Comparative Analysis of Corneal Parameters Performed with GalileiG6 and OCT Casia 2
Abstract
1. Introduction
2. Materials and Methods
3. Results
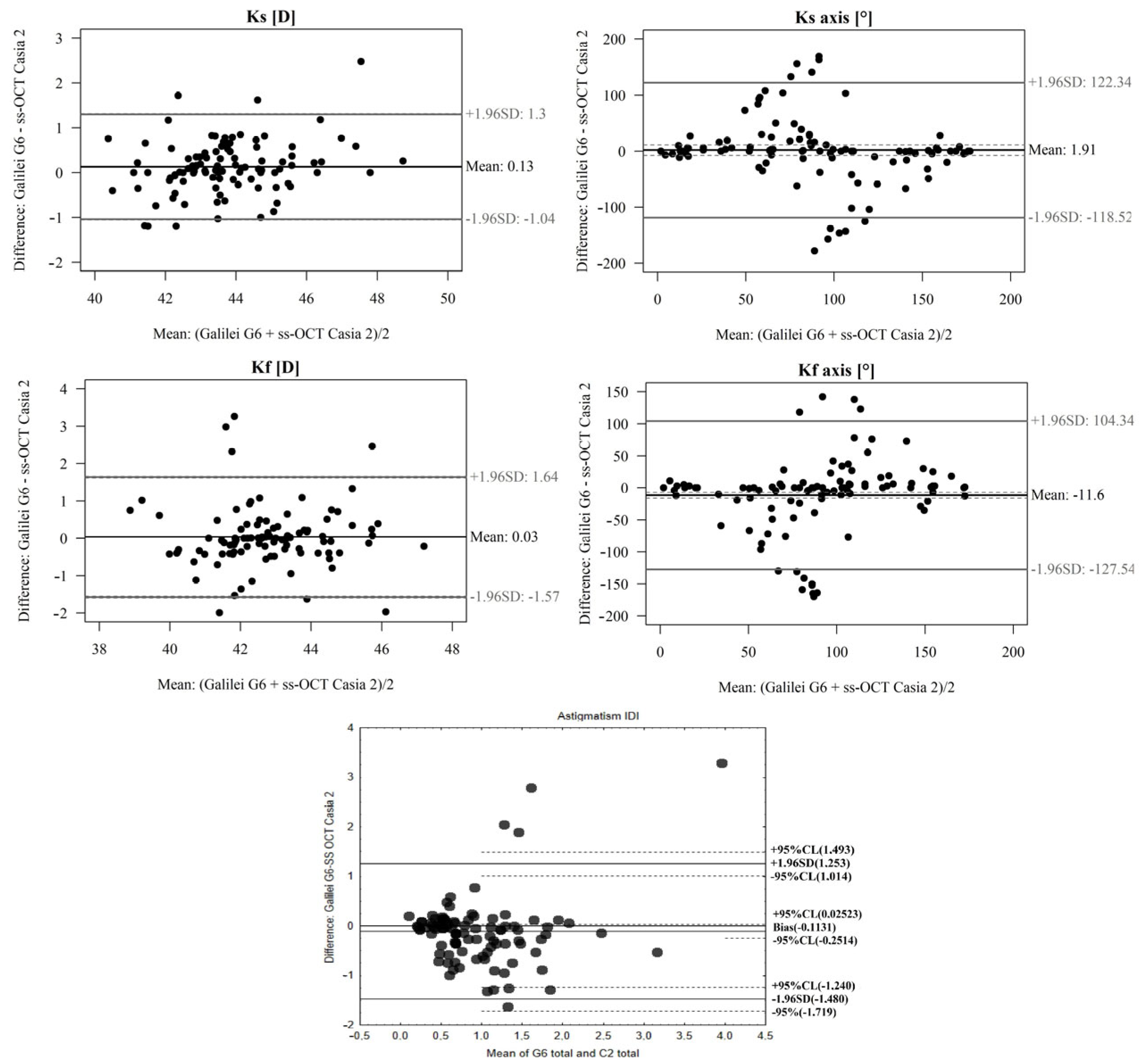
3.1. Total Corneal Power
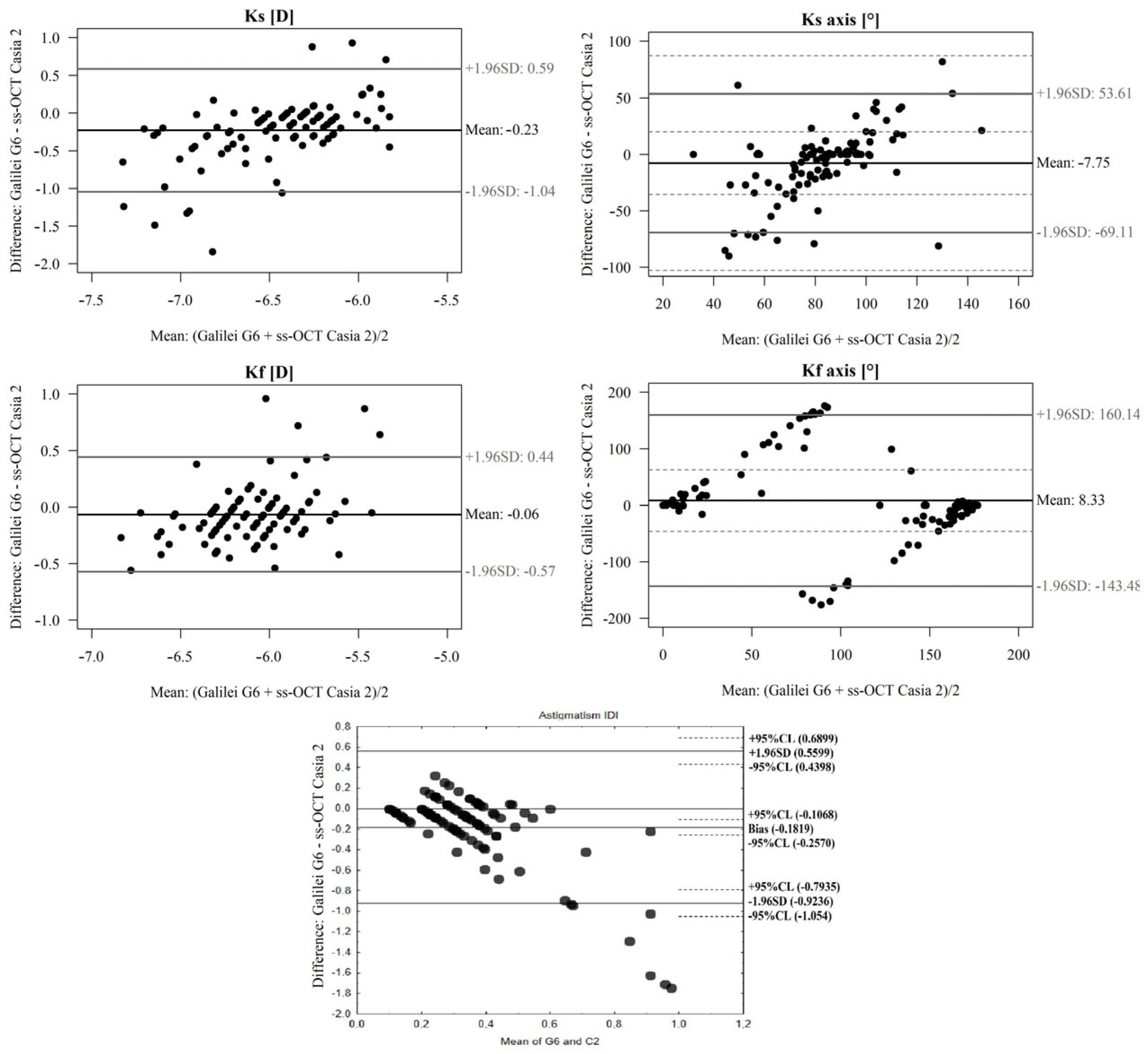
3.2. Posterior Corneal Power
3.3. Corneal Thickness
4. Discussion
5. Conclusions
Author Contributions
Funding
Institutional Review Board Statement
Informed Consent Statement
Data Availability Statement
Conflicts of Interest
References
- Mazur, R.; Wylegala, A.; Wylegala, E.; Dobrowolski, D. Comparative analysis of measurements of the anterior segment and the axial length parameters of the eyeball obtained with optical and ultrasound technique. Expert Rev. Med. Devices 2021, 18, 1245–1253. [Google Scholar] [CrossRef] [PubMed]
- Ruan, X.; Yang, G.; Xia, Z.; Zhang, J.; Gu, X.; Tan, Y.; Liu, Z.; Luo, L. Agreement of Anterior Segment Parameter Measurements with CASIA 2 and IOLMaster 700. Front. Med. 2022, 9, 777443. [Google Scholar] [CrossRef]
- Olsen, T. Prediction of the effective postoperative (intraocular lens) anterior chamber depth. J. Cataract. Refract. Surg. 2006, 32, 419–424. [Google Scholar] [CrossRef]
- Olsen, T. Calculation of intraocular lens power: A review. Acta Ophthalmol. Scand. 2007, 85, 472–485. [Google Scholar] [CrossRef]
- Wanichwecharungruang, B.; Amornpetchsathaporn, A.; Kongsomboon, K.; Wongwijitsook, W.; Annopawong, K.; Chantra, S. Clinical evaluation of ocular biometry of dual Scheimpflug analyzer, GalileiG6 and swept source optical coherence tomography, ANTERION. Sci. Rep. 2022, 12, 3602. [Google Scholar] [CrossRef]
- Jung, S.; Chin, H.S.; Kim, N.R.; Lee, K.W.; Jung, J.W. Comparison of Repeatability and Agreement between Swept-Source Optical Biometry and Dual-Scheimpflug Topography. J. Ophthalmol. 2017, 2017, 1516395. [Google Scholar] [CrossRef] [PubMed]
- Wylęgała, A.; Bolek, B.; Mazur, R.; Wylęgała, E. Repeatability, reproducibility, and comparison of ocular biometry using a new optical coherence tomography-based system and another device. Sci. Rep. 2020, 10, 14440. [Google Scholar] [CrossRef] [PubMed]
