold |
| AVT | Acute vasoreactive test |
| BR | Breathing reserve |
| BMI | Body mass index |
| CI | Cardiac index |
| CCB | Calcium channel blockers |
| CPET | Cardiopulmonary exercise test |
| dO2/dW | The slope between the change in oxygen consumption relative to the change in work rate |
| EDVi | End–diastolic volume index |
| ESVi | End–systolic volume index |
| eGFR | Estimated glomerular filtration rate |
| EF | Ejection fraction |
| ESC | European Society of Cardiology |
| ERS | European Respiratory Society |
| ERA | Endothelin receptor antagonist |
| FC | Functional class |
| FDG | Fluorodeoxyglucose |
| HR/Vkg | Heart rate slope |
| IQR | Interquartile range |
| IPAH | Idiopathic pulmonary arterial hypertension |
| LA | Left atrial |
| LV | Left ventricle; |
| mBP | Mean blood pressure |
| mPAP | Mean pulmonary artery pressure |
| MRI | Magnetic resonance imaging |
| NT-proBNP | N-terminal pro-brain-type natriuretic peptide |
| PAC | Pulmonary artery compliance |
| PAH | Pulmonary arterial hypertension |
| PCWP | Pulmonary capillary wedge pressure |
| PET | Positron emission tomography |
| Pet CO2 | Partial pressure of end-tidal carbon dioxide |
| PVR | Pulmonary vascular resistance |
| RA | Right atrial |
| RAP | Right atrial pressure |
| RHC | Right heart catheterization |
| ROI | Region of interest |
| RV | Right ventricle |
| Sat O2 | Arterial oxygen saturation |
| SV | Stroke volume |
| SUV | Standardized uptake value |
| SvO2 | Mixed venous oxygen saturation |
| 6MWT | Six minute walk test |
| [18F]-FDG | 18F-fluorodeoxyglucose |
| [13N]-NH3 | Ammonia |
| VE | Ventilator equivalent |
| VE/VCO2 | Minute ventilation per unit carbon dioxide production |
| VO2/HR | Oxygen pulse |
| VO2 peak | Peak oxygen consumption |
| VO2/kgAT | Peak oxygen consumption at anaerobic threshold |
| ΔVO2/ΔWR | The ratio between oxygen consumption and workload |
| ΔVD/VT | Delta peak to rest of the ratio of the dead space volume to the tidal volume |
References
- Sanders, J.L.; Koestenberger, M.; Rosenkranz, S.; Maron, B.A. Right ventricular dysfunction and long-term risk of death. Cardiovasc. Diagn. Ther. 2020, 10, 1646–1658. [Google Scholar] [CrossRef]
- Tuomainen, T.; Tavi, P. The role of cardiac energy metabolism in cardiac hypertrophy and failure. Exp. Cell Res. 2017, 360, 12–18. [Google Scholar] [CrossRef]
- Real, C.; Pérez-García, C.N.; Galán-Arriola, C.; García-Lunar, I.; García-Álvarez, A. Right ventricular dysfunction: Pathophysiology; experimental models; evaluation; treatment. Rev. Esp. Cardiol. (Engl. Ed.) 2024, 77, 957–970. [Google Scholar] [CrossRef] [PubMed]
- Agrawal, V.; Lahm, T.; Hansmann, G.; Hemnes, A.R. Molecular mechanisms of right ventricular dysfunction in pulmonary arterial hypertension: Focus on the coronary vasculature, sex hormones, and glucose/lipid metabolism. Cardiovasc. Diagn. Ther. 2020, 10, 1522–1540. [Google Scholar] [CrossRef] [PubMed]
- García-Lunar, I.; Jorge, I.; Sáiz, J.; Solanes, N.; Dantas, A.P.; Rodríguez-Arias, J.J.; Ascaso, M.; Galán-Arriola, C.; Jiménez, F.R.; Sandoval, E.; et al. Metabolic changes contribute to maladaptive right ventricular hypertrophy in pulmonary hypertension beyond pressure overload: An integrative imaging and omics investigation. Basic Res. Cardiol. 2024, 119, 419–433. [Google Scholar] [CrossRef]
