Predicting Mortality in Sepsis: The Role of Dynamic Biomarker Changes and Clinical Scores—A Retrospective Cohort Study
Abstract
1. Introduction
2. Materials and Methods
2.1. Study Design
2.2. Data Collection
2.3. Statistical Analysis
3. Results
3.1. Overall Characteristics at Baseline
3.2. Dynamic Changes in Plasma PCT, CRP, and LAC
3.3. Normality of Distribution and Kolmogorov–Smirnov Test
3.4. Comparison of Baseline Characteristics and Biomarker Dynamics between Survivors and Non-Survivors
3.5. Correlations between Baseline Biomarkers
3.6. Logistic Regression
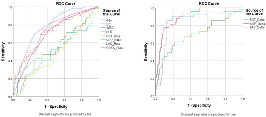
3.7. ROC Curves
4. Discussion
4.1. Baseline Values
4.2. Biomarker Kinetics
4.3. Biomarker Correlations at Baseline
4.4. Strengths and Limitations
5. Conclusions
Supplementary Materials
Author Contributions
Funding
Institutional Review Board Statement
Informed Consent Statement
Data Availability Statement
Conflicts of Interest
References
- Rudd, K.E.; Johnson, S.C.; Agesa, K.M.; Shackelford, K.A.; Tsoi, D.; Kievlan, D.R.; Colombara, D.V.; Ikuta, K.S.; Kissoon, N.; Finfer, S.; et al. Global, regional, and national sepsis incidence and mortality, 1990–2017: Analysis for the Global Burden of Disease Study. Lancet 2020, 395, 200–211. [Google Scholar] [CrossRef]
- Evans, L.; Rhodes, A.; Alhazzani, W.; Antonelli, M.; Coopersmith, C.M.; French, C.; Machado, F.R.; Mcintyre, L.; Ostermann, M.; Prescott, H.C.; et al. Surviving sepsis campaign: International guidelines for management of sepsis and septic shock 2021. Crit. Care Med. 2021, 49, e1063–e1143. [Google Scholar] [CrossRef] [PubMed]
- Arora, J.; Mendelson, A.A.; Fox-Robichaud, A. Sepsis: Network pathophysiology and implications for early diagnosis. Am. J. Physiol. Regul. Integr. Comp. Physiol. 2023, 324, R613–R624. [Google Scholar] [CrossRef] [PubMed] [PubMed Central]
- Becker, K.L.; Snider, R.; Nylen, E.S. Procalcitonin in sepsis and systemic inflammation: A harmful biomarker and a therapeutic target. Br. J. Pharmacol. 2010, 159, 253–264. [Google Scholar] [CrossRef] [PubMed] [PubMed Central]
- Bakker, J. Lactate is THE target for early resuscitation in sepsis. Rev. Bras. Ter. Intensiv. 2017, 29, 124–127. [Google Scholar] [CrossRef] [PubMed] [PubMed Central]
- Anush, M.M.; Ashok, V.K.; Sarma, R.I.; Pillai, S.K. Role of C-reactive Protein as an Indicator for Determining the Outcome of Sepsis. Indian J. Crit. Care Med. 2019, 23, 11–14. [Google Scholar] [CrossRef] [PubMed] [PubMed Central]
- Garcia-Alvarez, M.; Marik, P.; Bellomo, R. Sepsis-associated hyperlactatemia. Crit. Care 2014, 18, 503. [Google Scholar] [CrossRef] [PubMed] [PubMed Central]
- Sproston, N.R.; Ashworth, J.J. Role of C-Reactive Protein at Sites of Inflammation and Infection. Front. Immunol. 2018, 9, 754. [Google Scholar] [CrossRef] [PubMed] [PubMed Central]
- Schupp, T.; Weidner, K.; Rusnak, J.; Jawhar, S.; Forner, J.; Dulatahu, F.; Dudda, J.; Brück, L.M.; Hoffmann, U.; Bertsch, T.; et al. C-reactive protein and procalcitonin during course of sepsis and septic shock. Ir. J. Med. Sci. 2024, 193, 457–468. [Google Scholar] [CrossRef] [PubMed] [PubMed Central]
- Li, S.; You, T.; Liu, M.; Hao, Y.; Li, X.; Wang, Z.; Huang, F.; Wang, J. Dynamic changes in lactate levels within the first 24 hours in septic patients as a prognostic indicator: A retrospective cohort study utilizing latent class growth analysis. Biomol. Biomed. 2023, 23, 1118–1124. [Google Scholar] [CrossRef] [PubMed] [PubMed Central]
