Next Article in Journal
C*-Algebra Valued Fuzzy Soft Metric Spaces and Results for Hybrid Pair of Mappings
Previous Article in Journal
Multiobjective Fractional Symmetric Duality in Mathematical Programming with (C,Gf)-Invexity Assumptions
 
 
Font Type:
Arial Georgia Verdana
Font Size:
Aa Aa Aa
Line Spacing:
Column Width:
Background:
Article

A Note on Distance-Based Entropy of Dendrimers

by
Modjtaba Ghorbani
1,*,
Matthias Dehmer
2,3,4,*,
Samaneh Zangi
1,
Abbe Mowshowitz
5 and
Frank Emmert-Streib
6,7
1
Department of Mathematics, Faculty of Science, Shahid Rajaee Teacher Training University, Tehran 6785-136, Iran
2
Steyr School of Management, University of Applied Sciences Upper Austria, 4400 Steyr Campus, Austria
3
Department of Biomedical Computer Science and Mechatronics, UMIT, 6060 Hall in Tyrol, Austria
4
College of Artificial Intelligence, Nankai University, Tianjin 300350, China
5
Department of Computer Science, The City College of New York (CUNY), New York, NY 10031, USA
6
Predictive Society and Data Analytics Lab, Department of Information Technology and Communication Sciences, Tampere University, 33720 Tampere, Finland
7
Institute of Biosciences and Medical Technology, Tampere University, 33520 Tampere, Finland
*
Authors to whom correspondence should be addressed.
Axioms 2019, 8(3), 98; https://doi.org/10.3390/axioms8030098
Submission received: 3 July 2019 / Revised: 4 August 2019 / Accepted: 12 August 2019 / Published: 15 August 2019

Abstract

This paper introduces a variant of entropy measures based on vertex eccentricity and applies it to all graphs representing the isomers of octane. Taking into account the vertex degree as well (degree-ecc-entropy), we find a good correlation with the acentric factor of octane isomers. In particular, we compute the degree-ecc-entropy for three classes of dendrimer graphs.

1. Introduction

This paper introduces a new measure of graph entropy that takes into account the vertex degree and eccentricity. Each vertex is assigned a probability based on its degree and eccentricity. This assignment defines a probability distribution over the vertices of a graph to which Shannon’s entropy function is applied. The result is a numerical value called the eccentricity-entropy of the graph. The main goal of this paper is to study the properties of so-called dendrimer graphs [1,2] by means of eccentricity entropy; the principal result reported here is a good correlation between eccentricity-entropy and an important physical property of dendrimers.
In [1,2], we derived some topological information content of fullerenes. Since fullerenes are three regular graphs, the degree-ecc-entropy and the ecc-entropy explore the same topological information content of a graph. However, dendrimers are completely different. They are hyper-branched macromolecules, and thus, the degree of vertices is important in computing the degree-ecc-entropy. Since the degree-ecc-entropies are based on both the degree and eccentricity of vertices, we chose dendrimers. Here, we first obtain concrete expressions for the graph entropy measures on the defined classes of dendrimers. These results can be useful when applying the measures on the dendrimers for practical applications. Second, we generated numerical results to examine the correlations between the ecc-entropy and the acentric factor of octane isomers. We show that degree-ecc-entropy is highly correlated on dendrimers.

