Diagnostic Value of Endoscopic Ultrasound after Neoadjuvant Chemotherapy for Gastric Cancer Restaging: A Meta-Analysis of Diagnostic Test
Abstract
:1. Introduction
2. Materials and Methods
2.1. Literature Search Strategy
2.2. Selection Criteria
2.3. Quality Assessment
2.4. Data Extraction
2.5. Statistical Analysis
3. Results
3.1. Electronic Search Results and Study Characteristics
3.2. Quality Assessment of the Included Studies
3.3. Data Synthesis
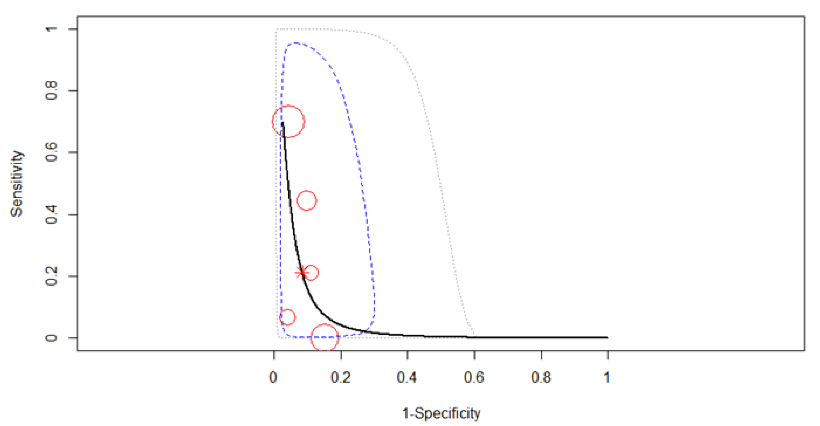
3.3.1. T1 Restage
3.3.2. T2 Restage
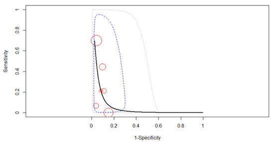
3.3.3. T3 Restaging
3.3.4. T4 Restaging
3.3.5. T1+T2 Restaging
3.3.6. N Restage (N0 vs. N1+)
4. Discussion
5. Conclusions
Author Contributions
Funding
Institutional Review Board Statement
Informed Consent Statement
Data Availability Statement
Acknowledgments
Conflicts of Interest
References
- Sung, H.; Ferlay, J.; Siegel, R.L.; Laversanne, M.; Soerjomataram, I.; Jemal, A.; Bray, F. Global cancer statistics 2020: GLOBOCAN estimates of incidence and mortality worldwide for 36 cancers in 185 countries. CA Cancer J. Clin. 2021, 71, 209–249. [Google Scholar] [CrossRef] [PubMed]
- Liu, X.Y.; Zhang, J. A protocol of systematic review and meta-analysis of narrow band imaging endoscopy in detection of early gastric cancer. Medicine 2020, 99, e21269. [Google Scholar] [CrossRef]
- Burada, F.; Ciurea, M.E.; Nicoli, R.; Streata, I.; Vilcea, I.D.; Rogoveanu, I.; Ioana, M. ATG16L1 T300A Polymorphism is Correlated with Gastric Cancer Susceptibility. Pathol. Oncol. Res. 2016, 22, 317–322. [Google Scholar] [CrossRef]
- Amin, M.B.; Edge, S.B.; Greene, F.L.; Byrd, D.R.; Brookland, R.K.; Washington, M.K.; Gershenwald, J.E.; Compton, C.C.; Hess, K.R.; Sullivan, D.C.; et al. American Joint Committee on Cancer. Chapter 17, Stomach. In AJCC Cancer Staging Manual, 8th ed.; Springer: New York, NY, USA, 2017; pp. 203–221. ISBN 9783319406176. [Google Scholar]
- Ungureanu, B.S.; Sacerdotianu, V.M.; Turcu-Stiolica, A.; Cazacu, I.M.; Saftoiu, A. Endoscopic Ultrasound vs. Computed Tomography for Gastric Cancer Staging: A Network Meta-Analysis. Diagnostics 2021, 11, 134. [Google Scholar] [CrossRef]
- Marrelli, D.; Polom, K.; de Manzoni, G.; Morgagni, P.; Baiocchi, G.L.; Roviello, F. Multimodal treatment of gastric cancer in the west: Where are we going? World J. Gastroenterol. 2015, 21, 7954–7969. [Google Scholar] [CrossRef]
- Liu, J.Y.; Peng, C.W.; Yang, X.J.; Huang, C.Q.; Li, Y. The prognosis role of AJCC/UICC 8th edition staging system in gastric cancer, a retrospective analysis. Am. J. Transl. Res. 2018, 10, 292–303. [Google Scholar] [PubMed]