- Matsuo, Y.; Sakamoto, T.; Yamashita, T.; Tomita, M.; Shirasawa, M.; Terasaki, H. Comparisons of Choroidal Thickness of Normal Eyes Obtained by Two Different Spectral-Domain OCT Instruments and One Swept-Source OCT Instrument. Investig. Opthalmol. Vis. Sci. 2013, 54, 7630–7636. [Google Scholar] [CrossRef]
- Karimian, F.; Feizi, S.; Doozandeh, A.; Faramarzi, A.; Yaseri, M. Comparison of Corneal Tomography Measurements Using Galilei, Orbscan II, and Placido Disk–based Topographer Systems. J. Refract. Surg. 2011, 27, 502–508. [Google Scholar] [CrossRef]
- Shin, M.C.; Chung, S.Y.; Hwang, H.S.; Han, K.E. Comparison of Two Optical Biometers. Optom. Vis. Sci. 2016, 93, 259–265. [Google Scholar] [CrossRef]
- Chen, Z.-X.; Jia, W.-N.; Jiang, Y.-X. Lens Biometry in Congenital Lens Deformities: A Swept-Source Anterior Segment OCT Analysis. Front. Med. 2021, 8, 774640. [Google Scholar] [CrossRef] [PubMed]
- Jin, G.-M.; Xiao, B.; Zhou, Y.-J.; Wang, Y.-Y.; Li, X.-P.; Zheng, D.-Y. Agreement of corneal curvature and central corneal thickness obtained from a swept-source OCT and Pentacam in ectopia lentis patients. Int. J. Ophthalmol. 2020, 13, 1244–1249. [Google Scholar] [CrossRef]
- Wylęgała, A.; Mazur, R.; Bolek, B.; Wylęgała, E. Reproducibility, and repeatability of corneal topography measured by Revo NX, GalileiG6 and Casia 2 in normal eyes. PLoS ONE 2020, 15, e0230589. [Google Scholar] [CrossRef] [PubMed]
- Li, X.; Zhou, Y.; Young, C.A.; Chen, A.; Jin, G.; Zheng, D. Comparison of a new anterior segment optical coherence tomography and Oculus Pentacam for measurement of anterior chamber depth and corneal thickness. Ann. Transl. Med. 2020, 8, 857. [Google Scholar] [CrossRef] [PubMed]
- Dunn, G.; Roberts, C. Modelling method comparison data. Stat. Methods Med. Res. 1999, 8, 161–179. [Google Scholar] [CrossRef]
- Zhao, Y.; Chen, D.; Savini, G.; Wang, Q.; Zhang, H.; Jin, Y.; Song, B.; Ning, R.; Huang, J.; Mei, C. The precision and agreement of corneal thickness and keratometry measurements with SS-OCT versus Scheimpflug imaging. Eye Vis. 2020, 7, 32. [Google Scholar] [CrossRef]