- Pieralli, F.; Vannucchi, V.; Mancini, A.; Antonielli, E.; Luise, F.; Sammicheli, L.; Turchi, V.; Para, O.; Bacci, F.; Nozzoli, C. Procalcitonin Kinetics in the First 72 Hours Predicts 30-Day Mortality in Severely Ill Septic Patients Admitted to an Intermediate Care Unit. J. Clin. Med. Res. 2015, 7, 706–713. [Google Scholar] [CrossRef] [PubMed] [PubMed Central]
- Nguyen, H.B.; Rivers, E.P.; Knoblich, B.P.; Jacobsen, G.; Muzzin, A.; Ressler, J.A.; Tomlanovich, M.C. Early lactate clearance is associated with improved outcome in severe sepsis and septic shock. Crit. Care Med. 2004, 32, 1637–1642. [Google Scholar] [CrossRef] [PubMed]
- Miguel-Bayarri, V.; Casanoves-Laparra, E.B.; Pallás-Beneyto, L.; Sancho-Chinesta, S.; Martín-Osorio, L.F.; Tormo-Calandín, C.; Bautista-Rentero, D. Prognostic value of the biomarkers procalcitonin, interleukin-6 and C-reactive protein in severe sepsis. Med. Intensiv. 2012, 36, 556–562. [Google Scholar] [CrossRef] [PubMed]
- Mat Nor, M.B.; Md Ralib, A. Procalcitonin clearance for early prediction of survival in critically ill patients with severe sepsis. Crit. Care Res. Pract. 2014, 2014, 819034. [Google Scholar] [CrossRef] [PubMed][Green Version]
- Karlsson, S.; Heikkinen, M.; Pettilä, V.; Alila, S.; Väisänen, S.; Pulkki, K.; Kolho, E.; Ruokonen, E.; Finnsepsis Study Group. Predictive value of procalcitonin decrease in patients with severe sepsis: A prospective observational study. Crit. Care 2010, 14, R205. [Google Scholar] [CrossRef] [PubMed]
- Poddar, B.; Gurjar, M.; Singh, S.; Aggarwal, A.; Singh, R.; Azim, A.; Baronia, A. Procalcitonin kinetics as a prognostic marker in severe sepsis/septic shock. Indian J. Crit. Care Med. 2015, 19, 140–146. [Google Scholar] [CrossRef] [PubMed] [PubMed Central]
- Claeys, R.; Vinken, S.; Spapen, H.; ver Elst, K.; Decochez, K.; Huyghens, L.; Gorus, F.K. Plasma procalcitonin and C-reactive protein in acute septic shock: Clinical and biological correlates. Crit. Care Med. 2002, 30, 757–762. [Google Scholar] [CrossRef] [PubMed]
- Durrance, R.J.; Ullah, T.; Patel, H.; Martinez, G.; Cervellione, K.; Zafonte, V.B.; Gafoor, K.; Bagheri, F. Marked Elevation in Serum Procalcitonin Levels Do Not Correlate with Severity of Disease or Mortality in Hospitalized Patients: A Retrospective Study. Biomark. Insights 2020, 15, 1177271920917941. [Google Scholar] [CrossRef]
- Giamarellos-Bourboulis, E.J.; Tsangaris, I.; Kanni, T.; Mouktaroudi, M.; Pantelidou, I.; Adamis, G.; Atmatzidis, S.; Chrisofos, M.; Evangelopoulou, V.; Frantzeskaki, F.; et al. Procalcitonin as an early indicator of outcome in sepsis: A prospective observational study. J. Hosp. Infect. 2011, 77, 58–63. [Google Scholar] [CrossRef] [PubMed]
- Jain, S.; Sinha, S.; Sharma, S.K.; Samantaray, J.C.; Aggrawal, P.; Vikram, N.K.; Biswas, A.; Sood, S.; Goel, M.; Das, M.; et al. Procalcitonin as a prognostic marker for sepsis: A prospective observational study. BMC Res. Notes 2014, 7, 458. [Google Scholar] [CrossRef] [PubMed] [PubMed Central]
- Li, Z.; Wang, H.; Liu, J.; Chen, B.; Li, G. Serum soluble triggering receptor expressed on myeloid cells-1 and procalcitonin can reflect sepsis severity and predict prognosis: A prospective cohort study. Mediat. Inflamm. 2014, 2014, 641039. [Google Scholar] [CrossRef] [PubMed][Green Version]
- Zahorec, R. Neutrophil-to-lymphocyte ratio, past, present and future perspectives. Bratisl. Lek. Listy 2021, 122, 474–488. [Google Scholar] [CrossRef]
