Bone Structure Analysis of the Radius Using Ultrahigh Field (7T) MRI: Relevance of Technical Parameters and Comparison with 3T MRI and Radiography
Abstract
1. Introduction
2. Methods
2.1. Study Cohort
2.2. Radiography
2.3. Magnetic Resonance Imaging
2.4. Bone Texture Analysis
2.5. Analytic Approach
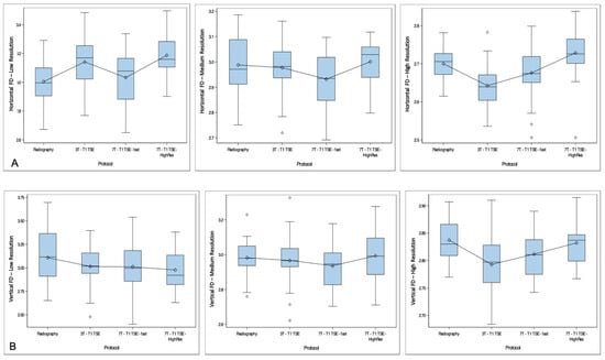
3. Results
4. Discussion
5. Conclusions
Author Contributions
Funding
Institutional Review Board Statement
Informed Consent Statement
Data Availability Statement
Acknowledgments
Conflicts of Interest
References
- Castellano, G.; Bonilha, L.; Li, L.; Cendes, F. Texture analysis of medical images. Clin. Radiol. 2004, 59, 1061–1069. [Google Scholar] [CrossRef]
- De Santi, B.; Salvi, M.; Giannini, V.; Meiburger, K.M.; Marzola, F.; Russo, F.; Bosco, M.; Molinari, F. Comparison of Histogram-based Textural Features between Cancerous and Normal Prostatic Tissue in Multiparametric Magnetic Resonance Images. In Proceedings of the 2020 42nd Annual International Conference of the IEEE Engineering in Medicine & Biology Society (EMBC), Montreal, QC, Canada, 20–24 July 2020; Volume 2020, pp. 1671–1674. [Google Scholar]
- Bs, R.D.C.; Kontos, D. Role of texture analysis in breast MRI as a cancer biomarker: A review. J. Magn. Reson. Imaging 2019, 49, 927–938. [Google Scholar] [CrossRef]
- Lynch, J.A.; Hawkes, D.J.; Buckland-Wright, J.C. Analysis of texture in macroradiographs of osteoarthritic knees, using the fractal signature. Phys. Med. Biol. 1991, 36, 709–722. [Google Scholar] [CrossRef] [PubMed]
- Buckland-Wright, J.C.; Lynch, J.A.; Macfarlane, D.G. Fractal signature analysis measures cancellous bone organisation in macroradiographs of patients with knee osteoarthritis. Ann. Rheum. Dis. 1996, 55, 749–755. [Google Scholar] [CrossRef] [PubMed]
- Janvier, T.; Jennane, R.; Toumi, H.; Lespessailles, É. Subchondral tibial bone texture predicts the incidence of radiographic knee osteoarthritis: Data from the Osteoarthritis Initiative. Osteoarthr. Cartil. 2017, 25, 2047–2054. [Google Scholar] [CrossRef] [PubMed]
- Kraus, V.B.; Feng, S.; Wang, S.; White, S.; Ainslie, M.; Brett, A.; Holmes, A.; Charles, H.C. Trabecular morphometry by fractal signature analysis is a novel marker of osteoarthritis progression. Arthritis Rheum. 2009, 60, 3711–3722. [Google Scholar] [CrossRef]
- Podsiadlo, P.; Cicuttini, F.; Wolski, M.; Stachowiak, G.; Wluka, A.E. Trabecular bone texture detected by plain radiography is associated with an increased risk of knee replacement in patients with osteoarthritis: A 6 year prospective follow up study. Osteoarthr. Cartil. 2014, 22, 71–75. [Google Scholar] [CrossRef][Green Version]
- Disini, L.; Foster, M.; Milligan, P.J.; Buckland-Wright, J.C. Cancellous bone changes in the radius of patients with rheumatoid arthritis: A cross-sectional quantitative macroradiographic study. Rheumatology 2004, 43, 1150–1157. [Google Scholar] [CrossRef]
- Benhamou, C.L.; Poupon, S.; Lespessailles, E.; Loiseau, S.; Jennane, R.; Siroux, V.; Ohley, W.; Pothuaud, L. Fractal Analysis of Radiographic Trabecular Bone Texture and Bone Mineral Density: Two Complementary Parameters Related to Osteoporotic Fractures. J. Bone Miner. Res. 2001, 16, 697–704. [Google Scholar] [CrossRef]
- Wehrli, F.W.; Gomberg, B.R.; Saha, P.K.; Song, H.K.; Hwang, S.N.; Snyder, P.J. Digital Topological Analysis of In Vivo Magnetic Resonance Microimages of Trabecular Bone Reveals Structural Implications of Osteoporosis. J. Bone Miner. Res. 2001, 16, 1520–1531. [Google Scholar] [CrossRef]
