Decreased Intrathecal Concentrations of Free Light Chains Kappa in Multiple Sclerosis Patients Taking Very High Effective Disease-Modifying Treatment
Abstract
:1. Introduction
2. Materials and Methods
Statistical Analysis
3. Results
3.1. Patients’ Characteristics
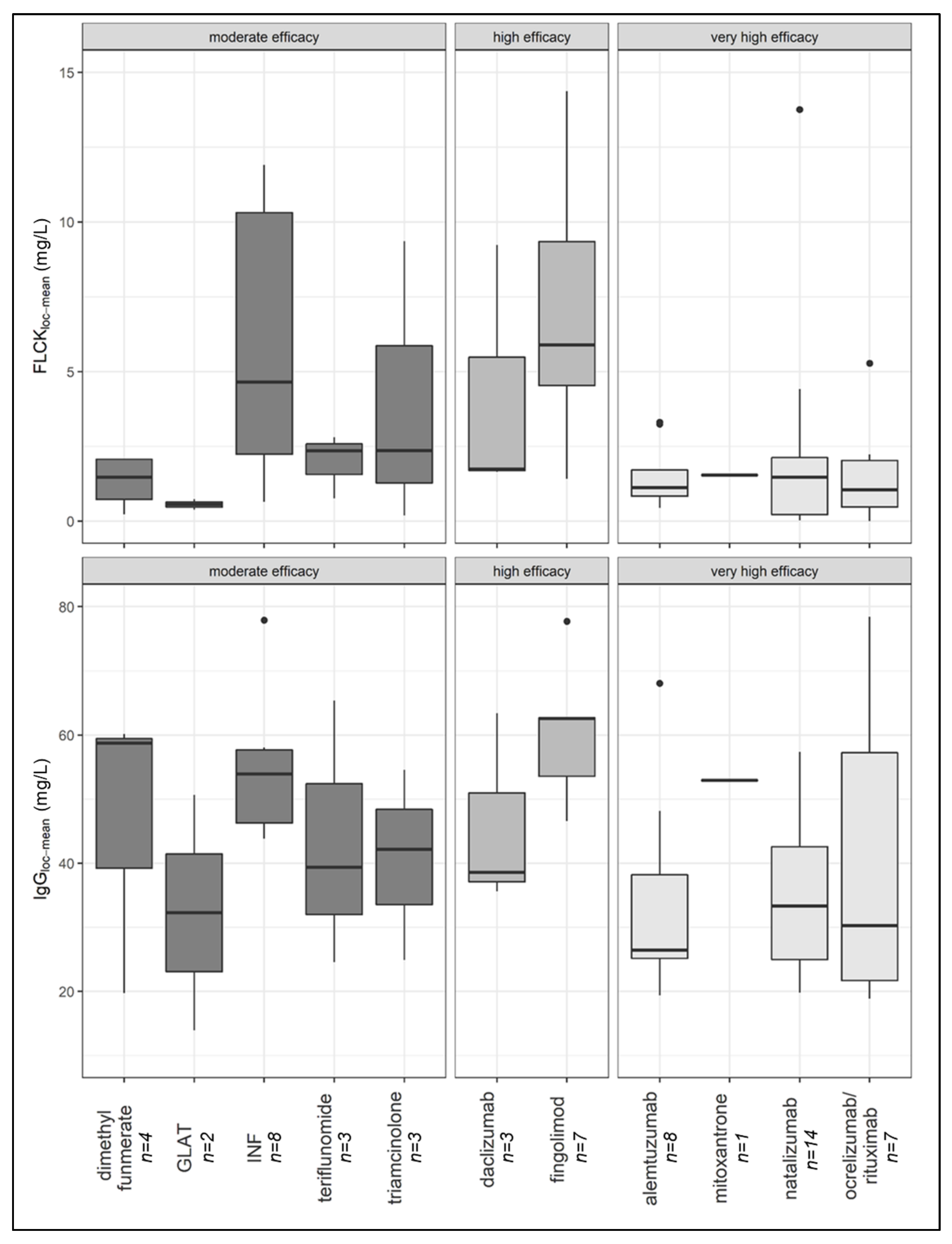
3.2. Impact of DMT on Intrathecal IgG Concentrations and OCB Status
3.3. Impact of DMT on Intrathecal FLCκ Concentrations
4. Discussion
Limitations
5. Conclusions
Author Contributions
Funding
Institutional Review Board Statement
Informed Consent Statement
Data Availability Statement
Acknowledgments
Conflicts of Interest
References
- Süße, M.; Reiber, H.; Grothe, M.; Petersmann, A.; Nauck, M.; Dressel, A.; Hannich, M.J. Free light chain kappa and the polyspecific immune response in MS and CIS—Application of the hyperbolic reference range for most reliable data interpretation. J. Neuroimmunol. 2020, 346, 577287. [Google Scholar] [CrossRef] [PubMed]
- Schlüter, M.; Oswald, E.; Winklmeier, S.; Meinl, I.; Havla, J.; Eichhorn, P.; Meinl, E.; Kümpfel, T. Effects of Natalizumab Therapy on Intrathecal Immunoglobulin G Production Indicate Targeting of Plasmablasts. Neurol.-Neuroimmunol. Neuroinflamm. 2021, 8, e1030. [Google Scholar] [CrossRef] [PubMed]
- Cencioni, M.T.; Mattoscio, M.; Magliozzi, R.; Bar-Or, A.; Muraro, P.A. B cells in multiple sclerosis—From targeted depletion to immune reconstitution therapies. Nat. Rev. Neurol. 2021, 17, 399–414. [Google Scholar] [CrossRef] [PubMed]
- Süße, M.; Hannich, M.; Petersmann, A.; Zylla, S.; Pietzner, M.; Nauck, M.; Dressel, A. Kappa free light chains in cerebrospinal fluid to identify patients with oligoclonal bands. Eur. J. Neurol. 2018, 25, 1134–1139. [Google Scholar] [CrossRef] [PubMed]
- Nakano, T.; Matsui, M.; Inoue, I.; Awata, T.; Katayama, S.; Murakoshi, T. Free immunoglobulin light chain: Its biology and implications in diseases. Clin. Chim. Acta 2011, 412, 843–849. [Google Scholar] [CrossRef] [PubMed]
- Ramsden, D.B. Multiple sclerosis: Assay of free immunoglobulin light chains. Ann. Clin. Biochem. Int. J. Lab. Med. 2017, 54, 5–13. [Google Scholar] [CrossRef] [PubMed] [Green Version]
- Schwenkenbecher, P.; Konen, F.F.; Wurster, U.; Witte, T.; Gingele, S.; Sühs, K.-W.; Stangel, M.; Skripuletz, T. Reiber’s Diagram for Kappa Free Light Chains: The New Standard for Assessing Intrathecal Synthesis? Diagnostics 2019, 9, 194. [Google Scholar] [CrossRef] [Green Version]
- Reiber, H.; Zeman, D.; Kušnierová, P.; Mundwiler, E.; Bernasconi, L. Diagnostic relevance of free light chains in cerebrospinal fluid—The hyperbolic reference range for reliable data interpretation in quotient diagrams. Clin. Chim. Acta 2019, 497, 153–162. [Google Scholar] [CrossRef]
