Abstract
Methods for ordering fuzzy numbers play an important role as decision criteria, with applications in areas such as optimization and data mining, among others. Although there are several proposals for ordering methods in the fuzzy literature, many of them are difficult to apply and present some problems with ranking computation. For that reason, this work proposes an ordering method for fuzzy numbers based on a simple application of a polynomial function. We study some properties of our new method, comparing our results with those generated by other methods previously discussed in literature.
MSC:
03E72; 15B15
1. Introduction
In the fuzzy number literature, there are many proposals for ordering left and right (L-R)-type fuzzy numbers. Although most of these proposalsare based on a common strategy, the characterization of a fuzzy number by a real number in order to obtain a ranking for the first ones can be classified into four main groups. The first group includes ordering methods based on geometric procedures for the characterization of a fuzzy number by a real number. These methods are based on the centroid, area, mode, expansions, and/or weights of fuzzy numbers, and they are considered too restrictive and far from simple (see [1]). Some of these proposals can be found in the works of [2,3,4,5,6], among others. The second group of ordering methods includes those based on the distance between a fuzzy number and the origin , using metrics like Euclidean distance, Hamming distance, and Tchebychev distance, among others. These metrics are used to generate a real number, and therefore to obtain the ranking of a particular fuzzy number. Examples of ordering methods belonging to this group can be found in [7,8,9], among others. The third group of methods uses probability/possibility measures defined over fuzzy events to generate a real number (see [10,11]). However, these last two methods present the problem that for two different fuzzy numbers, the same real number is generated; therefore, those fuzzy numbers are considered equals. Finally, the fourth group of methods involves ordering fuzzy numbers by generating a sequence of finite/infinite real numbers. For more details, see [12].
Since a method for ordering fuzzy numbers is an important decision criterion, we believe such a method should have the following properties:
- (1)
- The method should be consistent with the ranking of real numbers when a real number is considered as a particular situation of a fuzzy number.
- (2)
- The method should avoid evaluating expressions such as or , where a is a real number in the calculus of the ordering.
- (3)
- The method should avoid inconsistencies, such as two different fuzzy numbers with the same ranking.
- (4)
- The method should be based on easy calculation of mathematical expressions.
- (5)
- The method should show consistency with other ordering methods proposed in literature.
As mentioned previously, there are many proposals for the ordering of fuzzy numbers. However, many of these do not consider the five points referred to above. For example, the methods proposed by [3,13,14] can generate situations where expressions such as those mentioned in point (2) take place (see [15,16]). On the other hand, the methods proposed by [4,5,6,7,9] present the problem pointed out in (3). In the works of [12,15], the issue pointed out in (1) is not discussed. Finally, [12] does not present a discussion about point (5).
Consequently, the aim of the paper is to propose a method for the ordering of L-R-type fuzzy numbers, considering the five aspects mentioned above. Our method is based on a matrix representation of fuzzy numbers through a polynomial function. This function is mathematically tractable, and allows us to obtain a unique real number. The paper is organized as follows: Section 2 provides a brief review of fuzzy theory. In Section 3, we present our proposal for ordering fuzzy numbers. Section 4 presents an application of our proposed method, and in Section 5 we present some conclusions and further discussion.
2. Elementary Definitions of Fuzzy Theory
The basic element of fuzzy theory is the concept of a fuzzy set, where this concept is presented in general form in Definition 1. In our proposal, we considered the unidimensional situation ().
Definition 1.
Fuzzy set. Let be a non-empty subset of the k-dimensional Euclidean space and be a function. A fuzzy set is a set of ordered pairs . Here, is called the membership function for the fuzzy set .
Other important definitions of our proposal are the concepts of support and core, presented in Definitions 2 and 3. They allow the comparison and differentiation of fuzzy sets.
Definition 2.
The support of a fuzzy set is defined as
Definition 3.
The core of a fuzzy set is defined as . When the core has as least one element, we have a normal fuzzy set.
Dubois and Prade [17] define the class of L-R (left and right) membership functions defined over ; i.e., the class of membership functions that can be entirely characterized by three parameters, namely, , and two functions L and R. The next definition is related to the concept of L-R-type fuzzy numbers (throughout the text, we refer to L-R-type fuzzy numbers simply as fuzzy number).
Definition 4.
A fuzzy number is said to be of L-R-type if there exist two decreasing functions : with and positive real numbers , , such that
where is called the center of and and are called the left and right propagations, respectively.
