Abstract
Modal logic S5, which isan important knowledge representation and reasoning paradigm, has been successfully applied in various artificial-intelligence-related domains. Similar to the random propositional theories in conjunctive clause form, the phase transition plays an important role in designing efficient algorithms for computing models of propositional S5 theories. In this paper, a new form of S5 formula is proposed, which fixes the number of modal operators and literals in the clauses of the formula. This form consists of reduced 3-3-S5 clauses of the form , where takes the form ), , or a propositional literal, and is a classical literal. Moreover, it is demonstrated that any S5 formula can be translated into a set of reduced 3-3-S5 clauses while preserving its satisfiability. This work further investigates the probability of a random 3-c-S5 formula with being satisfied by random assignment. In particular, we show that the satisfiability threshold of random 3-1-S5 clauses is , where and denote the probabilities of different modal operators appearing in a clause. Preliminary experimental results on random 3-1-S5 formulas confirm this theoretical threshold.
MSC:
03B45
1. Introduction
Phase transition, which is a special process of transition between two distinct phases of a system, is a common phenomenon in thermodynamics, chemistry, biological systems and other related fields [1].
In the field of theoretical computing, phase transition has been observed in many NP-hard problems, such as the k-satisfiability problem (k-SAT) [2]. Let N be the total number of propositional variables and M the number of clauses in a k-SAT instance. Kirkpatrick et al. provided an annealed estimate of the threshold for random k-SAT, with , where represents the ratio of M to N [3]. That is, when , the k-SAT problem changes from satisfiable to unsatisfiable, while it is intractable to determine whether the formula is satisfiable if we are not aware of this phase transition beforehand. This also means that when , almost all k-SAT instances can be solved in polynomial time, while when , almost all k-SAT instances are difficult to solve.
Based on this, Xu Daoyun et al. [4] considered the occurrences of variables as factors influencing the phase transition in the SAT problem and further investigated the impact of positive and negative literals on it [5]. This has significantly advanced the research on phase transitions in the SAT problem [6,7].
In nonmonotonic reasoning, Xu Ke et al. demonstrated the existence of phase transitions in the random Constraint Satisfaction Problem (CSP) and provided the corresponding transition thresholds [8]. In the field of answer set programming (ASP), Wang Kewen et al. used the correspondence between the existence of answer sets for negative 2-literal programs and the “kernel” as the theoretical basis for reasoning and proved the existence of phase transition and the corresponding transition threshold in ASP [9].
Modal logic has been applied in numerous fields such as database theory [10], formal verification [11], distributed computing [12], and game theory [13]. However, to the best of our knowledge, there is currently no quantitative evaluation of the phase transition phenomenon of the satisfiability problem in modal logic. The first conjectureof a phase transition phenomenon in modal logic, similar to the one already known for SAT and other NP-hard problems, is proposed in the work of Giunchiglia et al. [14].
Modal logic S5, which has recently been used extensively in knowledge compilation [15], contingent planning [16], and epistemic planners [17], is an important formalism for epistemic reasoning in agent domain, and its satisfiability problem is NP-complete [18]. There are several kinds of excellent algorithms to solve this problem, such as sequent calculus [19], tableaux methods [20], natural deduction [21], resolution methods [22], graph coloring [23], and encoding in ASP [24]. However, these algorithms also face challenges when computing complex S5 formulas, such as slow computation or inability to compute.
In the contemporary era dominated by large-scale models, including artificial intelligence and formal verification, the imperative to manage vast volumes of data and intricate logical relationships is becoming increasingly pronounced. Yet, the computational intricacy inherent in the existing S5 model frequently results in substantial time and resource consumption when addressing these challenges, thereby constraining the scalability and efficacy of applications. Consequently, enhancing the computational efficiency of the S5 model holds the potential to expedite research and applications across domains like artificial intelligence and formal verification, catalyzing advancements and innovations in technology.
Exploring the phase transition phenomenon of the satisfiability problem in S5 (S5-SAT) can provide further insights into the reasons behind these issues. However, conventional studies on satisfiability phase transitions often concentrate on specific form. For instance, in the investigation of satisfiability phase transitions in random k-SAT, the primary focus lies on the k-CNF (conjunctive normal form). Within the domain of modal logic S5, the quintessential form, the MCNF (modal conjunctive normal form), displays a variable clause structure, wherein the number of modal operators and literals remains unspecified. This implies that solving its satisfiability phase transitions is impossible. Consequently, there arises a need to propose a paradigm conducive to researching satisfiability phase transitions in S5, which forms the central focus of this paper: the 3-c-S5 formula.