- Cunningham, D.; Allum, W.H.; Stenning, S.P.; Thompson, J.N.; Van de Velde, C.J.; Nicolson, M.; Scarffe, J.H.; Lofts, F.J.; Falk, S.J.; Iveson, T.J.; et al. Perioperative chemotherapy versus surgery alone for resectable gastroesophageal cancer. N. Engl. J. Med. 2006, 355, 11–20. [Google Scholar] [CrossRef] [Green Version]
- Yu, J.H.; Wang, Z.Z.; Fan, Y.C.; Liu, M.X.; Xu, K.; Zhang, N.; Yao, Z.D.; Yang, H.; Zhang, C.H.; Xing, J.D.; et al. Comparison of neoadjuvant chemotherapy followed by surgery vs. surgery alone for locally advanced gastric cancer: A meta-analysis. Chin. Med. J. 2021, 134, 1669–1680. [Google Scholar] [CrossRef] [PubMed]
- National Comprehensive Cancer Network. NCCN Clinical Practice Guidelines in Oncology. Gastric Cancer (Version: 4). 2021. Available online: https://www.nccn.org/professionals/physician_gls/pdf/gastric.pdf (accessed on 3 August 2021).
- Mocellin, S.; Pasquali, S. Diagnostic accuracy of endoscopic ultrasonography (EUS) for the preoperative locoregional staging of primary gastric cancer. Cochrane Database Syst. Rev. 2015, 2015, CD009944. [Google Scholar] [CrossRef]
- Sun, F.; Chen, T.; Han, J.; Ye, P.; Hu, J. Staging accuracy of endoscopic ultrasound for esophageal cancer after neoadjuvant chemotherapy: A meta-analysis and systematic review. Dis. Esophagus 2015, 28, 757–771. [Google Scholar] [CrossRef]
- Page, M.J.; McKenzie, J.E.; Bossuyt, P.M.; Boutron, I.; Hoffmann, T.C.; Mulrow, C.D.; Shamseer, L.; Tetzlaff, J.M.; Akl, E.A.; Brennan, S.E.; et al. The PRISMA 2020 statement: An updated guideline for reporting systematic reviews. BMJ 2021, 372, n71. [Google Scholar] [CrossRef] [PubMed]
- Whiting, P.F.; Rutjes, A.W.; Westwood, M.E.; Mallett, S.; Deeks, J.J.; Reitsma, J.B.; Leeflang, M.M.; Sterne, J.A.; Bossuyt, P.M.; QUADAS-2 Group. QUADAS-2: A revised tool for the quality assessment of diagnostic accuracy studies. Ann. Intern. Med. 2011, 155, 529–536. [Google Scholar] [CrossRef]
- Redondo-Cerezo, E.; Martínez-Cara, J.G.; Jiménez-Rosales, R.; Valverde-López, F.; Caballero-Mateos, A.; Jérvez-Puente, P.; Ariza-Fernández, J.L.; Úbeda-Muñoz, M.; López-de-Hierro, M.; de Teresa, J. Endoscopic ultrasound in gastric cancer staging before and after neoadjuvant chemotherapy. A comparison with PET-CT in a clinical series. United Eur. Gastroenterol. J. 2017, 5, 641–647. [Google Scholar] [CrossRef] [PubMed]
- Hoibian, S.; Giovannini, M.; Autret, A.; Pesenti, C.; Bories, E.; Ratone, J.P.; Dahel, Y.; Dermeche, S.; Meillat, H.; Guiramand, J.; et al. Preoperative EUS evaluation of the response to neoadjuvant therapy for gastric and esophagogastric junction cancer is correlated with survival: A single retrospective study of 97 patients. Endosc. Ultrasound. 2021, 10, 103–110. [Google Scholar] [CrossRef]