- Sumer, C.; Okumus, G.; Isik, E.G.; Turkmen, C.; Bilge, A.K.; Inanc, M. (18)F-fluorodeoxyglucose uptake by positron emission tomography in patients with IPAH and CTEPH. Pulm. Circ. 2024, 14, e12363. [Google Scholar] [CrossRef]
- Goncharova, N.; Ryzhkova, D.; Lapshin, K.; Ryzhkov, A.; Malanova, A.; Andreeva, E.; Moiseeva, O. PET/CT Imaging of the Right Heart Perfusion and Glucose Metabolism Depending on a Risk Status in Patients with Idiopathic Pulmonary Arterial Hypertension. Pulm Circ. 2025, 15, e70042. [Google Scholar] [CrossRef]
- Dumitrescu, D.; Sitbon, O.; Weatherald, J.; Howard, L.S. Exertional dyspnoea in pulmonary arterial hypertension. Eur. Respir. Rev. 2017, 26, 170039. [Google Scholar] [CrossRef]
- Pezzuto, B.; Agostoni, P. The Current Role of Cardiopulmonary Exercise Test in the Diagnosis and Management of Pulmonary Hypertension. J. Clin. Med. 2023, 12, 5465. [Google Scholar] [CrossRef]
- Singh, I.; Oliveira, R.K.F.; Heerdt, P.; Brown, M.B.; Faria-Urbina, M.; Waxman, A.B.; Systrom, D.M. Dynamic right ventricular function response to incremental exercise in pulmonary hypertension. Pulm. Circ. 2020, 10, 1–8. [Google Scholar] [CrossRef]
- Badagliacca, R.; Rischard, F.; Papa, S.; Kubba, S.; Vanderpool, R.; Yuan, J.X.-J.; Garcia, J.G.; Airhart, S.; Poscia, R.; Pezzuto, B.; et al. Clinical implications of idiopathic pulmonary arterial hypertension phenotypes defined by cluster analysis. J. Heart Lung Transplant. 2020, 39, 310–320. [Google Scholar] [CrossRef]
- Martínez-Meñaca, A.; Cruz-Utrilla, A.; Mora-Cuesta, V.M.; Luna-López, R.; la Cal, T.S.; Flox-Camacho, Á.; Alonso-Lecue, P.; Escribano-Subias, P.; Cifrián-Martínez, J.M. Simplified risk stratification based on cardiopulmonary exercise test: A Spanish two-center experience. Pulm. Circ. 2024, 14, e12342. [Google Scholar] [CrossRef]
- Avdeev, S.N.; Barbarash, O.L.; Bautin, A.E.; Volkov, A.V.; Veselova, T.N.; Galyavich, A.S.; Goncharova, N.S.; Gorbachevsky, S.V.; Danilov, N.M.; Eremenko, A.A.; et al. 2020 Clinical practice guidelines for Pulmonary hypertension, including chronic thromboembolic pulmonary hypertension. Russ. J. Cardiol. 2021, 26, 4683. [Google Scholar] [CrossRef]
- Humbert, M.; Kovacs, G.; Hoeper, M.M.; Badagliacca, R.; Berger, R.M.F.; Brida, M.; Carlsen, J.; Coats, A.J.S.; Escribano-Subias, P.; Ferrari, P.; et al. 2022 ESC/ERS Guidelines for the diagnosis and treatment of pulmonary hypertension. Eur. Heart J. 2022, 43, 3618–3731. [Google Scholar] [CrossRef]
- Avdeev, S.N.; Barbarash, O.L.; Valieva, Z.S.; Volkov, A.V.; Veselova, T.N.; Galyavich, A.S.; Goncharova, N.S.; Gorbachevsky, S.V.; Gramovich, V.V.; Danilov, N.M.; et al. 2024 Clinical practice guidelines for Pulmonary hypertension, including chronic thromboembolic pulmonary hypertension. Russ. J. Cardiol. 2024, 29, 6161. (In Russian) [Google Scholar] [CrossRef]
- DeFronzo, R.A.; Tobin, J.D.; Andres, R. Glucose clamp technique: A method for quantifying insulin secretion and resistance. Am J Physiol 1979, 273, E214–E223. [Google Scholar] [CrossRef] [PubMed]
- Langleben, D.; Orfanos, S.E.; Fox, B.D.; Messas, N.; Giovinazzo, M.; Catravas, J.D. The Paradox of Pulmonary Vascular Resistance: Restoration of Pulmonary Capillary Recruitment as a Sine Qua Non for True Therapeutic Success in Pulmonary Arterial Hypertension. J. Clin. Med. 2022, 11, 4568. [Google Scholar] [CrossRef]