- Ali, M.; Brogren, E.; Atroshi, I. Assessment of a novel computer software in diagnosing radiocarpal osteoarthritis on plain radiographs of patients with previous distal radius fracture. Osteoarthr. Cartil. Open 2020, 2, 100112. [Google Scholar] [CrossRef]
- Buckland-Wright, C. Subchondral bone changes in hand and knee osteoarthritis detected by radiography. Osteoarthr. Cartil. 2004, 12, 10–19. [Google Scholar] [CrossRef] [PubMed]
- Majumdar, S.; Genant, H.K.; Grampp, S.; Newitt, D.C.; Truong, V.-H.; Lin, J.C.; Mathur, A. Correlation of Trabecular Bone Structure with Age, Bone Mineral Density, and Osteoporotic Status: In Vivo Studies in the Distal Radius Using High Resolution Magnetic Resonance Imaging. J. Bone Miner. Res. 1997, 12, 111–118. [Google Scholar] [CrossRef] [PubMed]
- Wehrli, F.W.; Hwang, S.N.; Ma, J.; Song, H.K.; Ford, J.C.; Haddad, J.G. Cancellous bone volume and structure in the forearm: Noninvasive assessment with MR microimaging and image processing. Radiology 1998, 206, 347–357. [Google Scholar] [CrossRef]
- Chang, G.; Boone, S.; Martel, D.; Rajapakse, C.S.; Hallyburton, R.S.; Valko, M.; Honig, S.; Regatte, R.R. MRI assessment of bone structure and microarchitecture. J. Magn. Reson. Imaging 2017, 46, 323–337. [Google Scholar] [CrossRef]
- Wehrli, F.W. Structural and functional assessment of trabecular and cortical bone by micro magnetic resonance imaging. J. Magn. Reson. Imaging 2007, 25, 390–409. [Google Scholar] [CrossRef]
- Friedrich, K.M.; Chang, G.; Vieira, R.L.R.; Wang, L.; Wiggins, G.C.; Schweitzer, M.E.; Regatte, R.R. In Vivo 7.0-Tesla Magnetic Resonance Imaging of the Wrist and Hand: Technical Aspects and Applications. Semin. Musculoskelet. Radiol. 2009, 13, 074–084. [Google Scholar] [CrossRef]
- Regatte, R.R.; Schweitzer, M.E. Ultra-high-field MRI of the musculoskeletal system at 7.0T. J. Magn. Reson. Imaging 2007, 25, 262–269. [Google Scholar] [CrossRef]
- Ladd, M.E.; Bachert, P.; Meyerspeer, M.; Moser, E.; Nagel, A.M.; Norris, D.G.; Schmitter, S.; Speck, O.; Nagel, A.M.; Zaiss, M. Pros and cons of ultra-high-field MRI/MRS for human application. Prog. Nucl. Magn. Reson. Spectrosc. 2018, 109, 1–50. [Google Scholar] [CrossRef]
- Balamoody, S.; Williams, T.G.; Wolstenholme, C.; Waterton, J.C.; Bowes, M.; Hodgson, R.; Zhao, S.; Scott, M.; Taylor, C.J.; Hutchinson, C.E. Magnetic resonance transverse relaxation time T2 of knee cartilage in osteoarthritis at 3-T: A cross-sectional multicentre, multivendor reproducibility study. Skelet. Radiol. 2012, 42, 511–520. [Google Scholar] [CrossRef]
- Lam, S.C.B.; Wald, M.J.; Rajapakse, C.S.; Liu, Y.; Saha, P.K.; Wehrli, F.W. Performance of the MRI-based virtual bone biopsy in the distal radius: Serial reproducibility and reliability of structural and mechanical parameters in women representative of osteoporosis study populations. Bone 2011, 49, 895–903. [Google Scholar] [CrossRef] [PubMed][Green Version]
- Wald, M.J.; Magland, J.F.; Rajapakse, C.S.; Wehrli, F.W. Structural and mechanical parameters of trabecular bone estimated from in vivo high-resolution magnetic resonance images at 3 tesla field strength. J. Magn. Reson. Imaging 2010, 31, 1157–1168. [Google Scholar] [CrossRef] [PubMed]