2. Definition and Examples

Let G = ( V , E ) be a graph where V and E denote the sets of vertices and edges, respectively. The distance between two vertices u, v in G, denoted by d ( u , v ) , is defined as the length of a minimum path connecting them. The eccentricity of a vertex v, denoted by σ ( v ) , is given by m a x { d ( u , v ) : u V ( G ) } ; see [3,4].
A number of measures using Shannon’s entropy function have been introduced and investigated since the 1950s; see [5,6,7,8,9,10,11,12,13,14,15]. The discrete form of this well-known function is defined for a probability vector p = ( p 1 , p 2 , , p n ) and has the form I ( p ) = i = 1 n p i log ( p i ) ; see [16]. Note that the logarithms used in this paper are all base two.
Measures such as the one introduced here typically define probability distributions over subsets of graph elements. In the present case, the subsets consist of single vertices. A precise definition of eccentricity entropy is as follows. For a given graph G = ( V , E ) , let v i V and μ ( v i ) = c i σ ( v i ) , where c i > 0 and 1 i n . The entropy I f σ ( G ) is called the ecc-entropy based on μ where:
I f σ ( G ) = 1 T i = 1 n c i σ ( v i ) log ( c i σ ( v i ) ) + log ( T ) ,
and T = j = 1 n c j σ ( v j ) . If we put c i = deg v i , then we can reformulate Equation (1) as the following equation:
I f d σ ( G ) = 1 T i = 1 n deg v i σ ( v i ) log ( deg v i σ ( v i ) ) + log ( T ) .
Example 1.
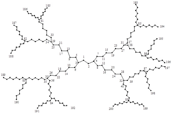
Consider the dendrimer graph G [ 1 ] shown in Figure 1. It is easy to see that:
σ ( 1 ) = σ ( 2 ) = 7 , σ ( 3 ) = σ ( 4 ) = 8 , σ ( 5 ) = σ ( 6 ) = 9 , σ ( 7 ) = σ ( 8 ) = σ ( 9 ) = σ ( 10 ) = 10 , σ ( 11 ) = σ ( 12 ) = σ ( 13 ) = σ ( 14 ) = 11 , σ ( 15 ) = σ ( 16 ) = σ ( 17 ) = σ ( 18 ) = 12 , σ ( 19 ) = σ ( 20 ) = σ ( 21 ) = σ ( 22 ) = 13 .
Furthermore, deg ( 5 ) = deg ( 6 ) = 3 , deg ( 19 ) = deg ( 20 ) = deg ( 20 ) = deg ( 22 ) = 1 , and the degree of other vertices is two. Hence,
i = 1 22 deg ( v i ) σ ( v i ) = 7 × 2 × 2 + 8 × 2 × 2 + 9 × 2 × 3 + 10 × 4 × 2 + 11 × 4 × 2         + 12 × 4 × 2 + 13 × 4 = 430
and thus:
I f d σ ( G [ 1 ] ) = log 430 ( 28 log 14 + 32 log 16 + 54 log 27 + 80 log 20 + 88 log 22 + 96 log 24 + 52 log 13 ) / 430 = 4.417650155 .
Consider now two dendrimer graphs G [ 2 ] and G [ 3 ] depicted in Figure 2 and Figure 3. Similar to the last example, by computing their eccentricities, one can see that:
I f d σ ( G [ 2 ] ) = log 1814 ( 44 log 22 + 48 log 24 + 78 log 39 + 112 log 28 + 120 log 30 + 128 log 32 + 204 log 51 + 288 log 36 + 304 log 38 + 320 log 40 + 168 log 21 ) / 1814 = 5.710176689 .
and:
I f d σ ( G [ 3 ] ) = log 5694 ( 60 log 30 + 64 log 32 + 102 log 51 + 144 log 36 + 152 log 38 + 160 log 40 + 252 log 63 + 352 log 44 + 368 log 46 + 384 log 48 + 600 log 75 + 832 log 52 + 846 log 54 + 896 log 56 + 464 log 29 ) / 5694 = 6.837410219 .
Example 2.
Consider all isomers of octane as shown in Figure 4. The acentric factor and the entropy of the octane isomers are given in Table 1. The ecc-entropy of these isomers can be directly derived from the definition of eccentricity and Equation (1). These values are reported in Table 1. By comparing the values of Table 1, one can see easily that there is a correlation R 2 0.348 between ecc-entropy and the acentric factor of octane isomers and a correlation R 2 0.36 between ecc-entropy and S. However, by putting c i = d e g v i , we achieve a new version of entropy, namely degree-ecc-entropy, in which the correlation between degree-ecc-entropy and the acentric factor of octane isomers increases sharply to R 2 0.8 . This shows that important physical properties of these molecules can be determined by computing degree-ecc-entropy. Degree-ecc-entropy is a very specialized measure, and of course, other entropy measures might capture other properties of these molecules.