- Noordegraaf, A.V.; Westerhof, B.E.; Westerhof, N. The Relationship Between the Right Ventricle and its Load in Pulmonary Hypertension. J. Am. Coll. Cardiol. 2017, 69, 236–243. [Google Scholar] [CrossRef]
- Nakaya, T.; Ohira, H.; Sato, T.; Watanabe, T.; Nishimura, M.; Oyama-Manabe, N.; Kato, M.; Ito, Y.M.; Tsujino, I. Right ventriculo-pulmonary arterial uncoupling and poor outcomes in pulmonary arterial hypertension. Pulm. Circ. 2020, 10, 1–11. [Google Scholar] [CrossRef]
- Pezzuto, B.; Badagliacca, R.; Muratori, M.; Farina, S.; Bussotti, M.; Correale, M.; Bonomi, A.; Vignati, C.; Sciomer, S.; Papa, S.; et al. Role of cardiopulmonary exercise test in the prediction of hemodynamic impairment in patients with pulmonary arterial hypertension. Pulm. Circ. 2022, 12, e12044. [Google Scholar] [CrossRef]
- Sherman, A.E.; Saggar, R. Cardiopulmonary Exercise Testing in Pulmonary Arterial Hypertension. Heart Fail. Clin. 2023, 19, 35–43. [Google Scholar] [CrossRef] [PubMed]
- Goncharova, N.S.; Ryzhkov, A.V.; Lapshin, K.B.; Kotova, A.F.; Moiseeva, O.M. Cardiac magnetic resonance imaging in mortality risk stratification of patients with pulmonary hypertension. Russ. J. Cardiol. 2023, 28, 5540. [Google Scholar] [CrossRef]
- Heerd, P.M.; Singh, I.; Elassal, A.; Kheyfets, V.; Richter, M.J.; Tello, K. Pressure-based estimation of right ventricular ejection fraction. ESC Heart Fail. 2022, 9, 1436–1443. [Google Scholar] [CrossRef]
- Alabed, S.; Garg, P.; Alandejani, F.; Dwivedi, K.; Maiter, A.; Karunasaagarar, K.; Rajaram, S.; Hill, C.; Thomas, S.; Gossling, R.; et al. Establishing minimally important differences for cardiac MRI end-points in pulmonary arterial hypertension. Eur. Respir. J. 2023, 62, 2202225. [Google Scholar] [CrossRef]
- Ohira, H.; Dekemp, R.; Pena, E.; Davies, R.A.; Stewart, D.J.; Chandy, G.; Contreras-Dominguez, V.; Dennie, C.; Mc Ardle, B.; Mc Klein, R.; et al. Shifts in myocardial fatty acid and glucose metabolism in pulmonary arterial hypertension: A potential mechanism for a maladaptive right ventricular response. Eur. Heart J. Cardiovasc. Imaging 2016, 17, 1424–1431. [Google Scholar] [CrossRef]
- Chen, S.; Zou, Y.; Song, C.; Cao, K.; Cai, K.; Wu, Y.; Zhang, Z.; Geng, D.; Sun, W.; Ouyang, N.; et al. The role of glycolytic metabolic pathways in cardiovascular disease and potential therapeutic approaches. Basic Res. Cardiol. 2023, 118, 48. [Google Scholar] [CrossRef]
- Trujillo, J.O.; Tura-Ceide, O.; Pavia, J.; Vollmer, I.; Blanco, I.; Smolders, V.; Ninerola, A.; Paredes, P.; Ruiz-Cabello, J.; Castellà, M.; et al. 18-FDG uptake on PET-CT and metabolism in pulmonary arterial hypertension. Pulm. Hypertens. 2021, 58, PA588. [Google Scholar] [CrossRef]
- Kazimierczyk, R.; Szumowski, P.; Nekolla, S.G.; Malek, L.A.; Blaszczak, P.; Hladunski, M.; Sobkowicz, B.; Mysliwiec, J.; Kaminski, K.A. The impact of specific pulmonary arterial hypertension therapy on cardiac fluorodeoxyglucose distribution in PET/MRI hybrid imaging-follow-up study. EJNMMI Res. 2023, 13, 20. [Google Scholar] [CrossRef]
- Song, Y.; Jia, H.; Ma, Q.; Zhang, L.; Lai, X.; Wang, Y. The causes of pulmonary hypertension and the benefits of aerobic exercise for pulmonary hypertension from an integrated perspective. Front. Physiol. 2024, 15, 1461519. [Google Scholar] [CrossRef]