- Szalai, E.; Berta, A.; Hassan, Z.; Módis, L. Reliability and repeatability of swept-source Fourier-domain optical coherence tomography and Scheimpflug imaging in keratoconus. J. Cataract. Refract. Surg. 2012, 38, 485–494. [Google Scholar] [CrossRef]
- González-Pérez, J.; Piñeiro, J.Q.; García, S.; Méijome, J.M.G. Comparison of Central Corneal Thickness Measured by Standard Ultrasound Pachymetry, Corneal Topography, Tono-Pachymetry and Anterior Segment Optical Coherence Tomography. Curr. Eye Res. 2018, 43, 866–872. [Google Scholar] [CrossRef]
- Viswanathan, D.; Kumar, N.L.; Males, J.J.; Graham, S.L. Comparative analysis of corneal measurements obtained from a Scheimpflug camera and an integrated Placido-optical coherence tomography device in normal and keratoconic eyes. Acta Ophthalmol. 2015, 93, e488–e494. [Google Scholar] [CrossRef] [PubMed]
- Milla, M.; Piñero, D.P.; Amparo, F.; Alió, J.L. Pachymetric measurements with a new Scheimpflug photography–based system. J. Cataract. Refract. Surg. 2011, 37, 310–316. [Google Scholar] [CrossRef]
- Yazici, A.T.; Bozkurt, E.; Alagoz, C.; Alagoz, N.; Pekel, G.; Kaya, V.; Yilmaz, O.F. Central Corneal Thickness, Anterior Chamber Depth, and Pupil Diameter Measurements Using Visante OCT, Orbscan, and Pentacam. J. Refract. Surg. 2010, 26, 127–133. [Google Scholar] [CrossRef] [PubMed]
- Amano, S.; Honda, N.; Amano, Y.; Yamagami, S.; Miyai, T.; Samejima, T.; Ogata, M.; Miyata, K. Comparison of Central Corneal Thickness Measurements by Rotating Scheimpflug Camera, Ultrasonic Pachymetry, and Scanning-Slit Corneal Topography. Ophthalmology 2006, 113, 937–941. [Google Scholar] [CrossRef] [PubMed]
- Lee, Y.W.; Choi, C.Y.; Yoon, G.Y. Comparison of dual rotating Scheimpflug–Placido, swept-source optical coherence tomography, and Placido–scanning-slit systems. J. Cataract. Refract. Surg. 2015, 41, 1018–1029. [Google Scholar] [CrossRef] [PubMed]