- Samiei, F.; Maddah Safaei, A.; Esmati, E.; Alibakhshi, A.; Mirai Ashtiani, M.; Haddad, P.; Nosrati, H.; Khanjani, N. Response to neoadjuvant chemotherapy in locally advanced gastric and gastroesophageal cancer: Phase II clinical trial. Int. J. Radiat. Res. 2015, 13, 259–264. [Google Scholar] [CrossRef]
- Rutter, C.M.; Gatsonis, C.A. A hierarchical regression approach to meta-analysis of diagnostic test accuracy evaluations. Stat. Med. 2001, 20, 2865–2884. [Google Scholar] [CrossRef] [PubMed]
- Ajani, J.A.; Mansfield, P.F.; Lynch, P.M.; Pisters, P.W.; Feig, B.; Dumas, P.; Evans, D.B.; Raijman, I.; Hargraves, K.; Curley, S.; et al. Enhanced staging and all chemotherapy preoperatively in patients with potentially resectable gastric carcinoma. J. Clin. Oncol. 1999, 17, 2403–2411. [Google Scholar] [CrossRef]
- Bohle, W.; Zachmann, R.; Zoller, W.G. Sequential endoscopic ultrasound identifies predictive variables for relapse-free follow-up after neoadjuvant chemotherapy in gastric cancer. Scand. J. Gastroenterol. 2017, 52, 754–761. [Google Scholar] [CrossRef] [PubMed]
- Guo, T.; Yao, F.; Yang, A.M.; Li, X.Y.; Zhong, D.R.; Wu, D.S.; Wu, X.; Lu, X.H. Endoscopic ultrasound in restaging and predicting pathological response for advanced gastric cancer patients after neoadjuvant chemotherapy. Asia Pac. J. Clin. Oncol. 2014, 10, e28–e32. [Google Scholar] [CrossRef]
- Kelsen, D.; Karpeh, M.; Schwartz, G.; Gerdes, H.; Lightdale, C.; Botet, J.; Lauers, G.; Klimstra, D.; Huang, Y.; Saltz, L.; et al. Neoadjuvant therapy of high-risk gastric cancer: A phase II trial of preoperative FAMTX and postoperative intraperitoneal fluorouracil-cisplatin plus intravenous fluorouracil. J. Clin. Oncol. 1996, 14, 1818–1828. [Google Scholar] [CrossRef] [PubMed]
- Park, S.R.; Lee, J.S.; Kim, C.G.; Kim, H.K.; Kook, M.C.; Kim, Y.W.; Ryu, K.W.; Lee, J.H.; Bae, J.M.; Choi, I.J. Endoscopic ultrasound and computed tomography in restaging and predicting prognosis after neoadjuvant chemotherapy in patients with locally advanced gastric cancer. Cancer 2008, 112, 2368–2376. [Google Scholar] [CrossRef]
- Borggreve, A.S.; Goense, L.; Brenkman, H.J.F.; Mook, S.; Meijer, G.J.; Wessels, F.J.; Verheij, M.; Jansen, E.P.; van Hillegersberg, R.; van Rossum, P.S.; et al. Imaging strategies in the management of gastric cancer: Current role and future potential of MRI. Br. J. Radiol. 2019, 92, 20181044. [Google Scholar] [CrossRef] [PubMed]
- Smyth, E.C.; Verheij, M.; Allum, W.; Cunningham, D.; Cervantes, A.; Arnold, D. Gastric cancer: ESMO Clinical Practice Guidelines for diagnosis, treatment and follow-up. Ann. Oncol. 2016, 27, v38–v49. [Google Scholar] [CrossRef] [PubMed]
- Kalisz, K.R.; Enzerra, M.D.; Paspulati, R.M. MRI Evaluation of the Response of Rectal Cancer to Neoadjuvant Chemoradiation Therapy. Radiographics 2019, 39, 538–556. [Google Scholar] [CrossRef] [PubMed]