- Zuo, J.; Bolbos, R.; Hammond, K.; Li, X.; Majumdar, S. Reproducibility of the quantitative assessment of cartilage morphology and trabecular bone structure with magnetic resonance imaging at 7 T. Magn. Reson. Imaging 2008, 26, 560–566. [Google Scholar] [CrossRef] [PubMed][Green Version]
- Gomberg, B.; Wehrli, F.; Vasilic, B.; Weening, R.; Saha, P.K.; Song, H.; Wright, A. Reproducibility and error sources of μ-MRI-based trabecular bone structural parameters of the distal radius and tibia. Bone 2004, 35, 266–276. [Google Scholar] [CrossRef]
- Lin, W.; Ladinsky, G.A.; Wehrli, F.W.; Song, H.K. Image metric-based correction (autofocusing) of motion artifacts in high-resolution trabecular bone imaging. J. Magn. Reson. Imaging 2007, 26, 191–197. [Google Scholar] [CrossRef]
- Song, H.K.; Wehrli, F.W. In vivo micro-imaging using alternating navigator echoes with applications to cancellous bone structural analysis. Magn. Reson. Med. 1999, 41, 947–953. [Google Scholar] [CrossRef]
- Buch, K.; Kuno, H.; Qureshi, M.M.; Li, B.; Sakai, O. Quantitative variations in texture analysis features dependent on MRI scanning parameters: A phantom model. J. Appl. Clin. Med. Phys. 2018, 19, 253–264. [Google Scholar] [CrossRef]
- Mayerhoefer, M.E.; Szomolanyi, P.; Jirak, D.; Materka, A.; Trattnig, S. Effects of MRI acquisition parameter variations and protocol heterogeneity on the results of texture analysis and pattern discrimination: An application-oriented study. Med. Phys. 2009, 36, 1236–1243. [Google Scholar] [CrossRef]
- Collewet, G.; Strzelecki, M.; Mariette, F. Influence of MRI acquisition protocols and image intensity normalization methods on texture classification. Magn. Reson. Imaging 2004, 22, 81–91. [Google Scholar] [CrossRef]
- Buch, K.; Li, B.; Qureshi, M.; Kuno, H.; Anderson, S.; Sakai, O. Quantitative Assessment of Variation in CT Parameters on Texture Features: Pilot Study Using a Nonanatomic Phantom. Am. J. Neuroradiol. 2017, 38, 981–985. [Google Scholar] [CrossRef]
- Van Timmeren, J.E.; Leijenaar, R.T.; Van Elmpt, W.; Wang, J.; Zhang, Z.; Dekker, A.; Lambin, P. Test–Retest Data for Radiomics Feature Stability Analysis: Generalizable or Study-Specific? Tomography 2016, 2, 361–365. [Google Scholar] [CrossRef] [PubMed]
- Fave, X.; Cook, M.; Frederick, A.; Zhang, L.; Yang, J.; Fried, D.; Stingo, F.C.; Court, L.E. Preliminary investigation into sources of uncertainty in quantitative imaging features. Comput. Med. Imaging Graph. 2015, 44, 54–61. [Google Scholar] [CrossRef] [PubMed]
- Jarraya, M.; Guermazi, A.; Niu, J.; Duryea, J.; Lynch, J.A.; Roemer, F. Multi-dimensional reliability assessment of fractal signature analysis in an outpatient sports medicine population. Ann. Anat.-Anat. Anz. 2015, 202, 57–60. [Google Scholar] [CrossRef] [PubMed]
- Mackay, J.W.; Roemer, F.; Kogan, F. Standardized multi-vendor compositional MRI of knee cartilage: A key step towards clinical translation? Osteoarthr. Cartil. 2020, 28, 1497–1500. [Google Scholar] [CrossRef] [PubMed]
- Kim, J.; Mamoto, K.; Lartey, R.; Xu, K.; Nakamura, K.; Shin, W.; Winalski, C.S.; Obuchowski, N.; Tanaka, M.; Bahroos, E.; et al. Multi-vendor multi-site T1ρ and T2 quantification of knee cartilage. Osteoarthr. Cartil. 2020, 28, 1539–1550. [Google Scholar] [CrossRef] [PubMed]
- QIBA Profile: MR-Based Cartilage Compositional Biomarkers (T1ρ, T2) for Risk Prediction, Early Diagnosis and Monitoring of Treatment of Degenerative Joint Disease. Available online: https://qibawiki.rsna.org/images/2/20/QIBA_Profile_MSK-Cartilage-Stage1_Profile.pdf (accessed on 30 October 2020).
