Added Value of Transluminal Attenuation Gradient to Qualitative CCTA Ischemia Detection as Determined by 13N-ammonia PET Quantitative Myocardial Perfusion
Abstract
1. Introduction
2. Materials and Methods
2.1. PET/CT Protocol
2.2. CCTA Protocol
2.3. TAG and Calcium Score
2.4. Statistical Analysis
3. Results
3.1. PET/CT
3.2. CCTA and Calcium Score
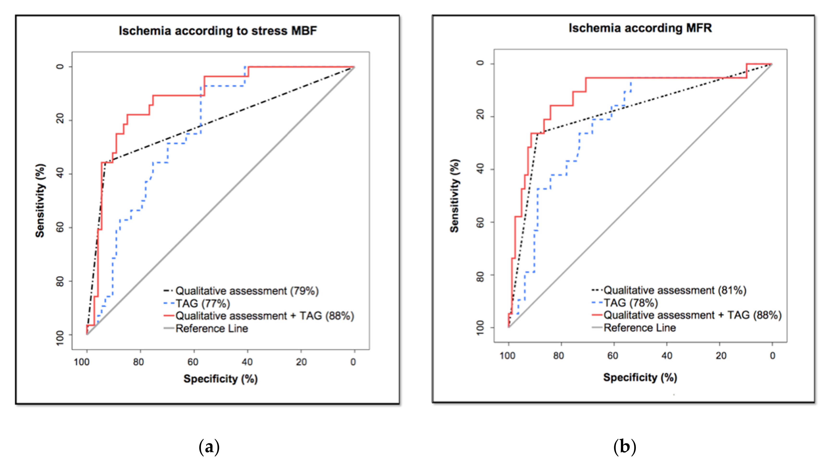
3.3. Transluminal Attenuation Gradient
4. Discussion
5. Conclusions
Supplementary Materials
Author Contributions
Funding
Acknowledgments
Conflicts of Interest
References
- Min, J.K.; Castellanos, J.; Siegel, R. New frontiers in CT angiography: Physiologic assessment of coronary artery disease by multidetector CT. Heart 2013, 99, 661–668. [Google Scholar] [CrossRef] [PubMed]
- Choi, J.-H.; Min, J.K.; Labounty, T.M.; Lin, F.Y.; Mendoza, D.D.; Shin, D.H.; Ariaratnam, N.S.; Koduru, S.; Granada, J.F.; Gerber, T.C.; et al. Intracoronary Transluminal Attenuation Gradient in Coronary CT Angiography for Determining Coronary Artery Stenosis. JACC Cardiovasc. Imaging 2011, 4, 1149–1157. [Google Scholar] [CrossRef] [PubMed]
- Choi, J.-H.; Koo, B.-K.; Yoon, Y.E.; Min, J.K.; Song, Y.-B.; Hahn, J.-Y.; Choi, S.-H.; Gwon, H.-C.; Choe, Y.H. Diagnostic performance of intracoronary gradient-based methods by coronary computed tomography angiography for the evaluation of physiologically significant coronary artery stenoses: A validation study with fractional flow reserve. Eur. Heart J. Cardiovasc. Imaging 2012, 13, 1001–1007. [Google Scholar] [CrossRef] [PubMed]
- Wong, D.T.L.; Ko, B.S.; Cameron, J.D.; Nerlekar, N.; Leung, M.C.H.; Malaiapan, Y.; Crossett, M.; Leong, D.P.; Worthley, S.G.; Troupis, J.; et al. Transluminal Attenuation Gradient in Coronary Computed Tomography Angiography Is a Novel Noninvasive Approach to the Identification of Functionally Significant Coronary Artery Stenosis: A Comparison With Fractional Flow Reserve. J. Am. Coll. Cardiol. 2013, 61, 1271–1279. [Google Scholar] [CrossRef]
- Marwick, T.H.; Cho, I.; ó Hartaigh, B.; Min, J.K. Finding the Gatekeeper to the Cardiac Catheterization Laboratory. J. Am. Coll. Cardiol. 2015, 65, 2747–2756. [Google Scholar] [CrossRef]
- Shaw, L.J.; Berman, D.S.; Picard, M.H.; Friedrich, M.G.; Kwong, R.Y.; Stone, G.W.; Senior, R.; Min, J.K.; Hachamovitch, R.; Scherrer-Crosbie, M.; et al. Comparative Definitions for Moderate-Severe Ischemia in Stress Nuclear, Echocardiography, and Magnetic Resonance Imaging. JACC Cardiovasc. Imaging 2014, 7, 593–604. [Google Scholar] [CrossRef]