- Ferreira, E.V.M.; Lucena, J.S.; Oliveira, R.K.F. The role of the exercise physiology laboratory in disease management: Pulmonary arterial hypertension. J. Bras. Pneumol. 2024, 50, e20240240. [Google Scholar] [CrossRef]
- Chin, K.M.; Gaine, S.P.; Gerges, C.; Jing, Z.C.; Mathai, S.C.; Tamura, Y.; McLaughlin, V.V.; Sitbon, O. Treatment algorithm for pulmonary arterial hypertension. Eur. Respir. J. 2024, 64, 2401325. [Google Scholar] [CrossRef]



| Parameters, n (%); M ± SD; Me [IQR 25; 75]. | Entire Cohort, n = 34 | Low Risk, n = 11 | Intermediate Risk, n = 17 | High Risk, n = 6 | p-Value (*, **, ***) |
|---|---|---|---|---|---|
| Age (years) | 33.9 ± 8.7 | 33.1 ± 7.8 | 34.4 ±10.2 | 34.5 ± 7.2 | 0.9 (0.7; 0.9; 0.7) |
| Male, n (%) | 3 (8.8) | 2 (18.1) | 1 (5.8) | 0 (0) | n/a |
| BMI (kg/m2) | 25.3 ± 6.5 | 24.2 ± 4.0 | 26.2 ± 7.8 | 26.3 ± 7.3 | 0.7 (0.4; 0.9; 0.4) |
| Smoking, n (%) | 6 (17.6) | 3 (27) | 2 (11.7) | 1 (16.7) | n/a |
| Prevalent, n (%) | 6 (17.6) | 3 (27.2) | 1 (5.8) | 2 (33.3) | n/a |
| FC III-IV, n (%) | 20 (58.8) | 0 | 14 (82) | 6 (100) | 0.0002 |
| 6MWT, m | 394.1 ±121.2 | 469.1 ± 71.6 | 365.7 ± 101.9 | 319.7 ± 178.2 | 0.01 (0.006; 0.4; 0.02) |
| Laboratory parameters | |||||
| NT-proBNP, pg/ml | 767 [144; 2835] | 114.0 [55.5; 210.0] | 1016.0 [532.9; 2796.0] | 4443.0 [3450.0; 5576.0] | 0.00005 (0.006; 0.006;.000001) |
| CRP, mg/l | 2.2 ± 1.9 | 1.2 ±0.6 | 2.2 ±1.6 | 4.2 ±3.1 | 0.006 (0.04; 0.06; 0.005) |
| eGFR, ml/min/1.73 m2 | 97.0 ± 28.3 | 100.7 ± 25.9 | 99.7 ± 25.5 | 82.7 ± 39.4 | 0.4 (0.9; 0.2; 0.2) |
| Hemoglobin, g/l | 144.1 ± 17.0 | 136.4 ±19.4 | 148.2 ± 14.4 | 148.7 ± 15.7 | 0.1 (0.07; 0.9; 0.2) |
| Right heart catheterization | |||||
| mBP, mm Hg | 86.2 ± 11.7 | 92.6 ± 13.4 | 81.8 ± 9.3 | 85.0 ± 9.3 | 0.047 (0.02; 0.4; 0.2) |
| mPAP, mm Hg | 55.7 ± 19.8 | 40.8 ± 13.9 | 63.1 ± 18.5 | 65.8 ± 17.5 | 0.002 (0.002; 0.7; 0.004) |
| RAP, mm Hg | 7.1 ± 5.4 | 3.8 ± 2.8 | 6.7 ± 4.4 | 14.8 ± 4.6 | 0.00005 (0.058; 0.001; 0.000009) |
| PCWP, mm Hg | 8.4 ± 3.6 | 7.7 ± 4.5 | 8.2 ±3.3 | 10.2 ± 1.7 | 0.3 (0.7; 0.2; 0.2) |
| CI, l/min/m2 | 2.5 ± 0.8 | 3.3 ± 0.5 | 2.2 ± 0.4 | 1.8 ± 0.3 | <0.000001 (0.000001; 0.05; 0.000004) |
| PVR, WU | 11.3 [6.5; 15.5] | 5.5 [3.9; 7.2] | 12.5 [11.0; 16.7] | 22.0 [14.8; 34.7] | 0.0002 (0.001; 0.1; 0.00004) |
| PAC, ml/mm Hg | 1.5 ± 1.0 | 2.3 ±0.8 | 1.3 ± 0.9 | 0.7 ±0.3 | 0.0004 (0.004; 0.1; 0.0002) |
| Sat O2, % | 95.3 ± 2.8 | 96.3 ± 2.9 | 95.0 ± 2.7 | 94.2 ± 2.6 | 0.3 (0.2; 0.5; 0.1) |
| SvO2, % | 62,4 ± 12,3 | 72.2 ± 5.8 | 59.9 ± 10.4 | 49.2 ± 12.0 | 0.00007 (0.001; 0.05; 0.00004) |
| Cardiopulmonary exercise testing | |||||
| Load, W | 73.6 [50.0; 90.0] | 90.0 [87.0; 102.5] | 60.0 [50.0; 75.0] | 50.0 [50.0; 70.0] | 0.001 (0.001; 0.7; 0.03) |
| VO2 peak, mL/min/kg | 13.4 [11.1; 18] | 18.1 [16.9; 22.8] | 11.7 [10.8; 14.2] | 11.7 [10.8; 13.8] | 0.0003 (0.0002; 0.9; 0.01) |
| VO2 peak predicted, % | 54.4 ± 19.5 | 67.8 ± 19.2 | 47.3 ± 15.1 | 46.7 ± 18.6 | 0.008 (0.004; 0.9; 0.04) |
| %VO2/kg AT predicted, mL/kg/min | 50.3 ± 17.8 | 61.8 ± 16.2 | 45.4 ± 13.3 | 39.8 ± 21.7 | 0.02 (0.01; 0.5; 0.04) |
| ΔVO2/ΔWR, mL/min/W | 9.0 ± 2.4 | 10.2 ± 2.1 | 8.5 ± 2.4 | 7.8 ± 2.2 | 0.07 (0.06; 0.5; 0.04) |
| VO2/HR predicted, % | 62.7 ± 19.0 | 72.7 ± 20.1 | 58.1 ± 17.9 | 55.3 ± 13.2 | 0.07 (0.05; 0.7; 0.07) |