- Joseph, G.; McCulloch, C.E.; Nevitt, M.C.; Neumann, J.; Lynch, J.A.; Lane, N.E.; Link, T.M. Associations Between Vitamins C and D Intake and Cartilage Composition and Knee Joint Morphology Over 4 Years: Data From the Osteoarthritis Initiative. Arthritis Rheum. 2020, 72, 1239–1247. [Google Scholar] [CrossRef]
- Joseph, G.; McCulloch, C.E.; Nevitt, M.C.; Gersing, A.S.; Schwaiger, B.J.; Kretzschmar, M.; Heilmeier, U.; Link, T.M. Medial femur T 2 Z-scores predict the probability of knee structural worsening over 4-8 years: Data from the osteoarthritis initiative. J. Magn. Reson. Imaging 2017, 46, 1128–1136. [Google Scholar] [CrossRef]
- Aggarwal, N.; Agrawal, R.K. First and Second Order Statistics Features for Classification of Magnetic Resonance Brain Images. J. Signal Inf. Process. 2012, 3, 146–153. [Google Scholar] [CrossRef]
- Djuričić, G.J.; Radulovic, M.; Sopta, J.P.; Nikitović, M.; Milošević, N.T. Fractal and Gray Level Cooccurrence Matrix Computational Analysis of Primary Osteosarcoma Magnetic Resonance Images Predicts the Chemotherapy Response. Front. Oncol. 2017, 7, 246. [Google Scholar] [CrossRef]


| Voxel Size (mm3) | Distance Factor (%) | Echo Time (TE) (ms) | Repetion Time (TR) (ms) | Flip Angle (Degrees) | Acceleration Factor | Field of View (FOV) Read (mm) | FOV Phase (%) | Time of Acquisition (s) | Number of Averages | |
|---|---|---|---|---|---|---|---|---|---|---|
| 3T-T1 Turbo Spin Echo (TSE) | 0.2 × 0.2 × 2 | 10 | 15 | 600 | 90/150 | 2 | 90 | 100 | 269 | 3 |
| 7T-T1 TSE–fast | 0.2 × 0.2 × 2 | 10 | 8.9 | 874 | 90/150 | 2 | 90 | 100 | 79 | 1 |
| 7T-T1 TSE-HR | 0.125 × 0.125 × 2 | 10 | 13 | 1200 | 90/150 | 2 | 90 | 100.8 | 196 | 1 |
| Low Resolution (1.8–2.7 mm) | Medium Resolution (0.9–1.8 mm) | High Resolution (1.8–2.7 mm) | |||||||
|---|---|---|---|---|---|---|---|---|---|
| Patient | Volunteer | p-Value | Patient | Volunteer | p-Value | Patient | Volunteer | p-Value | |
| 3T-T1 TSE | 3.142 | 3.128 | 0.77 | 2.977 | 2.947 | 0.34 | 2.629 | 2.657 | 0.06 |
| 7T-T1 TSE–fast | 3.033 | 2.994 | 0.60 | 2.932 | 2.823 | 0.03 | 2.685 | 2.663 | 0.33 |
| 7T-T1 TSE-HR | 3.188 | 3.047 | 0.04 | 3.001 | 2.967 | 0.37 | 2.731 | 2.727 | 0.79 |
| Low Resolution (1.8–2.7 mm) | Medium Resolution (0.9–1.8 mm) | High Resolution (0.0–0.9 mm) | |||||||
|---|---|---|---|---|---|---|---|---|---|
| Patient | Volunteer | p-Value | Patient | Volunteer | p-Value | Patient | Volunteer | p-Value | |
| 3T-T1 TSE | 3.014 | 3.120 | 0.10 | 2.966 | 3.016 | 0.23 | 2.793 | 2.781 | 0.38 |
| 7T-T1 TSE-fast | 3.011 | 3.000 | 0.90 | 2.936 | 3.007 | 0.13 | 2.812 | 2.836 | 0.13 |
| 7T-T1 TSE-HR | 2.978 | 3.121 | 0.01 | 2.993 | 3.047 | 0.12 | 2.832 | 2.839 | 0.53 |
| Comparison 1 (Sample Size, n = 23) | Comparison 2 (Sample Size, n = 18) | ||||
|---|---|---|---|---|---|