If , is called a symmetric fuzzy number; it is important to stress that for a symmetric membership function, the equality holds for all . If L and R are segments that start at points and , respectively, and end at , then we say that is a triangular fuzzy number.
3. The Proposal
In this section, we present a new proposal for the ordering of fuzzy numbers. Let be the family of fuzzy numbers with positive components. A fuzzy number belonging to is of the form . Moreover, let and be two constants defined by [18]. The following definition introduces the concept of a fuzzy matrix.
Definition 5.
A matrix is called a fuzzy matrix if it is defined as , where is an injective function such that , where represents the space of matrices of dimension .
Now, let λ be a real number such that , and let
be a polynomial. Then, for , the following result holds:
Theorem 1.
The function defined by is injective.
Proof.
Note that if , then . Therefore, based on the equality of polynomials, we conclude that for all i and j in , concluding the proof. ☐
Theorem 1 guarantees that the real number that characterizes a fuzzy number is unique and exclusive, avoiding the case that two different fuzzy numbers can share the same ranking. The next example shows how our method can be applied to fuzzy numbers.
Example 1.
Let and be two triangular fuzzy numbers, with their respective fuzzy matrices given by
Thus, from Theorem 1 and considering , we have that and .
Example 1 shows that the fuzzy number . Note that although our election of λ is arbitrary, for other values of this constant, the ordering relationship remains the same (see Figure 1).
Figure 1.
Values of (solid line) and (dotted line) for different values of λ.
Let be the fuzzy representation of a real number a. In the following, we will show that there exists a unique value of λ such that . We focus on proving the existence of such λ, since the proof of the uniqueness of λ is straightforward from the global convergence theorem of the Newton–Raphson method [19,20].
Theorem 2.
If , , then there exists such that .
Proof.
If , then , where denotes the identity matrix. Then, applying Theorem 1, we have that or equivalently . From the fundamental theorem of algebra, we assure that there exists at least one real root satisfying , concluding the proof. ☐
The real root of the polynomial is defined as the “Origo” constant, and is denoted by . An approximation of to five significant digits is given by . Figure 2 shows that when λ goes to , and , where and , respectively.
Figure 2.
Values of (solid line) and (dotted line) for different values of λ.
Remark 1.
We note that, when fuzzy numbers are symmetric, they converge to the expected value. On the contrary, they do not.
Finally, the next result shows that generates an order relation.
Theorem 3.
We say that the fuzzy number is smaller than or equal to the fuzzy number if .
Proof.
Note that for all , we have that , since (reflexivity). Moreover, for all , if and we have that since the function f is injective and and belong to (antisymmetry). Finally, for all if and then . This happens since if and we have that and , respectively, and by transitivity of , (transitivity). ☐
Remark 2.
As the defined order is comparing real numbers, Wang and Kerre conditions are transformed to basic properties of an order relation on any empty set. Consequently, all of them are satisfied (see [21]).
4. Application
In this section, we compare the performance of our ordering method with other methods proposed in literature. As in [15], we consider the methods proposed by [2,3,22,23,24,25,26] for the comparison. We compare three fuzzy numbers, say, , , , and we set . The ordering procedure for these numbers is presented in Table 1. Table 2 shows the ranking comparison of our proposed method with the other methods considered.
Table 1.
Values of function for the fuzzy numbers , , and .
Table 2.
Comparison of methods for ordering fuzzy numbers.
