Validation Study of Novel Point-of-Care Tests for Infliximab, Adalimumab and C-Reactive Protein in Capillary Blood and Calprotectin in Faeces in an Ambulatory Inflammatory Bowel Disease Care Setting
Abstract
1. Introduction
2. Materials and Methods
2.1. Study Design
2.2. Reference Lab Methods
2.3. POCT
2.4. Sample Size
2.5. Statistical Analysis
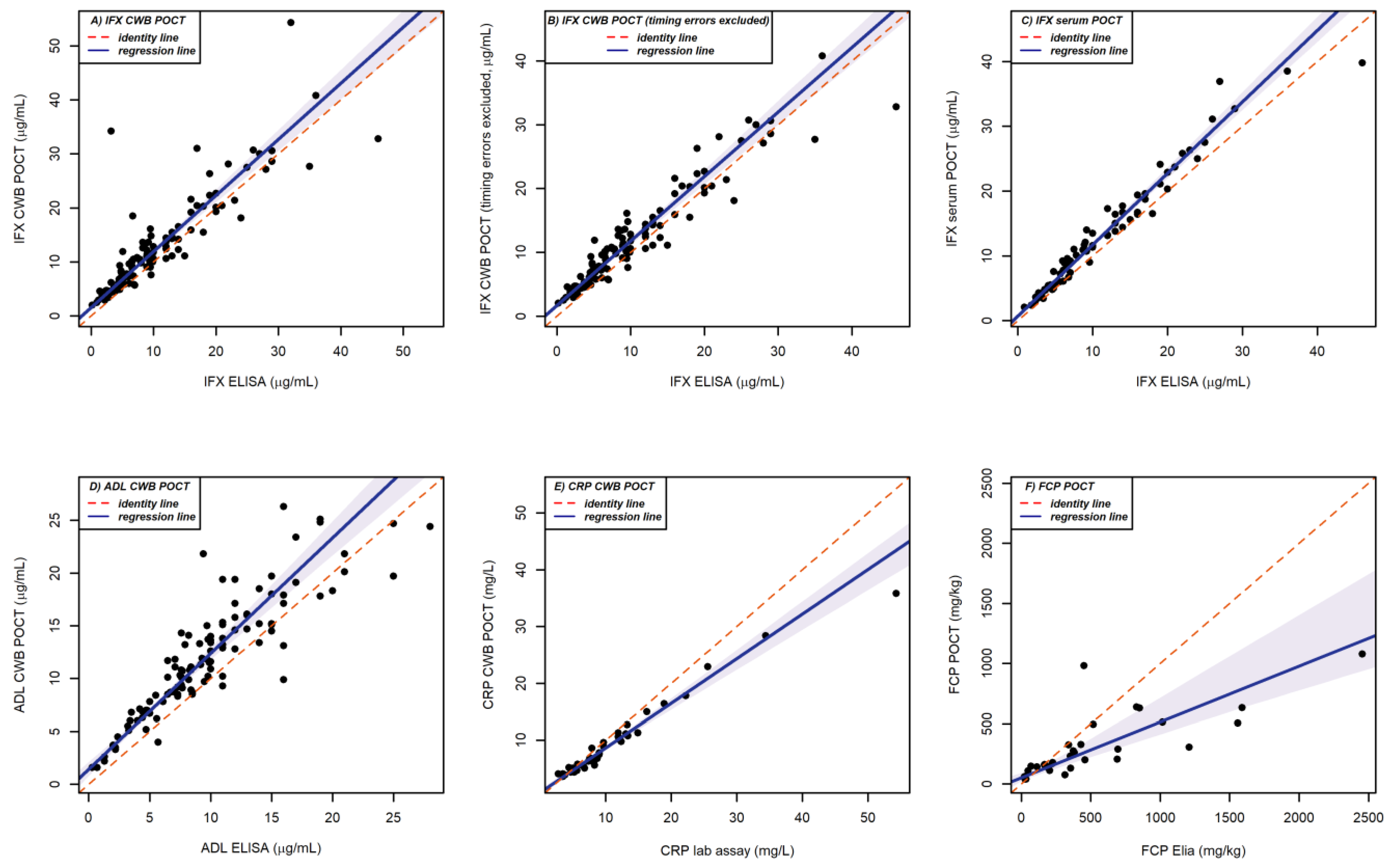
3. Results
4. Discussion
Supplementary Materials
Author Contributions
Funding
Institutional Review Board Statement
Informed Consent Statement
Data Availability Statement
Conflicts of Interest
Presented at Conferences
Abbreviations
| ADL | adalimumab |
| CD | Crohn’s disease |
| CI | confidence interval |
| CRP | C-reactive protein |
| CWB | capillary whole blood |
| FCP | faecal calprotectin |
| IBD | inflammatory bowel disease |
| ICC | Intra-class correlation coefficients |
| IFX | infliximab |
| IQR | interquartile ranges |
| NPV | negative predictive values |
| POCT | point-of-care test |
| PPV | positive predictive values |
| SD | standard deviations |
| TNF | tumour necrosis factor |
| TBS | tris-buffered saline |
| TDM | therapeutic drug monitoring |
| TR-FRET | time-resolved fluorescence resonance energy transfer |
| UC | ulcerative colitis |
References
- Turner, D.; Ricciuto, A.; Lewis, A.; D’Amico, F.; Dhaliwal, J.; Griffiths, A.M.; Bettenworth, D.; Sandborn, W.J.; Sands, B.E.; Reinisch, W.; et al. STRIDE-II: An Update on the Selecting Therapeutic Targets in Inflammatory Bowel Disease (STRIDE) Initiative of the International Organization for the Study of IBD (IOIBD): Determining Therapeutic Goals for Treat-to-Target strategies in IBD. Gastroenterology 2021, 160, 1570–1583. [Google Scholar] [CrossRef]
- Sands, B.E. Biomarkers of Inflammation in Inflammatory Bowel Disease. Gastroenterology 2015, 149, 1275–1285.e1272. [Google Scholar] [CrossRef]
- D’Haens, G.; Ferrante, M.; Vermeire, S.; Baert, F.; Noman, M.; Moortgat, L.; Geens, P.; Iwens, D.; Aerden, I.; Van Assche, G.; et al. Fecal calprotectin is a surrogate marker for endoscopic lesions in inflammatory bowel disease. Inflamm Bowel. Dis. 2012, 18, 2218–2224. [Google Scholar] [CrossRef] [PubMed]