- Crawford, A.Z.; Patel, D.V.; McGhee, C.N. Comparison and Repeatability of Keratometric and Corneal Power Measurements Obtained by Orbscan II, Pentacam, and Galilei Corneal Tomography Systems. Am. J. Ophthalmol. 2013, 156, 53–60. [Google Scholar] [CrossRef] [PubMed]
- JMeyer, J.J.; Gokul, A.; Vellara, H.R.; Prime, Z.; McGhee, C.N. Repeatability and Agreement of Orbscan II, Pentacam HR, and Galilei Tomography Systems in Corneas with Keratoconus. Am. J. Ophthalmol. 2017, 175, 122–128. [Google Scholar] [CrossRef]
- Goebels, S.; Pattmöller, M.; Eppig, T.; Cayless, A.; Seitz, B.; Langenbucher, A. Comparison of 3 biometry devices in cataract patients. J. Cataract. Refract. Surg. 2015, 41, 2387–2393. [Google Scholar] [CrossRef]
- Lawless, M.; Jiang, J.Y.; Hodge, C.; Sutton, G.; Roberts, T.V.; Barrett, G. Total keratometry in intraocular lens power calculations in eyes with previous laser refractive surgery. Clin. Exp. Ophthalmol. 2020, 48, 749–756. [Google Scholar] [CrossRef]
- Hamilton, D.R.; Hardten, D.R. Cataract surgery in patients with prior refractive surgery. Curr. Opin. Ophthalmol. 2003, 14, 44–53. [Google Scholar] [CrossRef]
- Wilson, M.E.; Trivedi, R.H. Axial length measurement techniques in pediatric eyes with cataract. Saudi J. Ophthalmol. 2012, 26, 13–17. [Google Scholar] [CrossRef]
- Oh, R.; Oh, J.Y.; Choi, H.J.; Kim, M.K.; Yoon, C.H. Comparison of ocular biometric measurements in patients with cataract using three swept-source optical coherence tomography devices. BMC Ophthalmol. 2021, 21, 62. [Google Scholar] [CrossRef]
- Biswas, S.; Biswas, P. Agreement and Repeatability of Corneal Thickness and Radius among Three Different Corneal Measurement Devices. Optom. Vis. Sci. 2021, 98, 1196–1202. [Google Scholar] [CrossRef] [PubMed]
- Chan, T.; Biswas, S.; Yu, M.; Jhanji, V. Comparison of corneal measurements in keratoconus using swept-source optical coherence tomography and combined Placido-Scheimpflug imaging. Acta Ophthalmol. 2017, 95, e486–e494. [Google Scholar] [CrossRef] [PubMed]