- Bom, M.J.; Driessen, R.S.; Stuijfzand, W.J.; Raijmakers, P.G.; Van Kuijk, C.C.; Lammertsma, A.A.; van Rossum, A.C.; van Royen, N.; Knuuti, J.; Mäki, M.; et al. Diagnostic Value of Transluminal Attenuation Gradient for the Presence of Ischemia as Defined by Fractional Flow Reserve and Quantitative Positron Emission Tomography. JACC Cardiovasc. Imaging 2017. [Google Scholar] [CrossRef]
- Alexánderson Rosas, E.; Slomka, P.J.; García-Rojas, L.; Calleja, R.; Jácome, R.; Jiménez-Santos, M.; Romero, E.; Meave, A.; Berman, D.S. Functional Impact of Coronary Stenosis Observed on Coronary Computed Tomography Angiography: Comparison with 13N-Ammonia PET. Arch. Med. Res. 2010, 41, 642–648. [Google Scholar] [CrossRef]
- Gould, K.L.; Johnson, N.P.; Bateman, T.M.; Beanlands, R.S.; Bengel, F.M.; Bober, R.; Camici, P.G.; Cerqueira, M.D.; Chow, B.J.W.; Di Carli, M.F.; et al. Anatomic versus physiologic assessment of coronary artery disease: Role of coronary flow reserve, fractional flow reserve, and positron emission tomography imaging in revascularization decision-making. J. Am. Coll. Cardiol. 2013, 62, 1639–1653. [Google Scholar] [CrossRef]
- Hajjiri, M.M.; Leavitt, M.B.; Zheng, H.; Spooner, A.E.; Fischman, A.J.; Gewirtz, H. Comparison of Positron Emission Tomography Measurement of Adenosine-Stimulated Absolute Myocardial Blood Flow Versus Relative Myocardial Tracer Content for Physiological Assessment of Coronary Artery Stenosis Severity and Location. JACC Cardiovasc. Imaging 2009, 2, 751–758. [Google Scholar] [CrossRef]
- Fiechter, M.; Ghadri, J.R.; Gebhard, C.; Fuchs, T.A.; Pazhenkottil, A.P.; Nkoulou, R.N.; Herzog, B.A.; Wyss, C.A.; Gaemperli, O.; Kaufmann, P.A. Diagnostic Value of 13N-Ammonia Myocardial Perfusion PET: Added Value of Myocardial Flow Reserve. J. Nucl. Med. 2012, 53, 1230–1234. [Google Scholar] [CrossRef] [PubMed]
- Lardo, A.C.; Rahsepar, A.A.; Seo, J.H.; Eslami, P.; Korley, F.; Kishi, S.; Abd, T.; Mittal, R.; George, R.T. Estimating coronary blood flow using CT transluminal attenuation flow encoding: Formulation, preclinical validation, and clinical feasibility. J. Cardiovasc. Comput. Tomogr. 2015, 9, 559–566. [Google Scholar] [CrossRef] [PubMed]
- Stuijfzand, W.J.; Danad, I.; Raijmakers, P.G.; Marcu, C.B.; Heymans, M.W.; Van Kuijk, C.C.; Van Rossum, A.C.; Nieman, K.; Min, J.K.; Leipsic, J.; et al. Additional value of transluminal attenuation gradient in CT angiography to predict hemodynamic significance of coronary artery stenosis. JACC Cardiovasc. Imaging 2014, 7, 374–386. [Google Scholar] [CrossRef] [PubMed]
- DeLong, E.R.; DeLong, D.M.; Clarke-Pearson, D.L. Comparing the Areas under Two or More Correlated Receiver Operating Characteristic Curves: A Nonparametric Approach. Biometrics 1988, 44, 837. [Google Scholar] [CrossRef] [PubMed]