- Colombel, J.-F.; Panaccione, R.; Bossuyt, P.; Lukas, M.; Baert, F.; Vaňásek, T.; Danalioglu, A.; Novacek, G.; Armuzzi, A.; Hébuterne, X.; et al. Effect of tight control management on Crohn’s disease (CALM): A multicentre, randomised, controlled phase 3 trial. Lancet 2017, 390, 2779–2789. [Google Scholar] [CrossRef] [PubMed]
- Nguyen, N.H.; Solitano, V.; Vuyyuru, S.K.; MacDonald, J.K.; Syversen, S.W.; Jørgensen, K.K.; Crowley, E.; Ma, C.; Jairath, V.; Singh, S. Proactive Therapeutic Drug Monitoring Versus Conventional Management for Inflammatory Bowel Diseases: A Systematic Review and Meta-Analysis. Gastroenterology 2022, 163, 937–949.e932. [Google Scholar] [CrossRef] [PubMed]
- Gibson, D.J.; Heetun, Z.S.; Redmond, C.E.; Nanda, K.S.; Keegan, D.; Byrne, K.; Mulcahy, H.E.; Cullen, G.; Doherty, G.A. An Accelerated Infliximab Induction Regimen Reduces the Need for Early Colectomy in Patients with Acute Severe Ulcerative Colitis. Clin. Gastroenterol. Hepatol. 2015, 13, 330–335.e331. [Google Scholar] [CrossRef]
- Grossberg, L.B.; Cheifetz, A.S.; Papamichael, K. Therapeutic Drug Monitoring of Biologics in Crohn’s Disease. Gastroenterol. Clin. 2022, 51, 299–317. [Google Scholar] [CrossRef]
- Yarur, A.J.; Jain, A.; Sussman, D.A.; Barkin, J.S.; Quintero, M.A.; Princen, F.; Kirkland, R.; Deshpande, A.R.; Singh, S.; Abreu, M.T. The association of tissue anti-TNF drug levels with serological and endoscopic disease activity in inflammatory bowel disease: The ATLAS study. Gut 2016, 65, 249–255. [Google Scholar] [CrossRef]
- Afonso, J.; Lopes, S.; Gonçalves, R.; Caldeira, P.; Lago, P.; Tavares de Sousa, H.; Ramos, J.; Gonçalves, A.R.; Ministro, P.; Rosa, I.; et al. Proactive therapeutic drug monitoring of infliximab: A comparative study of a new point-of-care quantitative test with two established ELISA assays. Aliment Pharmacol. Ther. 2016, 44, 684–692. [Google Scholar] [CrossRef]
- Lim, M.H.; Aluzaite, K.; Schultz, M.; Casey, P. Infliximab trough levels: A comparison between the Quantum Blue Infliximab assay and the established ELISA. J. Gastroenterol. Hepatol. 2020, 35, 1302–1306. [Google Scholar] [CrossRef]
- Ong, E.; Huang, R.; Kirkland, R.; Westin, S.; Salbato, J.; Bray, K.; Mimms, L.; Hale, M. Therapeutic Drug Monitoring: Performance of A Fret-Based Point-of-Care Immunoassay for The Quantitation Of Infliximab and Adalimumab in Blood. 2020. Available online: https://chemrxiv.org/engage/chemrxiv/article-details/60c7529dbdbb890725a3a307 (accessed on 1 February 2023).