3. General Results on the Ecc-Entropy of Dendrimers

Two vertices of a graph are said to be similar if one can be mapped into the other by an automorphism. This is important here since it is well known that similar vertices have the same eccentricity. Hence, in a vertex-transitive graph, for all sequences c 1 c 2 c n , we have:
I f σ ( G ) = log i = 1 n c i i = 1 n c i j = 1 n c j log ( c i ) .
As a special case, if c i = c j for all i j , then I f σ ( G ) = log ( n ) .
Proposition 1
([9]). Suppose G is a graph and V 1 , V 2 , , V k are all orbits of A u t ( G ) on V ( G ) . Then:
I f σ ( G ) = log i = 1 k σ ( x i ) i = 1 | V i | c j i = 1 k σ ( x i ) j = 1 | V i | c j t = 1 k σ ( x t ) l = 1 | V i | c l log ( c j σ ( x i ) ) .
In addition, if c 1 = c 2 = = c n , then:
log Θ ( G ) 1 Θ ( G ) i = 1 k | V i | σ ( x i ) log ( σ ( x i ) ) ,
where Θ ( G ) = u V σ ( u ) .
Dendrimers constructed by hyper-branched macromolecules can be arranged in either convergent or divergent form. A dendrimer graph is a molecular graph associated with a dendrimer molecule. The aim of this section is to determine the ecc-entropy of three classes of dendrimers. The first class consists of connected, acyclic graphs, namely trees.
Let G [ n ] be the dendrimer graph shown in Figure 5 with 6 + i = 1 n 2 i + 3 vertices. Note that G [ 0 ] is isomorphic to the path P 6 . Clearly,
| V ( G [ n ] ) | = 8 i = 1 n 2 i + 6 = 8 ( 2 n + 1 1 1 ) + 6 = 2 n + 4 10 .
Hence, we have the following theorem.
Theorem 1.
For graph G [ n ] , if c i = c j for i j then,
I f σ ( G [ n ] ) = log ( m ) 2 ( σ log σ + ( σ + 1 ) log ( σ + 1 ) + ( σ + 2 ) log ( σ + 2 ) + i = 1 n 2 i j = 3 6 ( σ + 4 ( i 1 ) + j ) log ( σ + 4 ( i 1 ) + j ) ) / m
where σ = 4 n + 3 and m = 6 σ + 6 + 2 i = 1 n 2 i ( 4 σ + 16 i + 2 ) . If in addition c i = d e g v i , then:
I f d σ ( G [ n ] ) = log ( m ) ( 4 ( σ log 2 σ + ( σ + 1 ) log 2 ( σ + 1 ) ) + 6 ( σ + 2 ) log 3 ( σ + 2 ) + 4 i = 1 n 2 i j = 3 5 ( σ + 4 ( i 1 ) + j ) log 2 ( σ + 4 ( i 1 ) + j ) + 6 k = 1 n 1 2 k ( σ + 4 k + 2 ) log 3 ( σ + 4 k + 2 ) + 2 n + 1 ( σ + 4 n + 2 ) log ( σ + 4 n + 2 ) ) / m
where:
σ = 4 n + 3 , m = 14 σ + 16 + 4 i = 1 n 2 i ( 3 σ + 12 i ) + 6 j = 1 n 1 2 j ( σ + 4 j + 2 ) + 2 n + 1 ( σ + 4 n + 2 ) .
Proof. 
Applying our method for graph G [ 1 ] , G [ 2 ] and G [ 3 ] in Example 1, we obtain the eccentricity values of vertices in Table 2. It is easy to see that every vertex of G [ n ] has degree 1, 2, or 3. Since G [ n ] has n orbits, there are n types of vertices in G [ n ] and σ = 4 n + 3 . Computing the eccentricity of each vertex as reported in Table 2, the assertion follows. □
Example 3.
Consider the dendrimer graph H [ 1 ] as depicted in Figure 6. It is easy to see that:
σ ( 1 ) = σ ( 2 ) = 9 , σ ( 3 ) = σ ( 4 ) = 10 , σ ( 5 ) = σ ( 6 ) = σ ( 7 ) = σ ( 8 ) = 11 , σ ( 9 ) = σ ( 10 ) = σ ( 11 ) = σ ( 12 ) = 12 , σ ( 13 ) = σ ( 14 ) = σ ( 15 ) = σ ( 16 ) = 13 , σ ( 17 ) = σ ( 18 ) = σ ( 19 ) = σ ( 20 ) = 14 , σ ( 21 ) = σ ( 22 ) = σ ( 23 ) = σ ( 24 ) = 15 , σ ( 25 ) = σ ( 26 ) = σ ( 27 ) = σ ( 28 ) = 16 , σ ( 29 ) = σ ( 30 ) = σ ( 31 ) = σ ( 32 ) = 17 .
Furthermore, deg ( 3 ) = deg ( 4 ) = 3 , deg ( 29 ) = deg ( 30 ) = deg ( 31 ) = deg ( 32 ) = 1 , and the degree of other vertices is two. Hence,
i = 1 32 deg ( v i ) σ ( v i ) = 2 × 2 × 9 + 2 × 3 × 10 + 8 ( 11 + 12 + 13 + 14 + 15 + 16 ) + 4 × 17 = 812 .
and thus:
I f d σ ( H [ 1 ] ) = log 812 1 812 36 log 18 + 60 log 30 + 8 i = 11 16 i log 2 i + 4 × 17 = 4.971787954 .
Furthermore, for n = 2 , 3 , H [ 2 ] and H [ 3 ] are depicted in Figure 7 and Figure 8, and we obtain:
I f d σ ( H [ 2 ] ) = log 4326 1 4326 ( 64 log 32 + 102 log 34 + 8 i = 18 23 i log 2 i + 4 × 3 × 24 log 72 + 16 j = 25 30 log 2 j + 8 × 31 log 31 ) = 6.426696727 .
I f d σ ( H [ 3 ] ) = log 14840 1 14840 ( 52 log 46 + 144 log 48 + 8 i = 25 30 i log 2 i + 4 × 3 × 31 log 93 + 16 j = 32 37 j log 2 j + 8 × 3 × 38 log 114 + 32 k = 39 44 k log 2 k + 16 × 45 log 45 ) = 7.605173937 .
In general, the number of vertices of H [ n ] is:
| V ( H [ n ] ) | = 4 + 4 × 7 + 8 × 7 + + 2 n + 1 × 7 = 4 + 7 i = 1 n 2 i + 1 = 4 + 14 ( 2 n + 1 1 1 ) = 7 × 2 n + 2 24 .
Hence, we conclude the following theorem.
Theorem 2.
Let H [ n ] be a dendrimer graph as shown in Figure 7 and Figure 8. If c i = c j for i j , then:
I f σ ( H [ n ] ) = log ( m ) 2 σ log σ + ( σ + 1 ) log ( σ + 1 ) + i = 1 n 2 i j = 2 8 ( α ) log ( α ) / m
where σ = 7 n + 2 , m = 4 σ + 2 + 14 i = 1 n 2 i ( σ + 7 i 2 ) and α = σ + 7 ( i 1 ) + j . If c i = d i , then:
I f d σ ( H [ n ] ) = log ( m ) ( 4 σ log 2 σ + 6 ( σ + 1 ) log 3 ( σ + 1 ) + 4 i = 1 n 2 i j = 2 7 ( σ + 7 ( i 1 ) + j ) log ( σ + 7 ( i 1 ) + j ) + 6 k = 1 n 1 2 k ( σ + 7 k + 1 ) log 3 ( σ + 7 k + 1 ) + 2 n + 1 ( σ + 7 n + 1 ) log ( σ + 7 n + 1 ) ) / m
where σ = 7 n + 2 and m = 10 σ + 6 + 12 i = 1 n 2 i ( 2 σ + 14 i 5 ) + 6 j = 1 n 1 2 j ( σ + 7 j + 1 ) + 2 n + 1 ( σ + 7 n + 1 ) .
Proof. 
As in the proof of Theorem 1, since there are n orbits for this graph, we can divide the vertices of the graph into n distinct types. Using Table 3, the proof is straightforward. □
Finally, we are ready to compute the entropy of dendrimer graph K [ n ] shown in Figure 9, Figure 10 and Figure 11. First, we assume n = 1 ; see Figure 9. It is not difficult to see that:
σ ( 1 ) = σ ( 2 ) = 14 , σ ( 3 ) = σ ( 4 ) = σ ( 25 ) = σ ( 28 ) = 13 , σ ( 5 ) = σ ( 6 ) = σ ( 7 ) = σ ( 8 ) = σ ( 26 ) = σ ( 27 ) = 12 , σ ( 9 ) = σ ( 10 ) = σ ( 11 ) = σ ( 12 ) = σ ( 22 ) = σ ( 23 ) = 11 , σ ( 13 ) = σ ( 14 ) = σ ( 15 ) = σ ( 16 ) = σ ( 18 ) = σ ( 19 ) = 10 , σ ( 17 ) = σ ( 18 ) = σ ( 19 ) = σ ( 20 ) = 14 , σ ( 21 ) = σ ( 22 ) = σ ( 23 ) = σ ( 24 ) = 15 , σ ( 29 ) = σ ( 30 ) = 15 , σ ( 31 ) = σ ( 32 ) = 16 , σ ( 33 ) = σ ( 34 ) = σ ( 35 ) = σ ( 36 ) = 17 , σ ( 37 ) = σ ( 38 ) = 15 , σ ( 39 ) = σ ( 40 ) = 18 , σ ( 41 ) = σ ( 42 ) = σ ( 43 ) = σ ( 44 ) = σ ( 45 ) = σ ( 46 ) = 19 .
Furthermore, deg ( 3 ) = deg ( 4 ) = deg ( 9 ) = = deg ( 20 ) = deg ( 31 ) = deg ( 32 ) = deg ( 37 ) = = deg ( 40 ) = 3 , deg ( 43 ) = deg ( 44 ) = deg ( 45 ) = deg ( 46 ) = 1 , and the degree of the other vertices is two. Hence,
i = 1 46 deg ( v i ) σ ( v i ) = 6 × 3 × 10 + 2 × 2 × 11 + 6 × 3 × 11 + 8 × 2 × 12 + 2 × 2 × 13 + 2 × 3 × 13 + 2 × 2 × 14 + 2 × 2 × 15 + 2 × 3 × 16 + 4 × 2 × 17 + 4 × 3 × 18 + 2 × 2 × 19 + 4 × 1 × 19 = 1460
and thus:
I f d σ ( K [ 1 ] ) = log 1460 ( 180 log 30 + 198 log 33 + 44 log 22 + 192 log 24 + 52 log 24 + 156 log 39 + 56 log 28 + 60 log 30 + 96 log 48 + 136 log 34 + 216 log 54 + 76 log 38 + 76 log 19 ) / 1460 = 5.466783542 .
Similarly, we can compute these values for the cases n = 2 in graph K [ n ] , which is depicted in Figure 10. A direct computation shows that:
I f d σ ( K [ 2 ] ) = log 4284 ( 270 log 45 + 288 log 48 + 64 log 32 + 272 log 34 + 72 log 36 + 216 log 54 + 76 log 38 + 80 log 40 + 126 log 63 + 176 log 44 + 276 log 69 + 288 log 48 + 200 log 50 + 312 log 78 + 432 log 54 + 672 log 84 + 232 log 58 + 232 log 29 ) / 4284 = 6.094766741 .
Now, consider Table 4 and Figure 11. As found in the previous theorems, there are n types of vertices in graph K [ n ] , and their eccentricities are reported in Table 4. In general, the number of vertices of K [ n ] is:
| V ( H [ n ] ) | = 28 + 2 × 9 + 4 × 9 + + 2 n × 9 = 28 + 9 i = 1 n 2 i = 28 + 9 ( 2 n + 1 1 1 ) = 9 × 2 n + 1 + 10 .
Hence, we have the following theorem:
Theorem 3.
Let K [ n ] be the dendrimer graph shown in Figure 11. If c i = c j for i j , then:
I f σ ( K [ n ] ) = log ( m ) ( 2 σ log σ + 4 ( σ 1 ) log ( σ 1 ) + 8 ( σ 2 ) log ( σ 2 ) + 8 ( σ 3 ) log ( σ 3 ) + 6 ( σ 4 ) log ( σ 4 ) + i = 1 n 2 i ( σ + 5 i 4 ) log ( σ + 5 i 4 ) + j = 1 n 2 j ( σ + 5 j 3 ) log ( σ + 5 j 3 ) + k = 1 n 2 k + 1 ( σ + 5 k 2 ) log ( σ + 5 k 2 ) + l = 1 n 2 l + 1 ( σ + 5 l 1 ) log ( σ + 5 l 1 ) + 3 t = 1 n 2 t ( σ + 5 t ) log ( σ + 5 t ) ) / m
where σ = 5 n + 9 , m = 28 σ 68 + i = 1 n 2 i ( 9 σ + 45 i 13 ) . If c i = d i , then:
I f d σ ( K [ n ] ) = log ( m ) ( 18 ( σ 4 ) log 3 ( σ 4 ) + 4 ( σ 3 ) log 2 ( σ 3 ) + 18 ( σ 3 ) log 3 ( σ 3 ) + 16 ( σ 2 ) log 2 ( σ 2 ) + 6 ( σ 1 ) log 3 ( σ 1 ) + 4 ( σ 1 ) log 2 ( σ 1 ) + σ log 2 σ + 2 i = 1 n 2 i ( σ + 5 i 4 ) log 2 ( σ + 5 i 4 ) + 3 j = 1 n 2 j ( σ + 5 j 3 ) log 3 ( σ + 5 j 3 ) + 4 k = 1 n 2 k + 1 ( σ + 5 k 2 ) log 2 ( σ + 5 k 2 ) + 6 l = 1 n 2 l ( σ + 5 l 1 ) log 3 ( σ + 5 l 1 ) + 2 t = 1 n 2 t ( σ + 5 t ) log 2 ( σ + 5 t ) + 4 r = 1 n 1 2 r ( σ + 5 r ) log 2 ( σ + 5 r ) + 2 n + 1 ( σ + 5 n ) log ( σ + 5 n ) ) / m
where σ = 5 n + 9 and
m = 350 n + 450 + i = 1 n 2 i ( 85 n + 85 i + 122 ) + 4 j = 1 n 1 2 j ( 5 n + 5 j + 9 ) + 2 n ( 20 n + 18 ) .