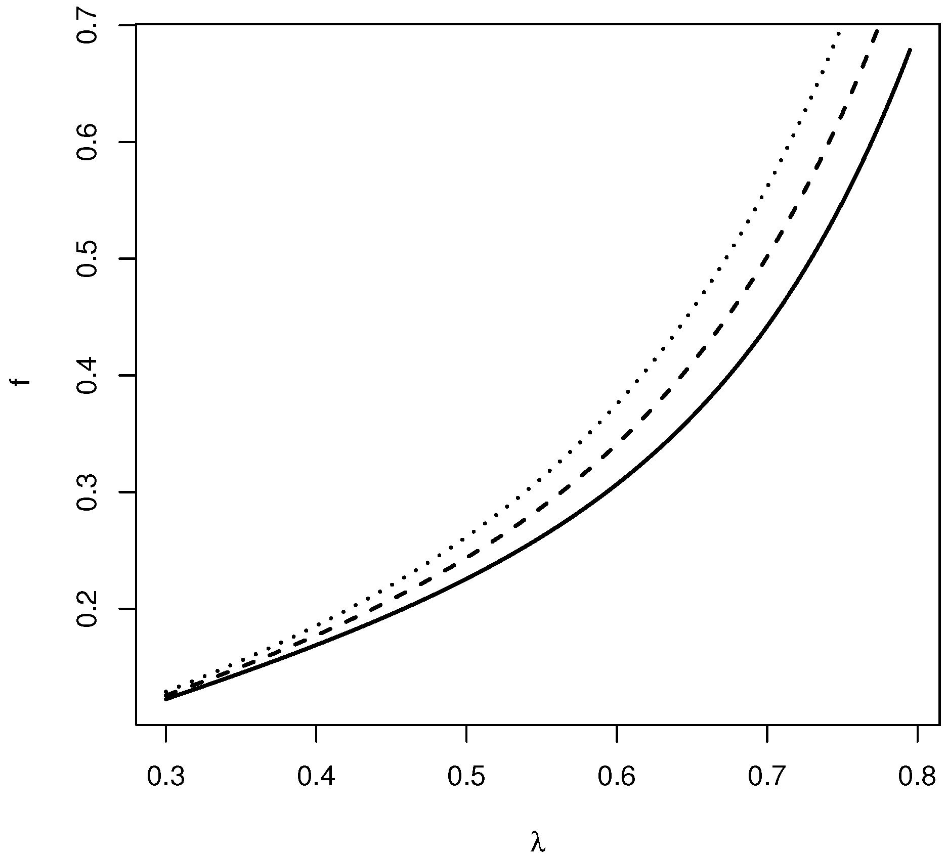
Finally, Figure 3 shows , and for different values of λ. It can be observed that the decision about the ranking of the fuzzy numbers , , and does not change for different values of λ.
Figure 3.
Values of (solid line), , (dashed line) and (dotted line) for different values of λ.
5. Conclusions
In this paper we present a new proposal to order L-R-type fuzzy numbers, based on the transformation of a fuzzy number to a real number using a fuzzy matrix and a polynomial. The use of this polynomial ensures that there are not two different fuzzy numbers with the same ranking, so the real number generated by the polynomial for each fuzzy number is unique and exclusive. The fuzzy matrix is a new way to represent a fuzzy number which allows consideration of the additional information about the membership function or fuzzy number, and it opens a line of research around their algebraic properties, such as inverse or eigenvalues, and how they characterize a fuzzy number. This method avoids the evaluation of expressions like or where a is a real number, and it is very easy to calculate, overcoming the limitations discussed by [1] in the calculus of ordering. The method shows consistency with other ordering methods proposed in literature and consistency with intuition, as discussed by [12,13,27,28]. Finally, we define the constant “Origo” (), which transforms the polynomial into the identity function for real numbers a considered as fuzzy numbers. In addition, if , then we have a smaller scale of values for , and higher in the contrary case.
Acknowledgments
The authors wish to thank the Department of Mathematics and Statistics, Universidad de Playa Ancha, and Convenio de desempeño en formación de profesores UPA 1203 for their support in carrying out this paper.
Author Contributions
This work was carried out in collaboration between all authors. All authors read and approved the final manuscript.
Conflicts of Interest
The authors declare no conflict of interest.
References
- Chu, T.C.; Wu, S. A centroid ranking approach based fuzzy mcdm model. Int. J. Mech. Aerosp. Ind. Mechatron. Eng. 2013, 7, 531–537. [Google Scholar]
- Chen, L.-H.; Lu, H.-W. An approximate approach for ranking fuzzy numbers based on left and right dominance. Comput. Math. Appl. 2001, 41, 1589–1602. [Google Scholar] [CrossRef]
- Chu, T.-C.; Tsao, C.-T. Ranking fuzzy numbers with an area between the centroid point and original point. Comput. Math. Appl. 2002, 43, 111–117. [Google Scholar] [CrossRef]
- Deng, Y.; Zhenfu, Z.; Qi, L. Ranking fuzzy numbers with an area method using radius of gyration. Comput. Math. Appl. 2006, 51, 1127–1136. [Google Scholar] [CrossRef]
- Thorani, Y.; Rao, P.P.B.; Shankar, N.R. Ordering generalized trapezoidal fuzzy numbers. Int. J. Contemp. Math. Sci. 2012, 7, 555–573. [Google Scholar]
- Azman, F.N.; Abdullah, L. A New Centroids Method for Ranking of Trapezoid Fuzzy Numbers. Malays. J. Fundam. Appl. Sci. 2014. [Google Scholar] [CrossRef]
- Abbasbandy, S.; Asady, B. Ranking of fuzzy numbers by sign distance. Inf. Sci. 2006, 176, 2405–2416. [Google Scholar] [CrossRef]
- Tran, L.; Duckstein, L. Comparison of fuzzy numbers using a fuzzy distance measure. Fuzzy Sets Syst. 2002, 130, 331–341. [Google Scholar] [CrossRef]