- Mesenas, S.; Vu, C.; McStay, M.; Forshaw, M.; Doig, L.; Mason, R.; Boyle, N.; Meenan, J. A large series, resection controlled study to assess the value of radial EUS in restaging gastroesophageal cancer following neoadjuvant chemotherapy. Dis. Esophagus 2008, 21, 37–42. [Google Scholar] [CrossRef]
- Kim, S.K.; Kang, K.W.; Lee, J.S.; Kim, H.K.; Chang, H.J.; Choi, J.Y.; Lee, J.H.; Ryu, K.W.; Kim, Y.W.; Bae, J.M. Assessment of lymph node metastases using 18F-FDG PET in patients with advanced gastric cancer. Eur. J. Nucl. Med. Mol. Imaging 2006, 33, 148–155. [Google Scholar] [CrossRef]
- Shim, C.N.; Song, M.K.; Lee, H.S.; Chung, H.; Lee, H.; Shin, S.K.; Lee, S.K.; Lee, Y.C.; Park, J.C. Prediction of survival by tumor area on endosonography after definitive chemoradiotherapy for locally advanced squamous cell carcinoma of the esophagus. Digestion 2014, 90, 98–107. [Google Scholar] [CrossRef]
- Agarwal, B.; Swisher, S.; Ajani, J.; Kelly, K.; Fanning, C.; Komaki, R.R.; Putnam, J.B., Jr.; Abu-Hamda, E.; Molke, K.L.; Walsh, G.L.; et al. Endoscopic ultrasound after preoperative chemoradiation can help identify patients who benefit maximally after surgical esophageal resection. Am. J. Gastroenterol. 2004, 99, 1258–1266. [Google Scholar] [CrossRef]
- Griffin, J.M.; Reed, C.E.; Denlinger, C.E. Utility of restaging endoscopic ultrasound after neoadjuvant therapy for esophageal cancer. Ann. Thorac. Surg. 2012, 93, 1855–1860. [Google Scholar] [CrossRef]
- Patel, P.R.; Mansfield, P.F.; Crane, C.H.; Wu, T.T.; Lee, J.H.; Lynch, P.M.; Morris, J.; Pisters, P.W.; Feig, B.; Sunder, P.K.; et al. Clinical stage after preoperative chemoradiation is a better predictor of patient outcome than the baseline stage for localized gastric cancer. Cancer 2007, 110, 989–995. [Google Scholar] [CrossRef]
- Zurleni, T.; Gjoni, E.; Ballabio, A.; Casieri, R.; Ceriani, P.; Marzoli, L.; Zurleni, F. Sixth and seventh tumor-node-metastasis staging system compared in gastric cancer patients. World J. Gastrointest. Surg. 2013, 5, 287–293. [Google Scholar] [CrossRef] [PubMed]
- Fang, W.L.; Huang, K.H.; Chen, J.H.; Lo, S.S.; Hsieh, M.C.; Shen, K.H.; Li, A.F.Y.; Niu, D.M.; Chiou, S.H.; Wu, C.W. Comparison of the Survival Difference Between AJCC 6th and 7th Editions for Gastric Cancer Patients. World J. Surg. 2011, 35, 2723–2729. [Google Scholar] [CrossRef] [PubMed]













| Study | Country | No of Patients (Included/Total) | Age Mean, Range | Gender Male/Female | Location | AICC/UICC TNM Edition |
|---|---|---|---|---|---|---|
| Ajani 1999 [19] | United States of America (Texas) | 13/30 | 56, 33–75 | 19/11 | Proximal 21 Distal 9 | 5th ed. |
| Bohle 2017 [20] | Germany | 67 | 61, 29–80 | 48/19 | Gastric 18 Esophago-gastric junction 44 Distal esophagus 5 | 7th ed. |