4. Numerical Results

One method to estimate the complexity of a network is to measure the entropy of network invariants, such as eccentricity or degree sequences; see [17]. On the other hand, the main application of the Shannon entropy is the information content of graphs. In [18], it was shown how the entropy of different graph properties can produce divergent values of entropy for exactly the same graph.
The findings presented in this section show that the correlation between ecc and degree-ecc-entropy measures of three dendrimers is approximately R 2 0.999 , see Figure 12, Figure 13 and Figure 14. This means that the ecc and degree-ecc-entropy measures might be interesting for further investigations in predicting the physico-chemical properties of molecules [12,14,18,19,20,21,22,23,24]. The reasons for choosing these molecular descriptors is that the dendrimers are hyper-branched molecules the degree and eccentricity of vertices of which are important.

5. Conclusions

In this paper, we studied the mathematical description of chemical structures using information- entropy-based structural descriptors. In other words, the present paper established important correlations between ecc and degree-ecc-entropies of three dendrimers G [ n ] , H [ n ] , and K [ n ] . In [1], the authors focused on fullerenes and computed some results on these structures. Since fullerenes are regular graphs and the degree-ecc-entropies are based on both the degree and eccentricity of vertices, we chose dendrimers, which are highly branched molecules. In future work, we plan to apply our methods to other classes of molecular graphs.

Author Contributions

M.G., M.D., S.Z., A.M., and F.E.-S. wrote the paper.

Funding

Matthias Dehmer thanks the Austrian Science Funds for supporting this work (project P30031).

Conflicts of Interest

The authors declare no conflicts of interest.