- Leurs, C.E.; Twaalfhoven, H.; Lissenberg-Witte, B.I.; Van Pesch, V.; Dujmovic, I.; Drulovic, J.; Castellazzi, M.; Bellini, T.; Pugliatti, M.; Kuhle, J.; et al. Kappa free light chains is a valid tool in the diagnostics of MS: A large multicenter study. Mult. Scler. J. 2020, 26, 912–923. [Google Scholar] [CrossRef] [PubMed] [Green Version]
- Duranti, F.; Pieri, M.; Centonze, D.; Buttari, F.; Bernardini, S.; Dessi, M. Determination of kFLC and K Index in cerebrospinal fluid: A valid alternative to assessintrathecal immunoglobulin synthesis. J. Neuroimmunol. 2013, 263, 116–120. [Google Scholar] [CrossRef] [PubMed]
- Giovannoni, G. Disease-modifying treatments for early and advanced multiple sclerosis. Curr. Opin. Neurol. 2018, 31, 233–243. [Google Scholar] [CrossRef] [PubMed]
- Bayas, A.; Berthele, A.; Hemmer, B.; Warnke, C.; Wildemann, B. Controversy on the treatment of multiple sclerosis and related disorders: Positional statement of the expert panel in charge of the 2021 DGN Guideline on diagnosis and treatment of multiple sclerosis, neuromyelitis optica spectrum diseases and MOG-IgG-associated disorders. Neurol. Res. Pract. 2021, 3, 45. [Google Scholar] [CrossRef]
- Von Glehn, F.; Farias, A.; De Oliveira, A.C.P.; Damasceno, A.; Longhini, A.L.F.; Oliveira, E.C.; Damasceno, B.P.; Santos, L.M.B.; Brandão, C.O. Disappearance of cerebrospinal fluid oligoclonal bands after natalizumab treatment of multiple sclerosis patients. Mult. Scler. J. 2012, 18, 1038–1041. [Google Scholar] [CrossRef] [PubMed]
- Rudick, R.A.; Cookfair, D.L.; Simonian, N.A.; Ransohoff, R.M.; Richert, J.R.; Jacobs, L.D.; Herndon, R.M.; Salazar, A.M.; Fischer, J.S.; Granger, C.V.; et al. Cerebrospinal fluid abnormalities in a phase III trial of Avonex® (IFNβ-1a) for relapsing multiple sclerosis. J. Neuroimmunol. 1999, 93, 8–14. [Google Scholar] [CrossRef]
- Piccio, L.; Naismith, R.T.; Trinkaus, K.; Klein, R.S.; Parks, B.J.; Lyons, J.A.; Cross, A.H. Changes in B- and T-Lymphocyte and Chemokine Levels with Rituximab Treatment in Multiple Sclerosis. Arch. Neurol. 2010, 67, 707–714. [Google Scholar] [CrossRef] [PubMed] [Green Version]
- Largey, F.; Jelcic, I.; Sospedra, M.; Heesen, C.; Martin, R.; Jelcic, I. Effects of natalizumab therapy on intrathecal antiviral antibody responses in MS. Neurol.-Neuroimmunol. Neuroinflamm. 2019, 6, e621. [Google Scholar] [CrossRef] [PubMed] [Green Version]
- Vecchio, D.; Bellomo, G.; Serino, R.; Virgilio, E.; Lamonaca, M.; Dianzani, U.; Cantello, R.; Comi, C.; Crespi, I. Intrathecal kappa free light chains as markers for multiple sclerosis. Sci. Rep. 2020, 10, 20329. [Google Scholar] [CrossRef] [PubMed]