| HR/Vkg, L/mL/kg | 11.0 ± 2.8 | 9.1 ± 2.2 | 12.0 ± 2.7 | 12.2 ± 2.2 | 0.009 (0.006; 0.9; 0.01) |
| VE max predicted,% | 60.2 ± 17.5 | 66.3 ± 20.1 | 59.4 ± 16.2 | 50.3 ± 12.1 | 0.1 (0.3; 0.2; 0.09) |
| Desaturation, % | 2 [1; 4] | 1.5 [1.0; 4.0] | 2.0 [1.0; 4.0] | 3.0 [2.0; 5.0] | 0.7 (0.7; 0.6; 0.5) |
| ΔVD/VT, % | 2.8 ± 6.8 | 6.3 ± 7.7 | 1.2 ± 6.3 | 1.2 ± 4.8 | 0.1 (0.07; 0.9; 0.1) |
| BR predicted, % | 171.4 ± 48.4 | 146.4 ± 57.9 | 177.0 ± 39.9 | 201.0 ± 37.5 | 0.2 (0.2; 0.3; 0.1) |
| VE/VCO2 | 48.9 ± 13.1 | 42.6 ± 13.6 | 53.5 ± 12.4 | 49.0 ± 10.2 | 0.09 (0.04; 0.4; 0.3) |
| VE/VCO2 AT | 45.2 ± 12.5 | 37.7 ± 8.4 | 50.9 ± 13.9 | 45.2 ± 8.0 | 0.03 (0.01; 0.4; 0.1) |
| PetCO2 rest | 3.38 ± 0.7 | 3.73 ± 0.74 | 3.22 ± 0.73 | 3.16 ± 0.45 | 0.1 (0.09; 0.8; 0.1) |
| PetCO2 peak | 3.06 ± 0.92 | 3.47 ± 0.92 | 2.8 ± 0.92 | 2.9 ± 0.7 | 0.2 (0.07; 0.6; 0.3) |
| ∆ PetCO2 | 0.32 ± 0.49 | 0.25 ± 0.55 | 0.42 ± 0.41 | 0.17 ± 0.59 | 0.5 (0.4; 0.3; 0.7) |
| PetCO2 AT | 3.29 ± 1.07 | 3.72 ± 1.29 | 2.97 ± 0.9 | 3.29 ± 0.7 | 0.3 (0.1; 0.5; 0.5) |
| Cardiac MRI | |||||
| RA short dimension, mm | 49.6 ± 9.8 | 44.0 ± 4.9 | 52.4 ± 9.4 | 54.3 ± 13.7 | 0.03 (0.01; 0.7; 0.03) |
| RV EDV index, mL/m2 | 86.2 ± 22.6 | 79.7 ± 16.6 | 80.8 ± 18.7 | 112.1 ± 25.7 | 0.004 (0.8; 0.006; 0.005) |
| RV ESV index, mL/m2 | 57.1 ± 18.8 | 43.9 ± 12.3 | 56.4 ±10.5 | 85.2 ± 13.9 | 0.00001 (0.01; 0.00007; 0.000008) |
| RV wall thickness, mm | 6.0 ± 1.8 | 5.0 ± 1.3 | 6.4 ±1.9 | 7.4 ± 1.6 | 0.02 (0.049; 0.2; 0.003 ) |
| RV EF, % | 36.5 ± 11.3 | 45.0 ±7.5 | 34.9 ± 8.8 | 23.2 ± 8.9 | 0.00005 (0.004; 0.01; 0.00005) |
| LA short dimension, mm | 29.6 ± 5.4 | 33.1 ± 5.0 | 28.0 ± 4.3 | 26.2 ± 4.8 | 0.007 (0.01; 0.4; 0.01) |
| LV EDV index, mL/m2 | 58.9 ± 15.9 | 72.7 ± 9.2 | 55.3 ± 12.4 | 39.8 ± 7.6 | 0.000002 (0.0005; 0.01; 0.000001) |
| LV ESV index, mL/m2 | 23.3 ± 7.5 | 29.4 ± 6.2 | 20.8 ±5.4 | 17.0 ± 5.7 | 0.0002 (0.001; 0.2; 0.0009) |
| LV SV index, mL/m2 | 37.2 ± 14.6 | 48.1 ± 15.6 | 34.2 ± 8.9 | 22.6 ± 4.2 | 0.0003 (0.009; 0.007; 0.001) |
| LV EF, % | 60.4 ± 6.3 | 60.8 ± 4.7 | 61.6 ± 6.4 | 57.0 ± 8.4 | 0.3 (0.7; 0.2; 0.2) |
| RV EDVi/LV EDVi | 1.4 [1.03; 1.87] | 1.0 [0.9; 1.2] | 1.5 [1.2; 1.7] | 2.7 [2.3; 4.1] | 0.000001 (0.01; 0.0003; 0.000009) |
| RV ESVi/LV ESVi | 2.37 [1.59; 3.56] | 1.4 [1.3; 1.6] | 2.7 [2.2; 3.3] | 4.6 [4.4; 7.6] | 0.000001 (0.00004; 0.001; 0.00004) |
| PET-CT metabolism of the RV/LV | |||||
| [18F]-FDG SUVmax RV/LV lateral wall | 0.866 ± 0.365 | 0.581 ± 0.393 | 0.941 ± 0.247 | 1.186 ± 0.293 | 0.002 (0.007; 0.07; 0.01) |
| PET-CT perfusion of the RV/LV | |||||
| [13N]-NH3 SUVmax RV/LV lateral wall | 0.817 ± 0.157 | 0.744 ± 0.153 | 0.867 ± 0.142 | 0.796 ± 0.184 | 0.1 (0.04; 0.3; 0.5) |
| The ration of metabolism to perfusion of the RV/LV | |||||
| SUVmax 18F-FDG/SUVmax [13N]-NH3 RV/LV lateral wall | 1.481 ± 0.799 | 0.786 ± 0.321 | 1.646 ± 0.646 | 2.311 ± 0.931 | 0.0002 (0.0006; 0.08; 0.0004) |
| PAH therapy | |||||
| Naïve patients, n (%) | 28 (82.3) | 3 (27.3) | 1 (5.8) | 2 (33.3) | n/a |
| Parameters | Mean PAP | Mean RAP | CI | PAC | ||||||||
|---|---|---|---|---|---|---|---|---|---|---|---|---|
| r | t | p | r | t | p | r | t | p | r | t | p | |
| %Load predicted | −0.57 | −3.9 | 0.0004 | −0.003 | −0.02 | 0.9 | 0.44 | 2.8 | 0.009 | 0.48 | 3.2 | 0.003 |