- Joutsiniemi, E.; Saraste, A.; Pietilä, M.; Mäki, M.; Kajander, S.; Ukkonen, H.; Airaksinen, J.; Knuuti, J. Absolute flow or myocardial flow reserve for the detection of significant coronary artery disease? Eur. Heart J. Cardiovasc. Imaging 2014, 15, 659–665. [Google Scholar] [CrossRef] [PubMed]
- Herzog, B.A.; Husmann, L.; Valenta, I.; Gaemperli, O.; Siegrist, P.T.; Tay, F.M.; Burkhard, N.; Wyss, C.A.; Kaufmann, P.A. Long-Term Prognostic Value of 13N-Ammonia Myocardial Perfusion Positron Emission Tomography. J. Am. Coll. Cardiol. 2009, 54, 150–156. [Google Scholar] [CrossRef]
- Ziadi, M.C.; de Kemp, R.A.; Williams, K.A.; Guo, A.; Chow, B.J.W.W.; Renaud, J.M.; Ruddy, T.D.; Sarveswaran, N.; Tee, R.E.; Beanlands, R.S.B.B. Impaired myocardial flow reserve on rubidium-82 positron emission tomography imaging predicts adverse outcomes in patients assessed for myocardial ischemia. J. Am. Coll. Cardiol. 2011, 58, 740–748. [Google Scholar] [CrossRef]
- Benz, D.C.; Gräni, C.; Ferro, P.; Neumeier, L.; Messerli, M.; Possner, M.; Clerc, O.F.; Gebhard, C.; Gaemperli, O.; Pazhenkottil, A.P.; et al. Corrected coronary opacification decrease from coronary computed tomography angiography: Validation with quantitative 13N-ammonia positron emission tomography. J. Nucl. Cardiol. 2017, 1–8. [Google Scholar] [CrossRef]
- Yoon, Y.E.; Choi, J.H.; Kim, J.H.; Park, K.W.; Doh, J.H.; Kim, Y.J.; Koo, B.K.; Min, J.K.; Erglis, A.; Gwon, H.C.; et al. Noninvasive diagnosis of ischemia-causing coronary stenosis using CT angiography: Diagnostic value of transluminal attenuation gradient and fractional flow reserve computed from coronary CT angiography compared to invasively measured fractional flow reser. JACC Cardiovasc. Imaging 2012, 5, 1088–1096. [Google Scholar] [CrossRef]
- Xu, N.; Peng, K.; Dai, S.; Zhang, L.; Yu, H.; Dai, G.; Jin, L.; Hu, B.; Tang, G. Does vessel length impact transluminal attenuation gradient in 320-slice coronary CT angiography? Correlation with invasive angiography. Eur. Radiol. 2019, 29, 6837–6845. [Google Scholar] [CrossRef]
- Park, E.-A.; Lee, W.; Park, S.J.; Kim, Y.K.; Hwang, H.Y. Influence of Coronary Artery Diameter on Intracoronary Transluminal Attenuation Gradient During CT Angiography. JACC Cardiovasc. Imaging 2016, 9, 1074–1083. [Google Scholar] [CrossRef] [PubMed]

| Characteristics | All Patients (n = 38) |
|---|---|
| Age (years) | 65 ± 13 years |
| Male gender | 28 (74%) |
| Diabetes mellitus | 13 (34%) |
| Hypertension | 24 (63%) |
| Dyslipidemia | 20 (53%) |
| Smoker | 15 (39%) |
| Body mass index | 27 ± 4 |
| Left ventricle ejection fraction in rest | 63 ± 14 |
| Left ventricle ejection fraction in stress | 65 ± 11 |
| Previous MI | 12 (32%) |
| Right coronary artery dominance | 36 (95%) |
| Stress MBF | MFR | TAG | Calcium Score | |
|---|---|---|---|---|