References

  1. Ghorbani, M.; Dehmer, M.; Zangi, S. Graph operations based on using distance-based graph entropies. Appl. Math. Comput. 2018, 333, 547–555. [Google Scholar] [CrossRef]
  2. Ghorbani, M.; Dehmer, M.; Zangi, S. On certain aspects of graph entropies of fullerenes. MATCH Commun. Math. Comput. Chem. 2019, 81, 163–174. [Google Scholar]
  3. Ashrafi, A.R.; Ghorbani, M. Eccentric Connectivity Index of Fullerenes. In Novel Molecular Structure Descriptors–Theory and Applications II; Gutman, I., Furtula, B., Eds.; MCM: Kragujevac, Serbia, 2008; pp. 183–192. [Google Scholar]
  4. Bonchev, D.; Trinajestić, N. Information theory, distance matrix and molecular branching. J. Chem. Phys. 1977, 67, 4517–4533. [Google Scholar] [CrossRef]
  5. Dehmer, M.; Emmert-Streib, F.; Shi, Y. Graph distance measures based on topological indices revisited. Appl. Math. Comput. 2015, 266, 623–633. [Google Scholar] [CrossRef]
  6. Dehmer, M.; Mehler, A. A new method of measuring similarity for a special class of directed graphs. Tatra Mt. Math. Publ. 2007, 36, 39–59. [Google Scholar]
  7. Dehmer, M.; Mowshowitz, A. Generalized graph entropies. Complexity 2011, 17, 45–50. [Google Scholar] [CrossRef]
  8. Dehmer, M.; Mowshowitz, A.; Emmert-Streib, F. Connections between classical and parametric network entropies. PLoS ONE 2011, 6, e15733. [Google Scholar] [CrossRef] [PubMed]
  9. Dehmer, M.; Sivakumar, L.; Varmuza, K. Uniquely discriminating molecular structures using novel eigenvalue-based descriptors. MATCH Commun. Math. Comput. Chem. 2012, 67, 147–172. [Google Scholar]
  10. Dehmer, M. Strukturelle Analyse web-basierter Dokumente. In Multimedia und Telekooperation, Deutscher Universitäts Verlag; Springer: Wiesbaden, Germany, 2006. [Google Scholar]
  11. Dehmer, M.; Varmuza, K.; Borgert, S.; Emmert-Streib, F. On entropy-based molecular descriptors: Statistical analysis of real and synthetic chemical structures. J. Chem. Inf. Model. 2009, 49, 1655–1663. [Google Scholar] [CrossRef] [PubMed]
  12. Gutman, I.; Furtula, B.; Katanić, V. Randić index and information. AKCE Int. J. Graphs Comb. 2018, 18. [Google Scholar] [CrossRef]
  13. Kazemi, R. Entropy of weighted graphs with the degree-based topological indices as weights. MATCH Commun. Math. Comput. Chem. 2016, 76, 69–80. [Google Scholar]
  14. Li, X.; Qin, Z.; Wei, M.; Gutman, I. Novel inequalities for generalized graph entropies graph energies and topological indices. Appl. Math. Comput. 2015, 259, 470–479. [Google Scholar] [CrossRef]
  15. Dehmer, M.; Emmert-Streib, F.; Shi, Y. Interrelations of graph distance measures based on topological indices. PLoS ONE 2014, 9, e94985. [Google Scholar] [CrossRef] [PubMed]
  16. Shannon, C.E.; Weaver, W. The Mathematical Theory of Communication; University of Illinois Press: Urbana, IL, USA, 1949. [Google Scholar]
  17. Morzy, M.; Kajdanowicz, T.; Kazienko, P. On Measuring the Complexity of Networks: Kolmogorov Complexity versus Entropy. Complexity 2017, 2017, 3250301. [Google Scholar] [CrossRef]
  18. Zenil, H.; Kiani, N.A.; Tegnér, J. Low-algorithmic-complexity entropy-deceiving graphs. Phys. Rev. E 2017, 96, 012308. [Google Scholar] [CrossRef] [PubMed]
  19. Aslam, A.; Nadeem, M.F.; Zahid, Z.; Zafar, S.; Gao, W. Computing certain topological indices of the line graphs of subdivision graphs of some rooted product graphs. Mathematics 2019, 7, 393. [Google Scholar] [CrossRef]
  20. Aslam, A.; Ahmad, S.; Binyamin, M.A.; Gao, W. Calculating topological indices of certain OTIS Interconnection networks. Open Chem. 2019, 17, 220–228. [Google Scholar] [CrossRef]
  21. Bonchev, D.; Buck, G.A. Quantitative measures of network complexity. In Complexity in Chemistry, Biology, and Ecology; Springer: New York, NY, USA, 2005; pp. 191–235. [Google Scholar]
  22. Škrekovski, R.; Dimitrov, D.; Zhong, J.M.; Wu, H.L.; Gao, W. Remarks on multiplicative atom-bond connectivity index. IEEE Access 2019, 7, 76806–76811. [Google Scholar] [CrossRef]
  23. Zenil, H.; Kiani, N.A.; Tegnér, J. A Review of graph and network complexity from an algorithmic information perspective. Entropy 2018, 20, 551. [Google Scholar] [CrossRef]
  24. Zenil, H.; Kiani, N.A.; Shang, M.; Tegnér, J. Algorithmic complexity and reprogrammability of chemical structure networks. Parallel Process. Lett. 2018, 28, 1850005. [Google Scholar] [CrossRef]
Figure 1. The dendrimer graph G [ 1 ] .
Figure 1. The dendrimer graph G [ 1 ] .
Axioms 08 00098 g001
Figure 2. The dendrimer graph G [ 2 ] .
Figure 2. The dendrimer graph G [ 2 ] .
Axioms 08 00098 g002
Figure 3. The dendrimer graph G [ 3 ] .
Figure 3. The dendrimer graph G [ 3 ] .
Axioms 08 00098 g003