- Polman, C.H.; Reingold, S.C.; Banwell, B.; Clanet, M.; Cohen, J.A.; Filippi, M.; Fujihara, K.; Havrdova, E.; Hutchinson, M.; Kappos, L.; et al. Diagnostic criteria for multiple sclerosis: 2010 Revisions to the McDonald criteria. Ann. Neurol. 2011, 69, 292–302. [Google Scholar] [CrossRef] [PubMed] [Green Version]
- Polman, C.H.; Reingold, S.C.; Edan, G.; Filippi, M.; Hartung, H.-P.; Kappos, L.; Lublin, F.D.; Metz, L.M.; McFarland, H.F.; O’Connor, P.W.; et al. Diagnostic criteria for multiple sclerosis: 2005 revisions to the “McDonald Criteria”. Ann. Neurol. 2005, 58, 840–846. [Google Scholar] [CrossRef] [Green Version]
- Thompson, A.J.; Banwell, B.L.; Barkhof, F.; Carroll, W.M.; Coetzee, T.; Comi, G.; Correale, J.; Fazekas, F.; Filippi, M.; Freedman, M.S.; et al. Diagnosis of multiple sclerosis: 2017 revisions of the McDonald criteria. Lancet Neurol. 2018, 17, 162–173. [Google Scholar] [CrossRef]
- Schwenkenbecher, P.; Wurster, U.; Sühs, K.-W.; Stangel, M.; Skripuletz, T. Applying the 2017 McDonald diagnostic criteria for multiple sclerosis. Lancet Neurol. 2018, 17, 498. [Google Scholar] [CrossRef]
- Schwenkenbecher, P.; Konen, F.F.; Wurster, U.; Jendretzky, K.F.; Gingele, S.; Sühs, K.-W.; Pul, R.; Witte, T.; Stangel, M.; Skripuletz, T. The Persisting Significance of Oligoclonal Bands in the Dawning Era of Kappa Free Light Chains for the Diagnosis of Multiple Sclerosis. Int. J. Mol. Sci. 2018, 19, 3796. [Google Scholar] [CrossRef] [PubMed] [Green Version]
- Schwenkenbecher, P.; Sarikidi, A.; Bönig, L.; Wurster, U.; Bronzlik, P.; Sühs, K.-W.; Pul, R.; Stangel, M.; Skripuletz, T. Clinically Isolated Syndrome According to McDonald 2010: Intrathecal IgG Synthesis Still Predictive for Conversion to Multiple Sclerosis. Int. J. Mol. Sci. 2017, 18, 2061. [Google Scholar] [CrossRef] [PubMed] [Green Version]
- Konen, F.F.; Schwenkenbecher, P.; Wurster, U.; Jendretzky, K.F.; Möhn, N.; Gingele, S.; Sühs, K.-W.; Hannich, M.J.; Grothe, M.; Witte, T.; et al. The Influence of Renal Function Impairment on Kappa Free Light Chains in Cerebrospinal Fluid. J. Central Nerv. Syst. Dis. 2021, 13, 11795735211042166. [Google Scholar] [CrossRef] [PubMed]
- Kappos, L.; de Stefano, N.; Freedman, M.S.; Cree, B.; Radue, E.-W.; Sprenger, T.; Sormani, M.P.; Smith, T.; A Häring, D.; Meier, D.P.; et al. Inclusion of brain volume loss in a revised measure of ‘no evidence of disease activity’ (NEDA-4) in relapsing—remitting multiple sclerosis. Mult. Scler. J. 2016, 22, 1297–1305. [Google Scholar] [CrossRef] [PubMed] [Green Version]
- Gasperi, C.; Salmen, A.; Antony, G.; Bayas, A.; Heesen, C.; Kümpfel, T.; Linker, R.A.; Paul, F.; Stangel, M.; Tackenberg, B.; et al. Association of Intrathecal Immunoglobulin G Synthesis with Disability Worsening in Multiple Sclerosis. JAMA Neurol. 2019, 76, 841–849. [Google Scholar] [CrossRef] [PubMed]