| 0–25% stenosis (n = 58) | 2.4 (2.1–2.8) | 3.3 (2.4–3.9) | −8 (−12–−3) | 0 (0–0) |
| 26–50% stenosis (n = 20) | 2.4 (1.9–2.7) | 3.3 (3.0–3.6) | −10 (−14–−9) | 52 (5–169) |
| 51–70% stenosis (n = 19) | 1.6 (1.4–1.8) | 1.4 (1.1–3.2) | −13 (−18–−10) | 249 (106–533) |
| 71–99% stenosis (n = 4) | 1.2 (0.9–1.8) | 1.9 (1.0–2.8) | −25 (−45–−13) | 506 (10–1239) |
| Beta | Lower 95% CI | Upper 95% CI | p-Value | |
|---|---|---|---|---|
| Constant | 2.61 | 2.45 | 2.77 | <0.001 |
| Stenosis ≥ 50% on qualitative assessment | −0.79 | −1.16 | −0.43 | <0.001 |
| Transluminal attenuation gradient | 0.02 | 0.01 | 0.03 | <0.01 |
| Calcium score | 0.00 | 0.00 | 0.00 | 0.38 |
| Beta | Lower 95% CI | Upper 95% CI | p-Value | |
|---|---|---|---|---|
| Constant | 3.58 | 3.18 | 3.98 | <0.001 |
| Stenosis ≥ 50% on qualitative assessment | −0.96 | −1.65 | −0.26 | <0.01 |
| Transluminal attenuation gradient | 0.03 | 0.00 | −0.05 | 0.02 |
| Calcium score | 0.00 | 0.00 | 0.00 | 0.47 |
© 2020 by the authors. Licensee MDPI, Basel, Switzerland. This article is an open access article distributed under the terms and conditions of the Creative Commons Attribution (CC BY) license (http://creativecommons.org/licenses/by/4.0/).
Share and Cite
Monroy-Gonzalez, A.; Alexanderson-Rosas, E.; Perez-Orpinel, O.; Dobrolinska, M.; Tio, R.; de Groot, J.C.; Slart, R.; Prakken, N. Added Value of Transluminal Attenuation Gradient to Qualitative CCTA Ischemia Detection as Determined by 13N-ammonia PET Quantitative Myocardial Perfusion. Diagnostics 2020, 10, 628. https://doi.org/10.3390/diagnostics10090628
Monroy-Gonzalez A, Alexanderson-Rosas E, Perez-Orpinel O, Dobrolinska M, Tio R, de Groot JC, Slart R, Prakken N. Added Value of Transluminal Attenuation Gradient to Qualitative CCTA Ischemia Detection as Determined by 13N-ammonia PET Quantitative Myocardial Perfusion. Diagnostics. 2020; 10(9):628. https://doi.org/10.3390/diagnostics10090628
Chicago/Turabian StyleMonroy-Gonzalez, Andrea, Erick Alexanderson-Rosas, Oscar Perez-Orpinel, Magdalena Dobrolinska, Rene Tio, Jan Cees de Groot, Riemer Slart, and Niek Prakken. 2020. "Added Value of Transluminal Attenuation Gradient to Qualitative CCTA Ischemia Detection as Determined by 13N-ammonia PET Quantitative Myocardial Perfusion" Diagnostics 10, no. 9: 628. https://doi.org/10.3390/diagnostics10090628
APA StyleMonroy-Gonzalez, A., Alexanderson-Rosas, E., Perez-Orpinel, O., Dobrolinska, M., Tio, R., de Groot, J. C., Slart, R., & Prakken, N. (2020). Added Value of Transluminal Attenuation Gradient to Qualitative CCTA Ischemia Detection as Determined by 13N-ammonia PET Quantitative Myocardial Perfusion. Diagnostics, 10(9), 628. https://doi.org/10.3390/diagnostics10090628