In this paper, we analyze the phase transition phenomenon of S5-SAT quantitatively. The major contributions of this paper are as follows:
- It proves that any S5 formula can be translated into a reduced 3-c-S5 formula, which is proposed in this paper as a new form of S5 formula maintaining the satisfiability.
- It shows that the frequency of modal operators occurring in each reduced k-S5 clause is a key factor affecting the phase transition in a random reduced k-S5 formula.
- It presents the phase transition threshold, i.e.,where are the probability of □ and ◊ occurring in a random reduced 3-1-S5 clause, and represents the ratio of clause quantity to atom quantity in a random 3-1-S5 formula, and its correctness has been proved with a large number of random experimental results which are consistent with this result.
2. Preliminaries
In this section, we shall give definitions and important results that are helpful in solving the problem.
2.1. Modal Logic S5
Let be a set of propositional atoms and be the set of modal S5 formulas. A formula is defined as follows:
where ⊤ denotes a propositional constant that represents a tautology, , and ◊ is the modal operator “possibly”. The logical operators → and ∨, as well as the modal operator □ (“necessary”), can be defined similarly. In particular, the formula for is defined as . We denote as the set of atoms appearing in .
A Kripke structure is a triple , where:
- W is a nonempty set of states,
- is a state transition relationship on W,
- is a labeling function that maps each state into a subset of .
A Kripke interpretation, called k-interpretation, is a tuple with . Recall that the state transition relationship R is an equivalence relation on W in S5. In this case, a k-interpretation is reduced to [25], where W denotes a set of all possible worlds, each world is a set of propositions, and is referred to as the actual world.
Let be an S5 formula and be a k-interpretation. The relation , called satisfies and is recursively defined as follows:
For a given formula , if there is a k-interpretation such that , then is said to be satisfiable, and we call a model of . The problem of determining whether an S5 formula is satisfiable is called the S5 satisfiability problem, denoted as S5-SAT. For convenience, let denote the set of models of the formula . We use to denote whenever is a finite set of formulas. If , then logically implies , denoted as . Moreover, is equivalent to , denoted as , whenever . If is satisfiable iff is, then we call and are equisatisfiable, denoted as .
In modal logic S5, a concept similar to the conjunctive normal form (CNF) in classical propositional logic (PL) is the modal conjunctive normal form (MCNF) [26], which is the conjunction of S5 clauses in the following form:
where are PL formulas, and any , including its preceding modal operators, may be missing.
Next, we introduce a method that can convert S5-SAT to SAT, which will make it more convenient to calculate the probability of random S5 instances being satisfied.
2.2. From S5-SAT to SAT
Caridroit and Goranko showed that an S5 formula is satisfiable if and only if a corresponding propositional formula is satisfiable [27]. The corresponding propositional formula for a given S5 formula is obtained according to the following translation function tr.
Definition 1
(Translation function tr [27]). Let , p and be atoms and n be a positive integer.
It was shown that a formula is satisfiable if and only if is with sufficient n. In particular, n can be [18] or [27], where is the number of modalities occurring in , and is recursively defined below:
3. The Satisfiability Threshold of Random Reduced 3-S5 Formulas
In this section, we prove that any S5 formula can be transformed into a reduced 3-S5 formula (defined below) in such a way that its satisfiability is preserved, i.e., is satisfiable if and only if is.
The study of satisfiability phase transitions typically focuses on specific paradigms, such as the CNF in propositional logic, or the negative two-literal logic program in answer set programming. However, in classical modal logic, the number of modal operators and literals in the clauses of the modal conjunctive normal form (MCNF) is variable, making it unsuitable for phase transition research. Therefore, the introduction of the reduced 3-S5 formula is necessary.
3.1. Reduced k-S5 Formulas
Recall that a literal is an atom p or its negation . A clause is a disjunction of literals. A term is a conjunction of literals. A modal clause is of the form or where is a clause and is a term. A reduced k-S5 clause is of the form
where k are literals, and is either a literal or a modal clause. A reduced k-S5 clause of form (2) is called a reduced k-c-S5 clause if contains c literals when is a modal clause or a literal. A reduced k-S5 (resp. k-c-S5) formula is a conjunction of reduced k-S5 (resp. k-c-S5) clauses.
To prove that any S5 formula can be transformed into a reduced 3-S5 formula, the following theorem needs to be applied:
Lemma 1.
Let be S5 formulas and p be a fresh atom not occurring in . We have that is satisfiable iff is satisfiable.
Proof.
It is evident since .
is satisfiable
⇒ for some
⇒ or .
In the case , we have
where and . Similarly, when , we have
where and .
Thus, is satisfiable. □
In fact, is a result of forgetting p from [25,28]. With this theorem, it is possible to prove that any MCNF formula can be translated into a reduced 3-S5 formula while preserving satisfiability consistency.