- Matar, C.; Daas, L.; Suffo, S.; Langenbucher, A.; Seitz, B.; Eppig, T. Reliabilität der Hornhauttomographie nach Implantation von intrakornealen Ringsegmenten bei Keratokonus. Der Ophthalmol. 2020, 117, 1092–1099. [Google Scholar] [CrossRef] [PubMed]




| GalileiG6 | ss-OCT Casia 2 | Difference: GalileiG6-ss-OCT Casia 2 | p * | Limits of Agreement | ICC (95% CI) | ||
|---|---|---|---|---|---|---|---|
| Lower (95% CI) | Upper (95% CI) | ||||||
| Ks (D) (Mean ± SD) | 43.8 ± 1.7 | 43.67 ± 1.55 | 0.13 ± 0.6 | p = 0.083 | −1.04 (−1.05; −1.03) | 1.3 (1.29; 1.31) | 0.93 (0.9; 0.95) |
| Kf (D) (Mean ± SD) | 42.79 ± 1.62 | 42.76 ± 1.61 | 0.03 ± 0.82 | p = 0.643 | −1.57 (−1.6; −1.55) | 1.64 (1.61; 1.66) | 0.87 (0.83; 0.91) |
| Ks axis (°) (Mean ± SD) | 89.47 ± 51.35 | 87.56 ± 60.8 | 1.91 ± 61.44 | p = 0.627 | −118.52 (−248.26; 11.23) | 122.34 (−7.41; 252.08) | 0.41 (0.26; 0.54) |
| Kf axis (°) (Mean ± SD) | 84.07 ± 55.36 | 95.67 ± 46.45 | −11.6 ± 59.15 | p = 0.108 | −127.54 (−247.8; −7.28) | 104.34 (−15.92; 224.6) | 0.32 (0.17; 0.46) |
| Ast. (D) (Mean ± SD) | 1.00± 0.64 | 0.89 ± 0.76 | 0.66± 0.76 | p = 0.03 | −1.48 (−1.72; −1.24) | 1.25 (1.49; 1.01) | 0.02 (−0.13; 0.17) |
| GalileiG6 | ss-OCT Casia 2 | Difference: GalileiG6-ss-OCT Casia 2 | p * | Limits of Agreement | ICC (95% CI) | ||
|---|---|---|---|---|---|---|---|
| Lower (95% CI) | Upper (95% CI) | ||||||
| Ks (D) (Mean ± SD) | −6.56 ± 0.51 | −6.33 ± 0.3 | −0.23 ± 0.42 | p < 0.001 | −1.04 (−1.05; −1.04) | 0.59 (0.58; 0.59) | 0.43 (0.23; 0.59) |
| Kf (D) (Mean ± SD) | −6.13 ± 0.36 | −6.07 ± 0.26 | −0.06 ± 0.26 | p < 0.001 | −0.57 (−0.57; −0.57) | 0.44 (0.44; 0.44) | 0.65 (0.55; 0.74) |
| Ks axis (°) (Mean ± SD) | 79.29 ± 32.08 | 87.04 ± 17.6 | −7.75 ± 31.31 | p = 0.021 | −69.11 (−102.79; −35.43) | 53.61 (19.93; 87.29) | 0.26 (0.1; 0.4) |
| Kf axis (°) (Mean ± SD) | 104.43 ± 67.06 | 96.1 ± 80.3 | 8.33 ± 77.45 | p = 0.619 | −143.48 (−349.66; 62.7) | 160.14 (−46.04; 366.32) | 0.45 (0.31; 0.57) |
| Ast. (D) (Mean ± SD) | 0.45 ± 0.36 | 0.27 ± 0.13 | 0.49 ± 0.36 | p < 0.001 | −0.92 (−0.79; −1.05) | 0.56 (0.69; 0.44) | 0 (−0.13; 0.14) |