- Reddy, R.; Srikrishnan, R.; Bahur, B.; Chon, K.; Westin, S.; Wong, M.; Sagoe, B.; Bray, K.; Day, V.; Mimms, L. Analytical Performance of a FRET-Based Point-of-Care Immunoassay for the Quantitation of C-Reactive Protein in Serum and Finger Prick Capillary Whole Blood. 2021. Available online: https://chemrxiv.org/engage/chemrxiv/article-details/60c75730469df4128bf45419 (accessed on 1 February 2023).
- Yadav, M.; Skinner, M.; Reddy, R.; Wong, M.; Chon, K.; Srikrishnan, R.; Huang, R.; Ong, E.; Bray, K.; Day, V. Performance of a FRET-Based Point-of-Care Immunoassay for the Quantitation of Fecal Calprotectin. 2021. Available online: https://chemrxiv.org/engage/chemrxiv/article-details/60c7551d702a9bce2418c64d (accessed on 1 February 2023).
- Berends, S.E.; Bloem, K.; de Vries, A.; Schaap, T.; Rispens, T.; Strik, A.S.; Talwar, R.; Löwenberg, M.; D’Haens, G.R.; Mathôt, R.A. Monitoring of Adalimumab Concentrations at Home in Patients with Inflammatory Bowel Disease Using Dried Blood Samples. Ther. Drug Monit 2020, 42, 289–294. [Google Scholar] [CrossRef]
- Vande Casteele, N.; Buurman, D.J.; Sturkenboom, M.G.G.; Kleibeuker, J.H.; Vermeire, S.; Rispens, T.; van der Kleij, D.; Gils, A.; Dijkstra, G. Detection of infliximab levels and anti-infliximab antibodies: A comparison of three different assays. Aliment. Pharmacol. Ther. 2012, 36, 765–771. [Google Scholar] [CrossRef] [PubMed]
- Landis, J.R.; Koch, G.G. The Measurement of Observer Agreement for Categorical Data. Biometrics 1977, 33, 159–174. [Google Scholar] [CrossRef] [PubMed]
- Linnet, K. Necessary sample size for method comparison studies based on regression analysis. Clin Chem 1999, 45, 882–894. [Google Scholar] [CrossRef] [PubMed]
- Van Stappen, T.; Bollen, L.; Casteele, N.V.; Papamichael, K.; Van Assche, G.; Ferrante, M.; Vermeire, S.; Gils, A. Rapid test for infliximab drug concentration allows immediate dose adaptation. Clin. Transl. Gastroenterol. 2016, 7, e206. [Google Scholar] [CrossRef] [PubMed]
- Corstjens, P.L.; Fidder, H.H.; Wiesmeijer, K.C.; de Dood, C.J.; Rispens, T.; Wolbink, G.-J.; Hommes, D.W.; Tanke, H.J. A rapid assay for on-site monitoring of infliximab trough levels: A feasibility study. Anal. Bioanal. Chem. 2013, 405, 7367–7375. [Google Scholar] [CrossRef]
- van Bezooijen, J.S.; Koch, B.C.P.; van Doorn, M.B.A.; Prens, E.P.; van Gelder, T.; Schreurs, M.W.J. Comparison of Three Assays to Quantify Infliximab, Adalimumab, and Etanercept Serum Concentrations. Ther. Drug Monit. 2016, 38, 432–438. [Google Scholar] [CrossRef]
- Rocha, C.; Afonso, J.; Lago, P.; Arroja, B.; Vieira, A.I.; Dias, C.C.; Magro, F. Accuracy of the new rapid test for monitoring adalimumab levels. Ther. Adv. Gastroenterol. 2019, 12, 1756284819828238. [Google Scholar] [CrossRef] [PubMed]