Proposition 1.
For any S5 formula ψ, there is a set Σ of reduced 3-S5 clauses such that ψ is satisfiable if and only if Σ is satisfiable.
Proof.
Suppose that
where and are clauses; and are terms; and m,n,t and are both positive integers. Since every propositional formula can be transformed into a 3-CNF (conjunctive normal form) or 3-DNF (disjunctive normal form) formula while preserving its satisfiability, we further assume these clauses and terms have at most 3 literals.
We have
where we use
to express the following formula:
Let be pairwise different fresh propositions not occurring in , viz., and , ,, are literals. By Lemma 1, we have
is satisfiable
iff is satisfiable
iff is satisfiable
iff is satisfiable
iff is satisfiable
iff is satisfiable
iff is satisfiable
iff is satisfiable
iff is satisfiable.
This completes the proof. □
In the following, we consider the satisfiable probability of random reduced 3-c-S5 formulas. The detailed random generation model is described in Algorithm 1 of Section 4. The detailed random generation model is described in Algorithm 1 below.
| Algorithm 1 Generate a random reduced 3-S5 formula |
| Input: : the probability of ◊ appearing in a modal clause, : the probability of □ appearing in a modal clause, n: the number of atoms, m: the number of clauses, c: the number of literals occurring in modality. Output: A 3-c-S5 formula Let ; Let ;
|
Given a randomly generated 3-c-S5 formula , we suppose that it has n variables and m reduced 3-c-S5 clauses, and the probability that □ (resp., ◊) occurs in each reduced 3-c-S5 clause of is (resp., ). It is clear that . Now, in the reduced 3-c-S5 formula , the overall number of (classical) clauses is , and the number of reduced 3-c-S5 clauses mentioning □ (resp., ◊) is (resp., ).
Now, we translate into a set of (classical) clauses . Note that the overall number of modalities occurring in is , while . Let . Then, we have that is satisfiable if and only if is satisfiable.
Note that
,
where are literals, and t and j are positive integers.
Similarly, we have .
Proposition 2
The probability that a random 3-c-S5 formula Σ is satisfied by random assignment is
where , , , and , are the number of atoms and 3-c-S5 clauses of Σ, and are the probability of □ and ◊ occurring in each 3-c-S5 clause of Σ.
Proof.
For convenience, all probabilities in this proof are based on randomly assigning assignments to the formulas to make them satisfiable.
(1) When a clause contains neither □ nor ◊ in , meaning the disjunction of three classical literals, there is only one assignment out of assignments that would render it unsatisfiable, specifically when all literals are false. Therefore, its satisfiability probability is .The probability of the random 3-c-S5 clauses which contain neither □ nor ◊ in is .
(2) Based on the previous discussion, it is evident that a random 3-c-S5 clause which only contain ◊ in can be translated into , where are literals, and t and j are positive integers. Given that there are such clauses, conjoining all of these clauses yields a satisfiability probability of
(3) Similarly, the probability of the random 3-c-S5 clauses which only contain □ in is
Thus, the probability of is satisfied with probability:
□
3.2. The Satisfiability Threshold Analysis
We will research the satisfiability threshold by applying the first moment method and the second moment method. Both of these methods require calculating the expected number of satisfying models for a random reduced 3-S5 formula. Let be the number of k-interpretations which only include the atoms in a random reduced 3-c-S5 formula, be the number of k-interpretations that satisfy a random reduced 3-c-S5 formula, be its expectation, and be the satisfiability probability of a random reduced 3-c-S5 formula, i.e., the is the probability referred to in Proposition 2. Then, .
Next, we will consider how to obtain the value of . We know that a random reduced 3-c-S5 formula is satisfiable if and only if the propositional formula obtained using on , i.e., is.
Given a reduced 3-1-S5 formula , let , then , are all modal clauses appearing in . We translate all literals and modal literals appearing in into a set of classical clauses . Let , and according to Definition 1,
Considering that and , we can obtain
When w is sufficient and does not occur separately in other expressions, randomly assigning assignments to , it is evident that is almost unsatisfiable, and is almost satisfiable. Therefore, we can disregard them, so in 3-c-S5, the value of corresponds to the assignment of propositional atoms, which is .
Constraint density [2], which is the ratio of the number of clauses m to the number of atoms n in a reduced 3-S5 formula, i.e., , is important to measure the critical threshold for the phase transition of a random reduced 3-S5 formula. Subsequently, we will analyze the property of satisfiability threshold in randomly generated reduced 3-S5 formulas.
Theorem 1.
When , the random reduced 3-1-S5 formula is unsatisfiable with high probability, where is the probability of □ and ◊ occurring in a random reduced 3-1-S5 clause.