| GalileiG6 | ss-OCT Casia 2 | Difference: GalileiG6-ss-OCT Casia 2 | p * | Limits of Agreement | ICC (95% CI) | ||
|---|---|---|---|---|---|---|---|
| Lower (95% CI) | Upper (95% CI) | ||||||
| CCT (um) (Mean ± SD) | 566.71 ± 39.31 | 547.83 ± 34.28 | 18.88 ± 22.62 | p < 0.001 | −25.45 (−43.04; −7.87) | 63.21 (45.63; 80.8) | 0.72 (0.37; 0.85) |
| TCT (um) (Mean ± SD) | 551.67 ± 39.77 | 539.38 ± 34.13 | 12.29 ± 25.27 | p < 0.001 | −37.25 (−59.2; −15.29) | 61.83 (39.87; 83.78) | 0.73 (0.58; 0.82) |
Disclaimer/Publisher’s Note: The statements, opinions and data contained in all publications are solely those of the individual author(s) and contributor(s) and not of MDPI and/or the editor(s). MDPI and/or the editor(s) disclaim responsibility for any injury to people or property resulting from any ideas, methods, instructions or products referred to in the content. |
© 2023 by the authors. Licensee MDPI, Basel, Switzerland. This article is an open access article distributed under the terms and conditions of the Creative Commons Attribution (CC BY) license (https://creativecommons.org/licenses/by/4.0/).
Share and Cite
Mazur, R.; Wylęgała, A.; Wylęgała, E.; Dobrowolski, D. Comparative Analysis of Corneal Parameters Performed with GalileiG6 and OCT Casia 2. Diagnostics 2023, 13, 267. https://doi.org/10.3390/diagnostics13020267
Mazur R, Wylęgała A, Wylęgała E, Dobrowolski D. Comparative Analysis of Corneal Parameters Performed with GalileiG6 and OCT Casia 2. Diagnostics. 2023; 13(2):267. https://doi.org/10.3390/diagnostics13020267
Chicago/Turabian StyleMazur, Robert, Adam Wylęgała, Edward Wylęgała, and Dariusz Dobrowolski. 2023. "Comparative Analysis of Corneal Parameters Performed with GalileiG6 and OCT Casia 2" Diagnostics 13, no. 2: 267. https://doi.org/10.3390/diagnostics13020267
APA StyleMazur, R., Wylęgała, A., Wylęgała, E., & Dobrowolski, D. (2023). Comparative Analysis of Corneal Parameters Performed with GalileiG6 and OCT Casia 2. Diagnostics, 13(2), 267. https://doi.org/10.3390/diagnostics13020267