| VO2 peak | −0.45 | −2.9 | 0.007 | −0.17 | −0.9 | 0.3 | 0.48 | 3.1 | 0.004 | 0.35 | 2.1 | 0.04 |
| %VO2 peak predicted | −0.45 | −2.9 | 0.007 | −0.05 | −0.3 | 0.7 | 0.52 | 3.4 | 0.002 | 0.49 | 3.2 | 0.003 |
| VO2/HR | −0.37 | −2.3 | 0.03 | −0.07 | −0.4 | 0.7 | 0.44 | 2.7 | 0.01 | 0.52 | 3.5 | 0.002 |
| % VO2/HR predicted | −0.49 | −3.2 | 0.003 | −0.06 | −0.3 | 0.7 | 0.38 | 2.3 | 0.02 | 0.47 | 3.1 | 0.004 |
| ∆VD/VT | 0.14 | 0.8 | 0.4 | 0.04 | 0.2 | 0.8 | 0.12 | 0.6 | 0.5 | 0.10 | 0.5 | 0.5 |
| %BR | 0.14 | 0.6 | 0.5 | 0.16 | 0.7 | 0.5 | −0.39 | −1.8 | 0.08 | −0.43 | −2.1 | 0.05 |
| PetCO2 rest | −0.38 | −2.3 | 0.03 | −0.01 | −0.08 | 0.9 | 0.42 | 2.5 | 0.02 | 0.36 | 2.2 | 0.04 |
| PetCO2 peak | −0.45 | −2.8 | 0.008 | 0.003 | 0.01 | 0.9 | 0.34 | 2.0 | 0.05 | 0.38 | 2.3 | 0.03 |
| ∆Pet CO2 | 0.23 | 1.3 | 0.2 | −0.04 | −0.2 | 0.8 | −0.007 | −0.04 | 0.9 | −0.15 | −0.8 | 0.4 |
| PetCO2 AT | −0.35 | 1.9 | 0.06 | −0.004 | −0.002 | 0.9 | 0.31 | 1.7 | 0.1 | 0.24 | 1.3 | 0.2 |
| ΔVO2/ΔWR | −0.16 | −0.8 | 0.4 | −0.12 | −0.7 | 0.5 | 0.45 | 2.7 | 0.01 | 0.27 | 1.5 | 0.1 |
| HR/Vkg | 0.52 | 3.3 | 0.002 | 0.14 | 0.8 | 0.4 | −0.41 | −2.5 | 0.02 | −0.41 | −2.5 | 0.02 |
| VO2 AT | −0.41 | −2.4 | 0.02 | −0.36 | −2.0 | 0.05 | 0.54 | 3.3 | 0.003 | 0.43 | 2.5 | 0.02 |
| %VO2 AT predicted | −0.45 | −2.6 | 0.01 | −0.13 | −0.7 | 0.5 | 0.56 | 3.5 | 0.002 | 0.53 | 3.2 | 0.004 |
| VE/VCO2 | 0.37 | 2.3 | 0.03 | 0.11 | 0.6 | 0.5 | −0.37 | −2.3 | 0.03 | −0.28 | −1.7 | 0.1 |
| VE/VCO2 AT | 0.43 | 2.4 | 0.02 | 0.03 | 0.1 | 0.9 | −0.44 | −2.5 | 0.02 | −0.31 | −1.7 | 0.1 |
| Parameters | RV ESV Index | LV SV Index | RV EF | RV ESV Index/LV ESV Index | ||||||||
|---|---|---|---|---|---|---|---|---|---|---|---|---|
| r | t | p | r | t | p | r | t | p | r | t | p | |
| %Load predicted | −0.38 | −2.25 | 0.03 | 0.44 | 2.6 | 0.01 | 0.3 | 1.8 | 0.08 | −0.58 | −3.9 | 0.0005 |
| VO2 peak | −0.29 | −1.67 | 0.1 | 0.54 | 3.5 | 0.001 | 0.3 | 1.7 | 0.1 | −0.66 | −4.8 | 0.00004 |
| %VO2 peak predicted | −0.37 | −2.19 | 0.036 | 0.49 | 3.1 | 0.004 | 0.3 | 1.5 | 0.1 | −0.60 | −4.1 | 0.0003 |
| VO2/HR | −0.26 | −1.46 | 0.1 | 0.43 | 2.6 | 0.01 | 0.17 | 0.9 | 0.3 | −0.42 | −2.5 | 0.02 |
| %VO2/HR predicted | −0.27 | −1.5 | 0.1 | 0.46 | 2.8 | 0.008 | 0.29 | 1.7 | 0.1 | −0.46 | −2.8 | 0.008 |
| ∆VD/VT | 0.1 | 0.6 | 0.5 | 0.1 | 0.5 | 0.6 | 0.06 | 0.3 | 0.7 | −0.02 | −0.1 | 0.9 |
| %BR | 0.2 | 1.0 | 0.3 | −0.02 | −0.1 | 0.9 | 0.03 | 0.1 | 0.8 | 0.3 | 1.3 | 0.2 |
| PetCO2 rest | −0.39 | −2.3 | 0.03 | 0.3 | 1.8 | 0.07 | 0.2 | 1.1 | 0.2 | −0.53 | −3.3 | 0.002 |
| PetCO2 peak | −0.35 | −2.02 | 0.05 | 0.42 | 2.5 | 0.02 | 0.2 | 1.3 | 0.2 | −0.52 | −3.3 | 0.002 |
| ∆Pet CO2 | 0.09 | 0.5 | 0.6 | −0.26 | −1.4 | 0.1 | −0.09 | −0.5 | 0.6 | 0.22 | 1.2 | 0.2 |
| PetCO2 AT | −0.36 | −1.8 | 0.07 | 0.30 | 1.5 | 0.1 | 0.18 | 0.9 | 0.4 | −0.43 | −2.4 | 0.02 |
| ΔVO2/ΔWR | −0.21 | −1.1 | 0.3 | 0.44 | 2.6 | 0.01 | 0.2 | 1.1 | 0.3 | −0.44 | −2.6 | 0.01 |
| HR/Vkg | 0.22 | 1.2 | 0.2 | −0.55 | −3.5 | 0.002 | −0.27 | −1.5 | 0.1 | 0.54 | 3.4 | 0.002 |
| VO2 AT | −0.44 | −2.5 | 0.02 | 0.56 | 3.4 | 0.002 | 0.2 | 1.2 | 0.2 | −0.69 | −4.8 | 0.00005 |
| %VO2 AT predicted | −0.47 | −2.6 | 0.01 | 0.49 | 2.8 | 0.01 | 0.2 | 1.3 | 0.2 | −0.63 | −3.9 | 0.0005 |
| VE/VCO2 | 0.30 | 1.7 | 0.09 | −0.42 | −2.5 | 0.016 | −0.19 | −1.1 | 0.3 | 0.51 | 3.3 | 0.002 |