- Cherry, M.; Dutzer, D.; Nasser, Y.; Berger, A.-E.; Roblin, X.; Paul, S. Point-of-Care Assays Could Be Useful for Therapeutic Drug Monitoring of IBD Patients in a Proactive Strategy with Adalimumab. J. Clin. Med. 2020, 9, 2739. [Google Scholar] [CrossRef]
- Brouwer, N.; van Pelt, J. Validation and evaluation of eight commercially available point of care CRP methods. Clin. Chim. Acta 2015, 439, 195–201. [Google Scholar] [CrossRef]
- Labaere, D.; Smismans, A.; Van Olmen, A.; Christiaens, P.; D’Haens, G.; Moons, V.; Cuyle, P.-J.; Frans, J.; Bossuyt, P. Comparison of six different calprotectin assays for the assessment of inflammatory bowel disease. United Eur. Gastroenterol. J. 2014, 2, 30–37. [Google Scholar] [CrossRef] [PubMed]
- Walsham, N.E.; Sherwood, R.A. Fecal calprotectin in inflammatory bowel disease. Clin. Exp. Gastroenterol. 2016, 9, 21–29. [Google Scholar] [CrossRef] [PubMed]


| Participants total * (n) | 285 |
| IFX CWB POCT (n) | 124 |
| IFX trough (n) | 103 |
| IFX intermediate (n) | 21 |
| IFX serum POCT (n) | 79 |
| ADL CWB POCT (n) | 115 |
| Participants sampled 2 times (n) | 22 |
| Participants sampled 3 times (n) | 1 |
| CRP (n) | 65 |
| FCP (n) | 50 |
| Female (n, %) | 173 (60.7%) |
| Age, mean (SD) | 41.6 (16.8) |
| Crohn’s disease (n, %) | 207 (72.6%) |
| Disease duration (years, SD) | 14.7 (13.0) |
| Ulcerative colitis (n, %) | 78 (27.4%) |
| Disease duration (years, SD) | 11.7 (10.3) |
| Reference Method | POCT | n | n, Both Results within Assay Range | Passing–Bablok Regression | ICC (95% CI) | Pearson Correlation | Spearman’s Rank Correlation | |
|---|---|---|---|---|---|---|---|---|
| Intercept (95% CI) | Slope (95% CI) | |||||||
| IFX ELISA | IFX CWB POCT | 124 | 120 | 1.56 (1.10–1.93) | 1.04 (0.96–1.11) | 0.85 (0.73–0.91) * | 0.88 * | 0.91 * |
| IFX ELISA | IFX CWB POCT ** | 119 | 116 | 1.67 (1.32–2.05) | 1.01 (0.94–1.07) | 0.93 (0.84–0.96) * | 0.95 * | 0.96 * |
| IFX ELISA | IFX serum POCT | 79 | 76 | 0.71 (0.37–1.07) | 1.10 (1.05–1.16) | 0.96 (0.74–0.96) * | 0.98 * | 0.99 * |
| ADL ELISA | ADL CWB POCT | 115 | 110 | 1.44 (0.73–2.14) | 1.09 (0.98–1.21) | 0.82 (0.43–0.92) * | 0.89 * | 0.92 * |
| CRP lab assay | CRP CWB POCT | 65 | 41 | 0.81 (0.22–1.40) | 0.78 (0.71–0.85) | 0.91 (0.80–0.96) * | 0.98 * | 0.96 * |
| FCP Elia | FCP POCT | 50 | 33 | 51 (21–92) | 0.46 (0.35–0.69) | 0.55 (0.22–0.76) * | 0.78 * | 0.95 * |
| Reference Method | POCT | Discrepancies n/N (%) | Interpretation POCT | NPV | PPV |
|---|---|---|---|---|---|
| IFX ELISA > 3 µg/mL | IFX CWB < 3 µg/mL | 0/124 (0%) | IFX CWB false negative | 100% | 88.2% |
| IFX ELISA < 3 µg/mL | IFX CWB > 3 µg/mL | 14/124 (11.3%) | IFX CWB false positive | ||
| Five timing errors excluded | |||||
| IFX ELISA > 3 µg/mL | IFX CWB < 3 µg/mL | 0/120 (0%) | IFX CWB false negative | 100% | 87.7% |
| IFX ELISA < 3 µg/mL | IFX CWB > 3 µg/mL | 14/119 (12.3%) | IFX CWB false positive | ||
| IFX ELISA > 3 µg/mL | IFX serum < 3 µg/mL | 0/79 (0%) | IFX serum false negative | 100% | 89.5% |