- Ljungström, L.; Pernestig, A.K.; Jacobsson, G.; Andersson, R.; Usener, B.; Tilevik, D. Diagnostic accuracy of procalcitonin, neutrophil-lymphocyte count ratio, C-reactive protein, and lactate in patients with suspected bacterial sepsis. PLoS ONE 2017, 12, e0181704. [Google Scholar] [CrossRef] [PubMed]
- Schuetz, P.; Maurer, P.; Punjabi, V.; Desai, A.; Amin, D.N.; Gluck, E. Procalcitonin decrease over 72 hours in US critical care units predicts fatal outcome in sepsis patients. Crit. Care 2013, 17, R115. [Google Scholar] [CrossRef] [PubMed]
- Schuetz, P.; Birkhahn, R.; Sherwin, R.; Jones, A.E.; Singer, A.; Kline, J.A.; Runyon, M.S.; Self, W.H.; Courtney, D.M.; Nowak, R.M.; et al. Serial Procalcitonin Predicts Mortality in Severe Sepsis Patients: Results From the Multicenter Procalcitonin MOnitoring SEpsis (MOSES) Study. Crit. Care Med. 2017, 45, 781–789. [Google Scholar] [CrossRef] [PubMed] [PubMed Central]
- Bahloul, M.; Bradii, S.; Turki, M.; Bouchaala, K.; Ben Hamida, C.; Chelly, H.; Ayedi, F.; Bouaziz, M. The value of sepsis biomarkers and their kinetics in the prognosis of septic shock due to bacterial infections. Anaesthesiol. Intensive Ther. 2021, 53, 312–318. [Google Scholar] [CrossRef] [PubMed] [PubMed Central]
- Ríos-Toro, J.J.; Márquez-Coello, M.; García-Álvarez, J.M.; Martín-Aspas, A.; Rivera-Fernández, R.; Sáez de Benito, A.; Girón-González, J.A. Soluble membrane receptors, interleukin 6, procalcitonin and C reactive protein as prognostic markers in patients with severe sepsis and septic shock. PLoS ONE 2017, 12, e0175254. [Google Scholar] [CrossRef] [PubMed] [PubMed Central]
- Charles, P.E.; Tinel, C.; Barbar, S.; Aho, S.; Prin, S.; Doise, J.M.; Olsson, N.O.; Blettery, B.; Quenot, J.P. Procalcitonin kinetics within the first days of sepsis: Relationship with the appropriateness of antibiotic therapy and the outcome. Crit. Care 2009, 13, R38. [Google Scholar] [CrossRef] [PubMed]
- Oberholzer, A.; Souza, S.M.; Tschoeke, S.K.; Oberholzer, C.; Abouhamze, A.; Pribble, J.P.; Moldawer, L.L. Plasma cytokine measurements augment prognostic scores as indicators of outcome in patients with severe sepsis. Shock 2005, 23, 488–493. [Google Scholar] [PubMed]

| Overall Population; Median (25th–75th Percentile) | Survivors; Median (25th–75th Percentile) | Non-Suvrivors; Median (25th–75th Percentile) | |
|---|---|---|---|
| Age | 75 (69–82) | 72 (65–79) | 79 (75–86) |
| Sex | Female = 63 (45.7%), Male = 75 (54.3%) | ||
| Duration of Stay in Hospital | 10 (7–12) | 7 (5–11) | |
| SOFA Score | 5 (4–7) | 4 (3–5) | 6 (5–7) |
| Infection Site: | |||
| Respiratory | 59 | ||
| Genitourinary | 32 | ||
| Skin and soft tissue | 19 | ||
| Gastrointestinal | 18 | ||
| Musculoskeletal | 6 | ||
| Others | 4 | ||
| CCI Score | 6 (4–7) | 5 (4–6) | 6 (5–7) |
| Comorbidities: | |||
| Hypertension | 94 | ||
| Coronary Artery Disease | 51 | ||
| Heart Arrhythmia | 35 | ||
| Chronic Heart Failure | 32 | ||
| Stroke | 40 | ||
| Vascular/Alzheimer/Mixed Dementia | 35 | ||
| COPD | 31 | ||
| Diabetes | 107 | ||
| Liver Disease | 28 | ||
| Renal Disease | 34 | ||
| Malignancies in history | 12 | ||
| Laboratory Findings at Baseline | |||
| Procalcinonin (ng/mL) | 2.97 (0.94–10.57) | 2.99 (1.03–9.82) | 2.79 (0.91–10.2) |
| CRP (mg/L) | 157 (97.9–226.57) | 155 (98.5–214.98) | 165 (74.5–234.8) |
| Lactate (mmol/L) | 2.9 (2.16–3.93) | 2.71 (1.99–3.68) | 3.37 (2.64–4.95) |
| Creatinine (mg/dL) | 2.21 (1.53–2.96) | 2.16 (1.55–2.88) | 2.23 (1.5–2.99) |