| Radiography (Reference) | 3T-T1 TSE (p-Value) | 7T-T1 TSE-HighRes (p-Value) | Radiography (Reference) | 7T-T1 TSE-Fast (p-Value) | |
| Low Resolution 1.8–2.7 mm | 3.004 | 3.139 (0.03) | 3.201 (0.0002) | 2.986 | 3.069 (0.13) |
| Medium Resolution 0.9–1.8 mm | 2.988 | 2.971 (0.56) | 3.01 (0.46) | 3.001 | 2.952 (0.20) |
| High Resolution 0.0–0.9 mm | 2.7 | 2.632 (<0.0001) | 2.732 (0.01) | 2.7 | 2.691 (0.59) |
| Comparison 1 (Sample Size, n = 23) | Comparison 2 (Sample Size, n = 18) | ||||
|---|---|---|---|---|---|
| Radiography (Reference) | 3T-T1 TSE (p-Value) | 7T-T1 TSE-HighRes (p-Value) | Radiography (Reference) | 7T-T1 TSE-Fast (p-Value) | |
| Low Resolution 1.8–2.7 mm | 3.107 | 3.043 (0.37) | 2.996 (0.14) | 3.129 | 3.047 (0.19) |
| Medium Resolution 0.9–1.8 mm | 2.982 | 2.952 (0.42) | 3.003 (0.59) | 2.977 | 2.942 (0.38) |
| High Resolution 0.0–0.9 mm | 2.837 | 2.79 (0.0005) | 2.831 (0.57) | 2.833 | 2.81 (0.07) |
Publisher’s Note: MDPI stays neutral with regard to jurisdictional claims in published maps and institutional affiliations. |
© 2021 by the authors. Licensee MDPI, Basel, Switzerland. This article is an open access article distributed under the terms and conditions of the Creative Commons Attribution (CC BY) license (http://creativecommons.org/licenses/by/4.0/).
Share and Cite
Jarraya, M.; Heiss, R.; Duryea, J.; Nagel, A.M.; Lynch, J.A.; Guermazi, A.; Weber, M.-A.; Arkudas, A.; Horch, R.E.; Uder, M.; et al. Bone Structure Analysis of the Radius Using Ultrahigh Field (7T) MRI: Relevance of Technical Parameters and Comparison with 3T MRI and Radiography. Diagnostics 2021, 11, 110. https://doi.org/10.3390/diagnostics11010110
Jarraya M, Heiss R, Duryea J, Nagel AM, Lynch JA, Guermazi A, Weber M-A, Arkudas A, Horch RE, Uder M, et al. Bone Structure Analysis of the Radius Using Ultrahigh Field (7T) MRI: Relevance of Technical Parameters and Comparison with 3T MRI and Radiography. Diagnostics. 2021; 11(1):110. https://doi.org/10.3390/diagnostics11010110
Chicago/Turabian StyleJarraya, Mohamed, Rafael Heiss, Jeffrey Duryea, Armin M. Nagel, John A. Lynch, Ali Guermazi, Marc-André Weber, Andreas Arkudas, Raymund E. Horch, Michael Uder, and et al. 2021. "Bone Structure Analysis of the Radius Using Ultrahigh Field (7T) MRI: Relevance of Technical Parameters and Comparison with 3T MRI and Radiography" Diagnostics 11, no. 1: 110. https://doi.org/10.3390/diagnostics11010110
APA StyleJarraya, M., Heiss, R., Duryea, J., Nagel, A. M., Lynch, J. A., Guermazi, A., Weber, M.-A., Arkudas, A., Horch, R. E., Uder, M., & Roemer, F. W. (2021). Bone Structure Analysis of the Radius Using Ultrahigh Field (7T) MRI: Relevance of Technical Parameters and Comparison with 3T MRI and Radiography. Diagnostics, 11(1), 110. https://doi.org/10.3390/diagnostics11010110