| IFX ELISA < 3 µg/mL | IFX serum > 3 µg/mL | 5/79 (6.3%) | IFX serum false positive | ||
| ADL ELISA > 3 µg/mL | ADL CWB < 5 µg/mL | 1/115 (0.9%) | ADL CWB false negative | 93.3% | 89.0% |
| ADL ELISA < 3 µg/mL | ADL CWB > 5 µg/mL | 11/115 (9.6%) | ADL CWB false positive | ||
| CRP lab assay > 5 mg/dL | CRP CWB < 5 mg/dL | 2/65 (3.1%) | CRP CWB false negative | 90.9% | 96.9% |
| CRP lab assay < 5 mg/dL | CRP CWB > 5 mg/dL | 1/65 (1.5%) | CRP CWB false positive | ||
| FCP Elia > 250 µg/mg | FCP Elia < 250 µg/mg | 5/50 (10%) | FCP CWB false negative | 85.3% | 100% |
| FCP Elia < 250 µg/mg | FCP Elia > 250 µg/mg | 0/50 (0%) | FCP CWB false positive | ||
Disclaimer/Publisher’s Note: The statements, opinions and data contained in all publications are solely those of the individual author(s) and contributor(s) and not of MDPI and/or the editor(s). MDPI and/or the editor(s) disclaim responsibility for any injury to people or property resulting from any ideas, methods, instructions or products referred to in the content. |
© 2023 by the authors. Licensee MDPI, Basel, Switzerland. This article is an open access article distributed under the terms and conditions of the Creative Commons Attribution (CC BY) license (https://creativecommons.org/licenses/by/4.0/).
Share and Cite
Volkers, A.; Löwenberg, M.; Braad, M.; Abeling, Y.; Gecse, K.; Berkers, N.; Montazeri, N.; D’Haens, G. Validation Study of Novel Point-of-Care Tests for Infliximab, Adalimumab and C-Reactive Protein in Capillary Blood and Calprotectin in Faeces in an Ambulatory Inflammatory Bowel Disease Care Setting. Diagnostics 2023, 13, 1712. https://doi.org/10.3390/diagnostics13101712
Volkers A, Löwenberg M, Braad M, Abeling Y, Gecse K, Berkers N, Montazeri N, D’Haens G. Validation Study of Novel Point-of-Care Tests for Infliximab, Adalimumab and C-Reactive Protein in Capillary Blood and Calprotectin in Faeces in an Ambulatory Inflammatory Bowel Disease Care Setting. Diagnostics. 2023; 13(10):1712. https://doi.org/10.3390/diagnostics13101712
Chicago/Turabian StyleVolkers, Adriaan, Mark Löwenberg, Marlou Braad, Yara Abeling, Krisztina Gecse, Nicole Berkers, Nahid Montazeri, and Geert D’Haens. 2023. "Validation Study of Novel Point-of-Care Tests for Infliximab, Adalimumab and C-Reactive Protein in Capillary Blood and Calprotectin in Faeces in an Ambulatory Inflammatory Bowel Disease Care Setting" Diagnostics 13, no. 10: 1712. https://doi.org/10.3390/diagnostics13101712
APA StyleVolkers, A., Löwenberg, M., Braad, M., Abeling, Y., Gecse, K., Berkers, N., Montazeri, N., & D’Haens, G. (2023). Validation Study of Novel Point-of-Care Tests for Infliximab, Adalimumab and C-Reactive Protein in Capillary Blood and Calprotectin in Faeces in an Ambulatory Inflammatory Bowel Disease Care Setting. Diagnostics, 13(10), 1712. https://doi.org/10.3390/diagnostics13101712