| Total Bilirubin (mg/dL) | 1.47 (0.74–2.58) | 1.39 (0.74–2.44) | 1.51 (0.75–2.65) |
| Glucose (mg/dL) | 133 (101–157) | 130 (99–166) | 134 (101–160) |
| Albumin (g/dL) | 3.69 (3.03–4.67) | 3.74 (3.23–4.91) | 3.51 (3–4.61) |
| WBC (×1000/µL) | 15.9 (12.1–21.5) | 15.98 (12.19–19) | 15.94 (12.28–21.24) |
| Platelet count (×1000/µL) | 177 (130–224) | 181 (131–230) | 159 (127–222) |
| NLR | 8.53 (6.48–9.94) | 7.58 (6.18–9.28) | 9.4 (8.2–10.96) |
| Mean Blood Pressure (mmHg) | 88.3 | 88 | 88.5 |
| Biomarker | Overall Population (n = 144) | Survivors (n = 103) | Non-Survivors (n = 41) | p-Value |
|---|---|---|---|---|
| PCT at baseline (median) | 2.97 | 2.99 | 2.87 | 0.672 |
| PCT at M3 (median) | 1.67 | 1.57 | 1.94 | 0.245 |
| PCT_Delta (%) | −38.41 | −45.02 | −17.24 | 0 |
| CRP at baseline (median) | 157 | 155 | 168.01 | 0.95 |
| CRP at M3 (median) | 92.58 | 83.71 | 101.07 | 0.1 |
| CRP_Delta (%) | −41.28 | −45.71 | −30.83 | 0 |
| LAC at baseline (median) | 2.9 | 2.71 | 3.43 | 0 |
| LAC at M3 (median) | 1.95 | 1.77 | 2.69 | 0 |
| LAC_Delta (%) | −32.17 | −34.02 | −26.91 | 0 |
| Area Under the Curve | |
|---|---|
| Test Result Variables | Area |
| Age | 0.730 |
| CCI | 0.694 |
| WBC | 0.546 |
| NLR | 0.716 |
| PCT_Base | 0.478 |
| CRP_Base | 0.503 |
| LAC_Base | 0.689 |
| SOFA_Base | 0.762 |
| PCT_Delta | 0.843 |
| CRP_Delta | 0.903 |
| LAC_Delta | 0.703 |
Disclaimer/Publisher’s Note: The statements, opinions and data contained in all publications are solely those of the individual author(s) and contributor(s) and not of MDPI and/or the editor(s). MDPI and/or the editor(s) disclaim responsibility for any injury to people or property resulting from any ideas, methods, instructions or products referred to in the content. |
© 2024 by the authors. Licensee MDPI, Basel, Switzerland. This article is an open access article distributed under the terms and conditions of the Creative Commons Attribution (CC BY) license (https://creativecommons.org/licenses/by/4.0/).
Share and Cite
Varga, N.-I.; Benea, A.-T.; Suba, M.-I.; Bota, A.V.; Avram, C.R.; Boru, C.; Dragomir, T.L.; Prisca, M.; Sonia, T.; Susan, M.; et al. Predicting Mortality in Sepsis: The Role of Dynamic Biomarker Changes and Clinical Scores—A Retrospective Cohort Study. Diagnostics 2024, 14, 1973. https://doi.org/10.3390/diagnostics14171973
Varga N-I, Benea A-T, Suba M-I, Bota AV, Avram CR, Boru C, Dragomir TL, Prisca M, Sonia T, Susan M, et al. Predicting Mortality in Sepsis: The Role of Dynamic Biomarker Changes and Clinical Scores—A Retrospective Cohort Study. Diagnostics. 2024; 14(17):1973. https://doi.org/10.3390/diagnostics14171973
Chicago/Turabian StyleVarga, Norberth-Istvan, Adela-Teodora Benea, Madalina-Ianca Suba, Adrian Vasile Bota, Cecilia Roberta Avram, Casiana Boru, Tiberiu Liviu Dragomir, Mirandolina Prisca, Tanasescu Sonia, Monica Susan, and et al. 2024. "Predicting Mortality in Sepsis: The Role of Dynamic Biomarker Changes and Clinical Scores—A Retrospective Cohort Study" Diagnostics 14, no. 17: 1973. https://doi.org/10.3390/diagnostics14171973
APA StyleVarga, N.-I., Benea, A.-T., Suba, M.-I., Bota, A. V., Avram, C. R., Boru, C., Dragomir, T. L., Prisca, M., Sonia, T., Susan, M., & Horhat, F. G. (2024). Predicting Mortality in Sepsis: The Role of Dynamic Biomarker Changes and Clinical Scores—A Retrospective Cohort Study. Diagnostics, 14(17), 1973. https://doi.org/10.3390/diagnostics14171973