| VE/VCO2 AT | 0.47 | 2.6 | 0.01 | −0.39 | −2.1 | 0.048 | −0.33 | −1.7 | 0.09 | 0.57 | 3.4 | 0.002 |
| Parameters | [18F]-FDG SUVmax RV/LV Lateral Wall | [13N]-NH3 SUVmax RV/LV Lateral Wall | [18F]-FDG SUVmax/[13N]-NH3 SUVmax RV/LV Lateral Wall | ||||||
|---|---|---|---|---|---|---|---|---|---|
| r | t | p | r | t | p | r | t | p | |
| %Load predicted | −0.54 | −3.5 | 0.002 | −0.58 | −4.1 | 0.0003 | −0.45 | −2.7 | 0.009 |
| VO2 peak | −0.59 | −4.1 | 0.0003 | −0.46 | −2.9 | 0.006 | −0.54 | −3.5 | 0.01 |
| %VO2 peak predicted | −0.46 | −2.9 | 0.007 | −0.51 | −3.3 | 0.002 | −0.46 | −2.8 | 0.008 |
| VO2/HR | −0.22 | 1.2 | 0.2 | −0.39 | −2.4 | 0.02 | −0.35 | −2.04 | 0.05 |
| % VO2/HR predicted | −0.29 | −1.7 | 0.09 | −0.49 | −3.1 | 0.003 | −0.25 | −1.5 | 0.1 |
| ∆VD/VT | 0.16 | 0.89 | 0.4 | 0.37 | 2.2 | 0.03 | −0.28 | −1.6 | 0.1 |
| %BR | 0.03 | 0.1 | 0.9 | 0.08 | 0.4 | 0.7 | 0.06 | 0.2 | 0.8 |
| PetCO2 rest | −0.46 | −2.8 | 0.009 | −0.60 | −4.2 | 0.0002 | −0.26 | −1.4 | 0.2 |
| PetCO2 peak | −0.38 | −2.2 | 0.03 | −0.44 | −2.7 | 0.009 | −0.26 | −1.5 | 0.2 |
| ∆Pet CO2 | 0.08 | 0.4 | 0.6 | 0.04 | 0.2 | 0.8 | 0.1 | 0.7 | 0.5 |
| PetCO2 AT | −0.44 | −2.4 | 0.02 | −0.59 | −3.7 | 0.0009 | −0.25 | −1.3 | 0.2 |
| ΔVO2/ΔWR | −0.28 | −0.6 | 0.1 | −0.27 | −1.5 | 0.1 | −0.35 | −1.9 | 0.057 |
| HR/Vkg | 0.45 | 2.7 | 0.01 | 0.53 | 3.4 | 0.002 | 0.42 | 2.5 | 0.02 |
| VO2 AT | −0.56 | −3.4 | 0.002 | −0.46 | −2.7 | 0.01 | −0.47 | −2.70 | 0.01 |
| %VO2 AT predicted | −0.52 | −3.1 | 0.005 | −0.54 | −3.3 | 0.003 | −0.44 | −2.4 | 0.02 |
| VE/VCO2 | 0.37 | 2.2 | 0.03 | 0.36 | 2.2 | 0.04 | 0.2 | 1.1 | 0.3 |
| VE/VCO2 AT | 0.44 | 2.5 | 0.02 | 0.62 | 4.02 | 0.0004 | 0.3 | 1.7 | 0.1 |
| Peak Oxygen Consumption, mL/min/kg | ||||
|---|---|---|---|---|
| Parameters, n (%); m ± SD | Low Risk (n = 14) | Intermediate/High Risk (n = 20) | p Value | |
| Risk Category | >15 | <15 | ||
| [18F]-FDG SUVmax RV/LV lateral wall | 0.59 ± 0.28 | 1.08 ± 0.26 | 0.00002 | |
| [13N]-NH3 SUVmax RV/LV lateral wall | 0.72 ± 0.10 | 0.89 ± 0.15 | 0.0005 | |
| SUVmax 18F-FDG/SUVmax [13N]-NH3 RV/LV lateral wall | 1.08 ± 0.8 | 1.78 ± 0.6 | 0.01 | |
| Peak oxygen consumption,%, Predicted | ||||
| Risk category | Low risk (n = 8) | Intermediate (n = 17) | High risk (n = 9) | p value, all groups (*;**;***) |
| >65 | 35–65 | <35 | ||
| [18F]-FDG SUVmax RV/LV lateral wall | 0.6 ± 0.3 | 0.9 ± 0.3 | 1.2 ± 0.3 | 0.01 (0.1; 0.04; 0.005) |
| [13N]-NH3 SUVmax RV/LV lateral wall | 0.7 ± 0.07 | 0.8 ± 0.1 | 1.0 ± 0.2 | 0.003 (0.04; 0.04; 0.001) |
| SUVmax 18F-FDG/SUVmax [13N]-NH3 RV/LV lateral wall | 1.2 ± 1.0 | 1.4 ± 0.7 | 2.0 ± 0.5 | 0.1 (0.4; 0.08; 0.08) |
| VE/VCO2, the ratio of minute ventilation to carbon dioxide production | ||||
| Risk category | Low risk (n = 10) | Intermediate/high risk (n = 24) | p value | |
| <36 | >36 | |||
| [18F]-FDG SUVmax RV/LV lateral wall | 0.6 ± 0.3 | 0.9 ± 0.3 | 0.007 | |
| [13N]-NH3 SUVmax RV/LV lateral wall | 0.7 ± 0.09 | 0.8 ± 0.16 | 0.03 | |
| SUVmax 18F-FDG/SUVmax [13N]-NH3 RV/LV lateral wall | 1.2 ± 0.9 | 1.6 ± 0.7 | 0.2 | |
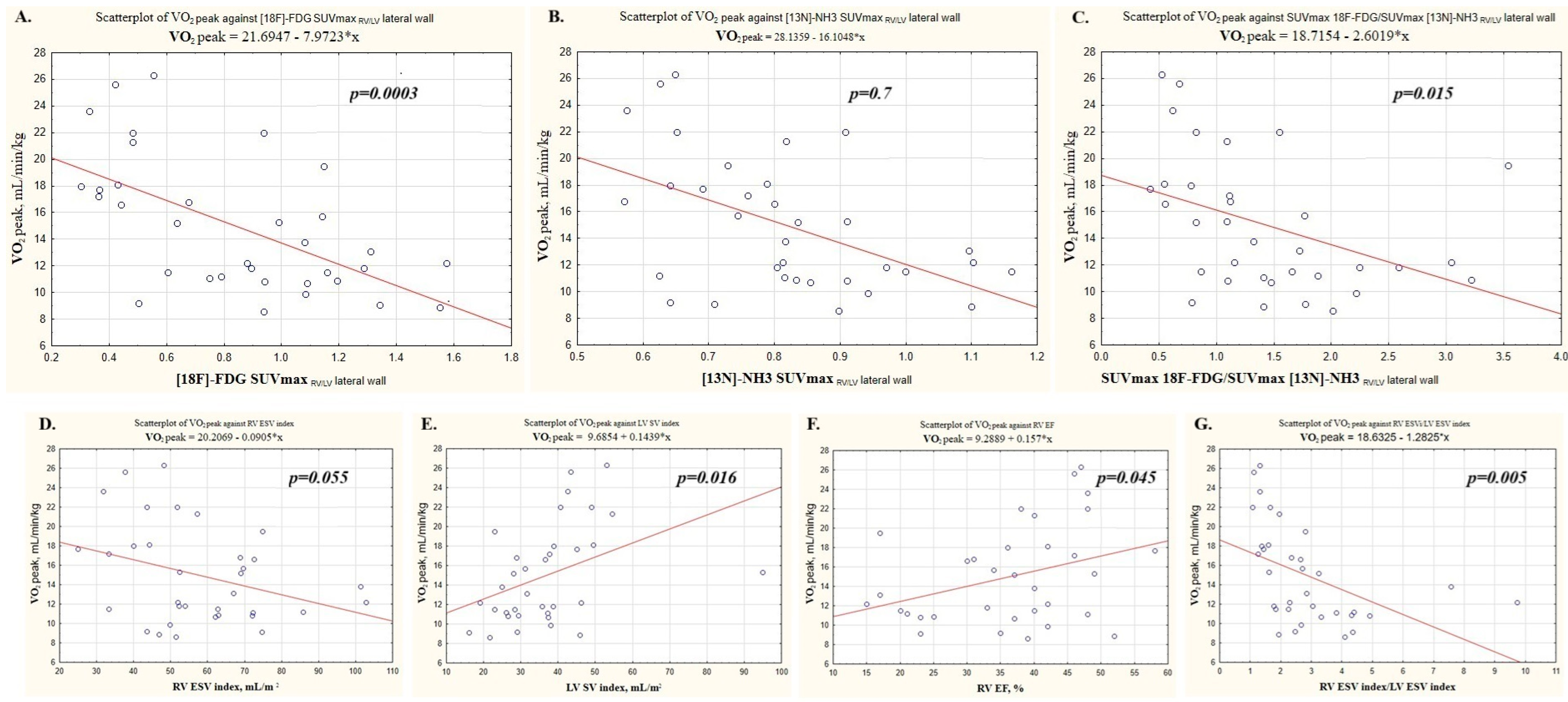
| Factors | OR | 95% CI | p Value |
|---|---|---|---|
| Univariate Regression Analysis for VO2 Peak | |||
| [18F]-FDG SUVmax RV/LV lateral wall | −7.97 | −11.9–−3.97 | 0.0003 |