- Pfuhl, C.; Grittner, U.; Gieß, R.M.; Scheel, M.; Behrens, J.R.; Rasche, L.; Pache, F.C.; Wenzel, R.; Brandt, A.U.; Bellmann-Strobl, J.; et al. Intrathecal IgM production is a strong risk factor for early conversion to multiple sclerosis. Neurology 2019, 93, e1439–e1451. [Google Scholar] [CrossRef] [PubMed]
- Magliozzi, R.; Howell, O.; Nicholas, R.; Cruciani, C.; Castellaro, M.; Romualdi, C.; Rossi, S.; Pitteri, M.; Benedetti, M.D.; Gajofatto, A.; et al. Inflammatory intrathecal profiles and cortical damage in multiple sclerosis. Ann. Neurol. 2018, 83, 739–755. [Google Scholar] [CrossRef]
- Studer, V.; Rossi, S.; Motta, C.; Buttari, F.; Centonze, D. Peripheral B cell depletion and central proinflammatory cytokine reduction following repeated intrathecal administration of rituximab in progressive Multiple Sclerosis. J. Neuroimmunol. 2014, 276, 229–231. [Google Scholar] [CrossRef] [PubMed]
- Cross, A.H.; Stark, J.L.; Lauber, J.; Ramsbottom, M.J.; Lyons, J.-A. Rituximab reduces B cells and T cells in cerebrospinal fluid of multiple sclerosis patients. J. Neuroimmunol. 2006, 180, 63–70. [Google Scholar] [CrossRef] [Green Version]
- Topping, J.; Dobson, R.; Lapin, S.; Maslyanskiy, A.; Kropshofer, H.; Leppert, D.; Giovannoni, G.; Evdoshenko, E. The effects of intrathecal rituximab on biomarkers in multiple sclerosis. Mult. Scler. Relat. Disord. 2016, 6, 49–53. [Google Scholar] [CrossRef] [PubMed]
- Warnke, C.; Stettner, M.; Lehmensiek, V.; Dehmel, T.; Mausberg, A.K.; Von Geldern, G.; Gold, R.; Kümpfel, T.; Hohlfeld, R.; Mäurer, M.; et al. Natalizumab exerts a suppressive effect on surrogates of B cell function in blood and CSF. Mult. Scler. J. 2015, 21, 1036–1044. [Google Scholar] [CrossRef] [PubMed] [Green Version]
- Harrer, A.; Tumani, H.; Niendorf, S.; Lauda, F.; Geis, C.; Weishaupt, A.; Kleinschnitz, C.; Rauer, S.; Kuhle, J.; Stangel, M.; et al. Cerebrospinal fluid parameters of B cell-related activity in patients with active disease during natalizumab therapy. Mult. Scler. J. 2013, 19, 1209–1212. [Google Scholar] [CrossRef] [Green Version]
- Möhn, N.; Pfeuffer, S.; Ruck, T.; Gross, C.C.; Skripuletz, T.; Klotz, L.; Wiendl, H.; Stangel, M.; Meuth, S.G. Alemtuzumab therapy changes immunoglobulin levels in peripheral blood and CSF. Neurol.-Neuroimmunol. Neuroinflamm. 2020, 7, e654. [Google Scholar] [CrossRef] [PubMed] [Green Version]
- Rosenstein, I.; Rasch, S.; Axelsson, M.; Novakova, L.; Blennow, K.; Zetterberg, H.; Lycke, J. Kappa free light chain index as a diagnostic biomarker in multiple sclerosis: A real-world investigation. J. Neurochem. 2021, 159, 618–628. [Google Scholar] [CrossRef]