Figure 4. All octane isomers.
Figure 4. All octane isomers.
Axioms 08 00098 g004
Figure 5. The dendrimer graph G [ n ] .
Figure 5. The dendrimer graph G [ n ] .
Axioms 08 00098 g005
Figure 6. The dendrimer graph H [ 1 ] .
Figure 6. The dendrimer graph H [ 1 ] .
Axioms 08 00098 g006
Figure 7. The dendrimer graph H [ 2 ] .
Figure 7. The dendrimer graph H [ 2 ] .
Axioms 08 00098 g007
Figure 8. The dendrimer graph H [ 3 ] .
Figure 8. The dendrimer graph H [ 3 ] .
Axioms 08 00098 g008
Figure 9. The dendrimer graph K [ 1 ] .
Figure 9. The dendrimer graph K [ 1 ] .
Axioms 08 00098 g009
Figure 10. The dendrimer graph K [ 2 ] .
Figure 10. The dendrimer graph K [ 2 ] .
Axioms 08 00098 g010
Figure 11. The dendrimer graph K [ n ] .
Figure 11. The dendrimer graph K [ n ] .
Axioms 08 00098 g011
Figure 12. The correlation R 2 0.999858 between the ecc and degree-ecc-entropies of G [ n ] .
Figure 12. The correlation R 2 0.999858 between the ecc and degree-ecc-entropies of G [ n ] .
Axioms 08 00098 g012
Figure 13. The correlation R 2 0.999858 between the ecc and degree-ecc-entropies of H [ n ] .
Figure 13. The correlation R 2 0.999858 between the ecc and degree-ecc-entropies of H [ n ] .
Axioms 08 00098 g013
Figure 14. The correlation R 2 0.999858 between the ecc and degree-ecc-entropies of K [ n ] .
Figure 14. The correlation R 2 0.999858 between the ecc and degree-ecc-entropies of K [ n ] .
Axioms 08 00098 g014
Table 1. AcenFac, S, ecc-entropy, anddeg-ecc-entropy of the octane isomers.
Table 1. AcenFac, S, ecc-entropy, anddeg-ecc-entropy of the octane isomers.
MoleculeAcentFacSecc-entdeg-ecc-ent
octane0.3978981112.9698452.969175
2-methyl 1-heptane0.377916109.842.96482.916803
3-methyl-heptane0.371002111.262.9688922.936056
4-methyl-heptane0.371504109.322.966382.947337
3-ethyl-hexane0.362472109.432.9735252.961035
2,2-dimethyl-hexane0.339426103.422.9713352.852746
2,3-dimethyl-hexane0.348247108.022.9772172.905118
2,4-dimethyl-hexane0.344223106.982.9735253.433438
2,5-dimethyl-hexane0.35683105.722.9713352.887762
3,3-dimethyl-hexane0.322596104.742.9772172.897582
3,4-dimethyl-hexane0.340 345106.592.9772172.925864
2-methyl-3-ethyl-pentane0.332433106.062.9673072.936529
3-methyl-3-ethyl-pentane0.306 899101.482.9689192.935986
2,2,3-trimethyl-pentane0.300816101.312.9673072.84966
2,2,4-trimethyl-pentane0.30537104.092.967722.7696979
2,3,3-trimethyl-pentane0.293177102.062.9689192.88075
2,3,4-trimethyl-pentane0.317422102.392.9673072.883862
2,2,3,3-tetramethylbutane0.25529493.062.9808262.8366
Table 2. Eccentricity of every vertex of G [ n ] in general.
Table 2. Eccentricity of every vertex of G [ n ] in general.
StepVertexNo. d ( u ) σ ( u )
1 v 1 22 σ
v 3 22 σ + 1
v 5 23 σ + 2
v 7 42 σ + 3
v 11 42 σ + 4
v 15 42 σ + 5
v 19 43 σ + 6
2 v 1 82 σ + 7
v 9 82 σ + 8
v 17 82 σ + 9
v 25 83 σ + 10
i v 1 2 i + 1 2 σ + 4 ( i 1 ) + 3
v 2 i + 1 + 1 2 i + 1 2 σ + 4 ( i 1 ) + 4
v 2 × 2 i + 1 + 1 2 i + 1 2 σ + 4 ( i 1 ) + 5
v 3 × 2 i + 1 + 1 2 i + 1 3 σ + 4 ( i 1 ) + 6
n v 1 2 n + 1 2 σ + 4 ( n 1 ) + 3
v 2 n + 1 + 1 2 n + 1 2 σ + 4 ( n 1 ) + 4
v 2 × 2 n + 1 + 1 2 n + 1 2 σ + 4 ( n 1 ) + 5
v 3 × 2 n + 1 + 1 2 n + 1 1 σ + 4 ( n 1 ) + 6
Table 3. Eccentricity of every vertex of H [ n ] where σ = 7 n + 2 .
Table 3. Eccentricity of every vertex of H [ n ] where σ = 7 n + 2 .
StepVertexNo. d ( u ) σ ( u )
1 v 1 22 σ
v 3 23 σ + 1
v 5 42 σ + 2
v 9 42 σ + 3
v 25 42 σ + 7
v 29 43 σ + 8
2 v 1 82 σ + 9
v 9 82 σ + 10
v 41 82 σ + 14
v 49 83 σ + 15
i v 1 2 i + 1 2 σ + 7 ( i 1 ) + 2
v 2 i + 1 + 1 2 i + 1 2 σ + 7 ( i 1 ) + 3
v 2 × 2 i + 1 + 1 2 i + 1 2 σ + 7 ( i 1 ) + 4
v 6 × 2 i + 1 + 1 2 i + 1 3 σ + 7 ( i 1 ) + 8
n v 1 2 n + 1 2 σ + 7 ( n 1 ) + 2
v 2 n + 1 + 1 2 n + 1 2 σ + 7 ( n 1 ) + 3
v 2 × 2 n + 1 + 1 2 n + 1 2 σ + 7 ( n 1 ) + 4
v 6 × 2 n + 1 + 1 2 n + 1 1 σ + 7 ( n 1 ) + 8
Table 4. Eccentricity of every vertex of K [ n ] in the total case.
Table 4. Eccentricity of every vertex of K [ n ] in the total case.
StepVertexNo. d ( u ) σ ( u )
1 v 1 22 σ
v 3 23 σ 1
v 25 22 σ 1
v 5 82 σ 2
v 22 22 σ 3
v 9 63 σ 3
v 13 63 σ 4
v 29 22 σ + 1
v 31 23 σ + 2
v 41 22 σ + 5
v 43 42 σ + 5
2 v 1 42 σ + 6
v 29 43 σ + 7
v 29 82 σ + 8
v 1 83 σ + 9
v 9 42 σ + 10
v 9 82 σ + 10
i v 1 2 i 2 σ + 5 ( i 1 ) + 1
v 2 i + 1 2 i 3 σ + 5 ( i 1 ) + 2
v 2 i + 1 + 1 2 i + 1 2 σ + 5 ( i 1 ) + 3
v 2 i + 2 + 1 2 i + 1 3 σ + 5 ( i 1 ) + 4
v 3 × 2 i + 1 + 1 2 i 2 σ + 5 ( i 1 ) + 5
v 7 × 2 i + 1 2 i + 1 2 σ + 5 ( i 1 ) + 5
n v 1 2 n 2 σ + 5 ( n 1 ) + 1
v 2 n + 1 2 n 3 σ + 5 ( n 1 ) + 2
v 2 n + 1 + 1 2 n + 1 2 σ + 5 ( n 1 ) + 3
v 2 n + 2 + 1 2 n + 1 3 σ + 5 ( n 1 ) + 4
v 3 × 2 n + 1 + 1 2 n 2 σ + 5 ( n 1 ) + 5
v 7 × 2 n + 1 2 n + 1 1 σ + 5 ( n 1 ) + 5