| [13N]-NH3 SUVmax RV/LV lateral wall | −0.02 | −0.17–0.12 | 0.7 |
| SUVmax 18F-FDG/SUVmax [13N]-NH3 RV/LV lateral wall | −0.06 | −0.117–−0.013 | 0.015 |
| RV ESV index, mL/m2 | −1.22 | −2.46–0.028 | 0.055 |
| RV ESV index/LV ESV index | −0.28 | −2.15–−0.41 | 0.005 |
| RV EF, % | 0.76 | 0.016–1.503 | 0.045 |
| LV SV index, mL/m2 | 1.17 | 0.23–2.1 | 0.016 |
| Multivariate regression analysis for VO2 peak | |||
| [18F]-FDG SUVmax RV/LV lateral wall | −6.4 | −11.5–−1.25 | 0.016 |
| RV ESV index/LV ESV index | −0.55 | −1.6–0.5 | 0.3 |
| RV EF, % | 0.002 | −0.16–0.16 | 0.9 |
| Univariate regression analysis for VE/VCO2 | |||
| [18F]-FDG SUVmax RV/LV lateral wall | 14.0 | 2.2–25.8 | 0.02 |
| [13N]-NH3 SUVmax RV/LV lateral wall | 38.2 | 11.7–64.7 | 0.006 |
| SUVmax 18F-FDG/SUVmax [13N]-NH3 RV/LV lateral wall | 1.7 | −4.2–7.6 | 0.5 |
| RV ESV index, mL/m2 | 0.15 | −0.009–0.4 | 0.2 |
| RV ESV index/LV ESV index | 2.1 | −0.37–4.5 | 0.09 |
| RV EF, % | −0.16 | −0.58–0.26 | 0.4 |
| LV SV index, mL/m2 | −0.27 | −0.59–0.04 | 0.08 |
| Multivariate regression analysis for VE/VCO2 | |||
| [18F]-FDG SUVmax RV/LV lateral wall | 2.9 | −14.4–20.4 | 0.7 |
| [13N]-NH3 SUVmax RV/LV lateral wall | 30.5 | −4.4–65.5 | 0.08 |
| RV ESV index/LV ESV index | 0.9 | −1.8–3.8 | 0.5 |
Disclaimer/Publisher’s Note: The statements, opinions and data contained in all publications are solely those of the individual author(s) and contributor(s) and not of MDPI and/or the editor(s). MDPI and/or the editor(s) disclaim responsibility for any injury to people or property resulting from any ideas, methods, instructions or products referred to in the content. |
© 2025 by the authors. Licensee MDPI, Basel, Switzerland. This article is an open access article distributed under the terms and conditions of the Creative Commons Attribution (CC BY) license (https://creativecommons.org/licenses/by/4.0/).
Share and Cite
Goncharova, N.; Berezina, A.; Ryzhkova, D.; Zlobina, I.; Lapshin, K.; Ryzhkov, A.; Malanova, A.; Korobchenko-Andreeva, E.; Moiseeva, O. Right Ventricular Myocardial Metabolism and Cardiorespiratory Testing in Patients with Idiopathic Pulmonary Arterial Hypertension. Diagnostics 2025, 15, 2523. https://doi.org/10.3390/diagnostics15192523
Goncharova N, Berezina A, Ryzhkova D, Zlobina I, Lapshin K, Ryzhkov A, Malanova A, Korobchenko-Andreeva E, Moiseeva O. Right Ventricular Myocardial Metabolism and Cardiorespiratory Testing in Patients with Idiopathic Pulmonary Arterial Hypertension. Diagnostics. 2025; 15(19):2523. https://doi.org/10.3390/diagnostics15192523
Chicago/Turabian StyleGoncharova, Natalia, Aelita Berezina, Daria Ryzhkova, Irina Zlobina, Kirill Lapshin, Anton Ryzhkov, Aryana Malanova, Elizaveta Korobchenko-Andreeva, and Olga Moiseeva. 2025. "Right Ventricular Myocardial Metabolism and Cardiorespiratory Testing in Patients with Idiopathic Pulmonary Arterial Hypertension" Diagnostics 15, no. 19: 2523. https://doi.org/10.3390/diagnostics15192523
APA StyleGoncharova, N., Berezina, A., Ryzhkova, D., Zlobina, I., Lapshin, K., Ryzhkov, A., Malanova, A., Korobchenko-Andreeva, E., & Moiseeva, O. (2025). Right Ventricular Myocardial Metabolism and Cardiorespiratory Testing in Patients with Idiopathic Pulmonary Arterial Hypertension. Diagnostics, 15(19), 2523. https://doi.org/10.3390/diagnostics15192523