- Kowarik, M.C.; Pellkofer, H.L.; Cepok, S.; Korn, T.; Kumpfel, T.; Buck, D.; Hohlfeld, R.; Berthele, A.; Hemmer, B. Differential effects of fingolimod (FTY720) on immune cells in the CSF and blood of patients with MS. Neurol. 2011, 76, 1214–1221. [Google Scholar] [CrossRef]
- Genç, K.; Dona, D.L.; Reder, A.T. Increased CD80(+) B cells in active multiple sclerosis and reversal by interferon beta-1b therapy. J. Clin. Investig. 1997, 99, 2664–2671. [Google Scholar] [CrossRef] [Green Version]
- Hoeflich, A.; Fitzner, B.; Walz, C.; Hecker, M.; Tuchscherer, A.; Bastian, M.; Brenmoehl, J.; Schröder, I.; Willenberg, H.S.; Reincke, M.; et al. Systemic Effects by Intrathecal Administration of Triamcinolone Acetonide in Patients with Multiple Sclerosis. Front. Endocrinol. 2020, 11, 574. [Google Scholar] [CrossRef] [PubMed]
- Kaplan, B.; Livneh, A.; Sela, B.-A. Immunoglobulin Free Light Chain Dimers in Human Diseases. Sci. World J. 2011, 11, 726–735. [Google Scholar] [CrossRef] [Green Version]
- Zappulla, J.P.; Arock, M.; Mars, L.T.; Liblau, R.S. Mast cells: New targets for multiple sclerosis therapy? J. Neuroimmunol. 2002, 131, 5–20. [Google Scholar] [CrossRef]
- Giotaki, I.; Lange, P.; Weber, M.S. Modification of CSF findings in multiple sclerosis in the era of rapidly expanding treatment options. Expert Rev. Neurother. 2019, 19, 277–283. [Google Scholar] [CrossRef] [PubMed]



| DMT Moderate Efficacy (n = 20) | DMT High Efficacy (n = 10) | DMT Very High Efficacy (n = 30) | Patients without DMT (n = 90) | p-Value | |
|---|---|---|---|---|---|
| age | 49 (44;56) | 38 (30;42) | 37 (32;48) | 38 (27;48) | 0.004 |
| female (n; %) | 12 (60) | 5 (50) | 27 (90) | 60 (67) | 0.018 |
| number of DMT before actual therapy | 0 (0;1) | 2 (1;3) | 2 (1;3) | - | |
| DMT | INFß-1a n = 5 | fingolimod n = 7 | alemtuzumab n = 8 | ||
| INFß-1b n = 3 | daclizumab n = 3 | natalizumab n = 14 | |||
| glatiramer acetate n = 2 | rituximab/ocrelizumab n = 7 | ||||
| dimethyl fumarate n = 4 | mitoxantrone n = 1 | ||||
| teriflunomide n = 3 | |||||
| triamcinolone n = 3 | |||||
| Mean duration of intake | 3.47 years | 344 days | |||
| Interval between last drug administration and LP in days | alemtuzumab 359 (147;468) anti-CD20 therapies 88 (39;143) natalizumab 30 (14;40) | ||||
| Disease duration (y) | 9.5 (4;18) | 12 (7;13) | 7 (4;10.75) | ||
| EDSS | 3 (1.5;5) | 5.8 (3;6.9) | 5 (2.6;6.4) | 1.8 (1;2.6) | <0.0001 |
| MRI Gd enhancement (n; %) | 2/16 (12.5) | 4/8 (50) | 5/26 (19.2) | 53/87 (60.9) | <0.001 |
| ARR * before LP | 0.3 | 0.7 | 0.8 | - | 0.08 |
| NEDA-3 (n; %) before LP | 8/18 (44.4) | 0/9 | 5/30 (16.7) | - | 0.017 |
| MS type | RRMS n = 15 | RRMS n = 9 | RRMS n = 24 | RRMS n = 52 | |