Share and Cite

MDPI and ACS Style

Ghorbani, M.; Dehmer, M.; Zangi, S.; Mowshowitz, A.; Emmert-Streib, F. A Note on Distance-Based Entropy of Dendrimers. Axioms 2019, 8, 98. https://doi.org/10.3390/axioms8030098

AMA Style

Ghorbani M, Dehmer M, Zangi S, Mowshowitz A, Emmert-Streib F. A Note on Distance-Based Entropy of Dendrimers. Axioms. 2019; 8(3):98. https://doi.org/10.3390/axioms8030098

Chicago/Turabian Style

Ghorbani, Modjtaba, Matthias Dehmer, Samaneh Zangi, Abbe Mowshowitz, and Frank Emmert-Streib. 2019. "A Note on Distance-Based Entropy of Dendrimers" Axioms 8, no. 3: 98. https://doi.org/10.3390/axioms8030098

APA Style

Ghorbani, M., Dehmer, M., Zangi, S., Mowshowitz, A., & Emmert-Streib, F. (2019). A Note on Distance-Based Entropy of Dendrimers. Axioms, 8(3), 98. https://doi.org/10.3390/axioms8030098

Note that from the first issue of 2016, this journal uses article numbers instead of page numbers. See further details here.

Article Metrics

Back to TopTop