- Asady, B.; Zendehnam, A. Ranking fuzzy numbers by distance minimization. Appl. Math. Model. 2007, 31, 2589–2598. [Google Scholar] [CrossRef]
- Dubois, D.; Prade, H. Ranking fuzzy numbers in the setting of possibility theory. Inf. Sci. 1983, 30, 183–224. [Google Scholar] [CrossRef]
- Lee, E.; Li, R.-J. Comparison of fuzzy numbers based on the probability measure of fuzzy events. Comput. Math. Appl. 1988, 15, 887–896. [Google Scholar] [CrossRef]
- Wang, W.; Wang, Z. Total ordenings defined on the set of all fuzzy numbers. Fuzzy Sets Syst. 2014, 5, 131–141. [Google Scholar] [CrossRef]
- Cheng, C.-H. A new approach for ranking fuzzy numbers by distance method. Fuzzy Sets Syst. 1998, 95, 307–317. [Google Scholar] [CrossRef]
- Modarres, M.; Sadi-Nezhad, S. Ranking fuzzy numbers by preference ratio. Fuzzy Sets Syst. 2001, 118, 429–436. [Google Scholar] [CrossRef]
- Nasseri, S.; Taleshian, F.; Alizadeh, Z.; Vahidi, J. A new method for ordering lr fuzzy number. J. Math. Comput. Sci. 2012, 4, 283–294. [Google Scholar]
- Wang, Y.-M.; Yang, J.-B.; Xu, D.-L.; Chin, K.-S. On the centroids of fuzzy numbers. Fuzzy Sets Syst. 2006, 157, 919–926. [Google Scholar] [CrossRef]
- Dubois, D.; Prade, H. Operations on fuzzy numbers. Int. J. Syst. Sci. 1978, 9, 613–626. [Google Scholar] [CrossRef]
- Yang, M.-S.; Ko, C.-H. On a class of fuzzy numbers clustering procedures for fuzzy data. Fuzzy Sets Syst. 1996, 84, 49–60. [Google Scholar] [CrossRef]
- Kelley, C.T. Solving Nonlinear Equations with Newton’s Method; SIAM: Philadelphia, PA, USA, 2003; Volume 1. [Google Scholar]
- Ortega, J.M.; Rheinboldt, W.C. Iterative Solution of Nonlinear Equations in Several Variables; SIAM: Philadelphia, PA, USA, 2000. [Google Scholar]
- Wang, X.; Kerre, E. Reasonable properties for the ordering of fuzzy quantities (I). Fuzzy Sets Syst. 2001, 118, 375–385. [Google Scholar]
- Baldwin, J.; Guild, N. Comparison of fuzzy sets on the same decision space. Fuzzy Sets Syst. 1979, 2, 213–231. [Google Scholar] [CrossRef]
- Choobineh, F.; Li, H. An index for ordering fuzzy numbers. Fuzzy Sets Syst. 1993, 54, 287–294. [Google Scholar] [CrossRef]
- Yager, R.R. A procedure for ordering fuzzy subsets of the unit interval. Inf. Sci. 1981, 24, 143–161. [Google Scholar] [CrossRef]
- Yao, J.-S.; Wu, K. Ranking fuzzy numbers based on decomposition principle and signed distance. Fuzzy Sets Syst. 2000, 116, 275–288. [Google Scholar] [CrossRef]
- Cheng, C.-H.; Mon, D.-L. Fuzzy system reliability analysis by interval of confidence. Fuzzy Sets Syst. 1993, 56, 29–35. [Google Scholar] [CrossRef]
- Chen, S.-H. Ranking fuzzy numbers with maximizing set and minimizing set. Fuzzy Sets Syst. 1985, 17, 113–129. [Google Scholar] [CrossRef]
- Lee, A.H.; Chen, W.-C.; Chang, C.-J. A fuzzy ahp and bsc approach for evaluating performance of it department in the manufacturing industry in taiwan. Expert Syst. Appl. 2008, 34, 96–107. [Google Scholar] [CrossRef]
© 2016 by the authors; licensee MDPI, Basel, Switzerland. This article is an open access article distributed under the terms and conditions of the Creative Commons Attribution (CC-BY) license (http://creativecommons.org/licenses/by/4.0/).