| PMS n = 5 | PMS n = 1 | PMS n = 6 | CIS n = 30, PMS n = 8 | ||
| CSF data | |||||
| Qalb * 10−3 | 6.8 (4.41;9.89) | 6.1 (5.4;6.9) | 5.1 (4;7.1) | 5.1 (4.2;6.8) | 0.349 |
| QigG * 10−3 | 4.6 (3.55;6.83) | 6.2 (5.4;9) | 4 (3;6.4) | 4.4 (3.1;5.9) | 0.129 |
| IgG loc | 52.3 (41.5;59) | 62.7 (48.3;74.2) | 34 (23;48) | 46 (34;69.9) | 0.005 |
| IgG IF | 0 (0;21.5) | 21 (16;47) | 0 (0;31) | 5 (0;38) | 0.264 |
| OCB pos (n; %) | 19/20 (95) | 9/9 (100) | 26/30 (87) | 85/90 (94) | 0.826 |
| FLCκ serum (mg/L) | 11.9 (9.3;14.5) | 10.6 (9.2;12.9) | 10.7 (7.5;11.8) | 11.8 (9.3;14) | 0.067 |
| FLCκ CSF (mg/L) | 2.3 (0.95;4.7) | 6 (2.6;9.98) | 1.2 (0.4;2.3) | 3.7 (1.1; 6.6) | <0.0001 |
| FLCκ index | 25.8 (18.9;77.1) | 96.4 (56.6;186.9) | 26.5 (6.98;56.2) | 58.6 (18.4;123.4) | 0.002 |
| FLCκ loc | 2.2 (0.75;4.53) | 5.9 (2.4;9.9) | 1.1 (0.3;2.1) | 3.49 (0.96;6.4) | <0.0001 |
| FLCκ IF | 88 (80;95) | 97 (93;98) | 88 (55;92) | 94 (81;97) | 0.001 |
Publisher’s Note: MDPI stays neutral with regard to jurisdictional claims in published maps and institutional affiliations. |
© 2022 by the authors. Licensee MDPI, Basel, Switzerland. This article is an open access article distributed under the terms and conditions of the Creative Commons Attribution (CC BY) license (https://creativecommons.org/licenses/by/4.0/).
Share and Cite
Süße, M.; Konen, F.F.; Schwenkenbecher, P.; Budde, K.; Nauck, M.; Grothe, M.; Hannich, M.J.; Skripuletz, T. Decreased Intrathecal Concentrations of Free Light Chains Kappa in Multiple Sclerosis Patients Taking Very High Effective Disease-Modifying Treatment. Diagnostics 2022, 12, 720. https://doi.org/10.3390/diagnostics12030720
Süße M, Konen FF, Schwenkenbecher P, Budde K, Nauck M, Grothe M, Hannich MJ, Skripuletz T. Decreased Intrathecal Concentrations of Free Light Chains Kappa in Multiple Sclerosis Patients Taking Very High Effective Disease-Modifying Treatment. Diagnostics. 2022; 12(3):720. https://doi.org/10.3390/diagnostics12030720
Chicago/Turabian StyleSüße, Marie, Franz Felix Konen, Philipp Schwenkenbecher, Kathrin Budde, Matthias Nauck, Matthias Grothe, Malte Johannes Hannich, and Thomas Skripuletz. 2022. "Decreased Intrathecal Concentrations of Free Light Chains Kappa in Multiple Sclerosis Patients Taking Very High Effective Disease-Modifying Treatment" Diagnostics 12, no. 3: 720. https://doi.org/10.3390/diagnostics12030720
APA StyleSüße, M., Konen, F. F., Schwenkenbecher, P., Budde, K., Nauck, M., Grothe, M., Hannich, M. J., & Skripuletz, T. (2022). Decreased Intrathecal Concentrations of Free Light Chains Kappa in Multiple Sclerosis Patients Taking Very High Effective Disease-Modifying Treatment. Diagnostics, 12(3), 720. https://doi.org/10.3390/diagnostics12030720