| Guo 2014 [21] | China | 48 | 62, 34–80 | 33/15 | Cardia 9 Distal+proximal 39 | NA |
| Kelsen 1996 [22] | United States of America (New York) | 37/60 | 57, 26–75 | 40/20 | Proximal 31 Distal 28 Linistis Plastica 1 | NA |
| Park 2008 [23] | Republic of Korea | 40/44 | 58, 36–70 | 30/10 | Proximal 6 Distal 27 Whole stomach 7 | 6th ed. |
| Redondo-Cerezo 2017 [15] | Spain | 80/256 | 67.6 (SD = 12.1) | 178/78 | Fundus 26 Body 102 Antrum 100 Lesser curvature/incisura angularis 30 | 7th ed. |
| Stage | Pooled Sensitivity (95%, CI) | Pooled Specificity (95%, CI) | Pooled DOR (95%, CI) | AUC Partial AUC (Restricted to Observed FPRs and Normalized) |
|---|---|---|---|---|
| T2 | 29% (11–57%) | 89% (83–94%) | 3.96 (0.95–16.62) | 0.85 (0.25) |
| T3 | 71% (45–89%) | 49% (31–68%) | 2.28 (1.08–3.46) | 0.62 (0.69) |
| T4 | 56% (37–72%) | 87% (67–95%) | 4.79 (0.43–6.33) | 0.71 (0.58) |
| T1+T2 | 45% (7–89%) | 86% (72–94%) | 4.8 (2.02–6.93) | 0.84 (0.65) |
| N | 53% (44–62%) | 72% (53–85%) | 2.97 (1.19–7.44) | 0.55 (0.52) |
Publisher’s Note: MDPI stays neutral with regard to jurisdictional claims in published maps and institutional affiliations. |
© 2022 by the authors. Licensee MDPI, Basel, Switzerland. This article is an open access article distributed under the terms and conditions of the Creative Commons Attribution (CC BY) license (https://creativecommons.org/licenses/by/4.0/).
Share and Cite
Sacerdotianu, V.M.; Ungureanu, B.S.; Iordache, S.; Turcu-Stiolica, A.; Facciorusso, A.; Crinò, S.F.; Saftoiu, A. Diagnostic Value of Endoscopic Ultrasound after Neoadjuvant Chemotherapy for Gastric Cancer Restaging: A Meta-Analysis of Diagnostic Test. Diagnostics 2022, 12, 100. https://doi.org/10.3390/diagnostics12010100
Sacerdotianu VM, Ungureanu BS, Iordache S, Turcu-Stiolica A, Facciorusso A, Crinò SF, Saftoiu A. Diagnostic Value of Endoscopic Ultrasound after Neoadjuvant Chemotherapy for Gastric Cancer Restaging: A Meta-Analysis of Diagnostic Test. Diagnostics. 2022; 12(1):100. https://doi.org/10.3390/diagnostics12010100
Chicago/Turabian StyleSacerdotianu, Victor Mihai, Bogdan Silviu Ungureanu, Sevastita Iordache, Adina Turcu-Stiolica, Antonio Facciorusso, Stefano Francesco Crinò, and Adrian Saftoiu. 2022. "Diagnostic Value of Endoscopic Ultrasound after Neoadjuvant Chemotherapy for Gastric Cancer Restaging: A Meta-Analysis of Diagnostic Test" Diagnostics 12, no. 1: 100. https://doi.org/10.3390/diagnostics12010100
APA StyleSacerdotianu, V. M., Ungureanu, B. S., Iordache, S., Turcu-Stiolica, A., Facciorusso, A., Crinò, S. F., & Saftoiu, A. (2022). Diagnostic Value of Endoscopic Ultrasound after Neoadjuvant Chemotherapy for Gastric Cancer Restaging: A Meta-Analysis of Diagnostic Test. Diagnostics, 12(1), 100. https://doi.org/10.3390/diagnostics12010100