Proof.
Recall that is the number of k-interpretations that satisfy the given reduced 3-S5 formula translated by tr with number of k-interpretations, and then denotes the satisfiability probability of the given formula. We have
When , will be less than 1. It implies that the formula is unsatisfiable with high probability, which means that we obtain the critical threshold for the satisfiability of a random reduced 3-c-S5 formula.
Let function . We know that and share the same monotonicity, and when , because . For a random reduced 3-1-S5 formula, we know that . Therefore, we have
where , , and . When m is sufficient, z is too. We can simplify the equation as:
Recall that . There is
since , . Therefore, is monotonically decreasing. Furthermore, when , . Hence, when , ; that is, . Combining this with Equation (4), when , will be less than 1. According to this, we can conclude that when , the random reduced 3-1-S5 formula is unsatisfiable with high probability. □
By using the first moment method, we have proved that when , reduced 3-1-S5 formulas are highly unsatisfiable. Next, we will apply the second moment method to prove that when , they are highly satisfiable.
Theorem 2.
When , the reduced 3-1-S5 formula is highly satisfiable.
Proof.
To prove this, the Chebyshev’s Inequality is referred to.
Chebyshev’s Inequality: Let X be a random variable with finite expectation and variance . For any positive number :
Let be the number of k-interpretations that satisfy the given reduced 3-1-S5 formula with number of k-interpretations. We have
When , which means that , it indicates that the random reduced 3-S5 formula has a a high probability of being satisfiable. If , then . That is, the random reduced 3-S5 formula has a high probability of being satisfiable.
When , . That is, the random reduced 3-1-S5 formulas have a high probability of being satisfiable.
where , . If , we can obtain . That is
where , , , and , is the probability of □ and ◊ occurring in a random reduced 3-1-S5 clause. When m is sufficient, z is too. We can simplify the formula:
In other words, . After calculating, . Thus, when , the reduced 3-1-S5 formula has a high probability of being satisfiable. It also proves the correctness of the phase transition threshold. □
Obviously, the phase transition threshold of the satisfiability of random reduced 3-S5 formulas is related to the frequencies of the two operators “possibly” and “necessarily”. The phase transition threshold decreases monotonically as decreases, and the phase transition threshold increases monotonically as increases.
4. Experiment
This part aims to validate the theoretical results obtained in the preceding sections. To achieve this goal, we propose a random modal propositional S5-SAT instance generation model to generate numerous reduced 3-S5 formulas, and then we solve those formulas by the Modal logic S5 solver S5PY [24]. We observe a clear phase transition phenomenon and validate the threshold of a reduced 3-S5 formula, which is given in the previous section.
4.1. Random Instance Generation Model for S5-SAT
To observe the phase transition phenomenon of satisfiability in modal propositional S5-SAT, a random modal propositional S5-SAT instance generation model is essential. The random k-SAT model is a basic and classical model, and its instance generation method is relatively simple: when the clause length is k, n atoms can form types of clauses, and with the negative literals, types of clauses can be generated. Then, uniformly and independently select m clauses from them to form a k-CNF.
However, in modal propositional S5-SAT, we need to add two modal operators, □ and ◊, each with its own generation probability. Therefore, we need to consider the generation of random reduced 3-c-S5 formulas with different modal operators and different c values for different probabilities. Algorithm 1 is used to generate random modal propositional reduced 3-S5 formulas.Algorithm 1 in Section 3 is used to generate random modal propositional reduced 3-S5 formulas.
4.2. Experimental Results
In order to complement these theoretical insights with empirical findings, the S5PY solver is used to analyzing the satisfiability of reduced 3-S5 formulas randomly generated using Algorithm 1.
Let and be the probability of □ and ◊ occurring in a modal clause, respectively. During the experiment, and in Algorithm 1 are in the range of , and the number of atoms n is taken as 20, 30, 50, or 80. The number of clauses m is equal to n, and m is increased by 5 after generating every 80 instances of reduced 3-S5 formulas.
The dataset utilized in our study was exclusively generated by Algorithm 1. It is structured based on the number of atoms n, with variations in size and composition depending on different values of c. Specifically, the dataset comprises three distinct experimental groups corresponding to different values of c. Within each group, further categorization is performed based on varying probabilities of generating modal operators. Due to the varying values of the constraint density associated with different c values when phase transitions occur, the dataset sizes are adjusted accordingly. For instance, when , the dataset size is defined as , with n taking values of 20, 30, 50, and 80. Consequently, with different probabilities of generating modal operators, this yields 103680 random 3-1-S5 formulas. Similarly, for , there are 120,960 random 3-2-S5 formulas, and for , there are 207,360 random 3-3-S5 formulas.
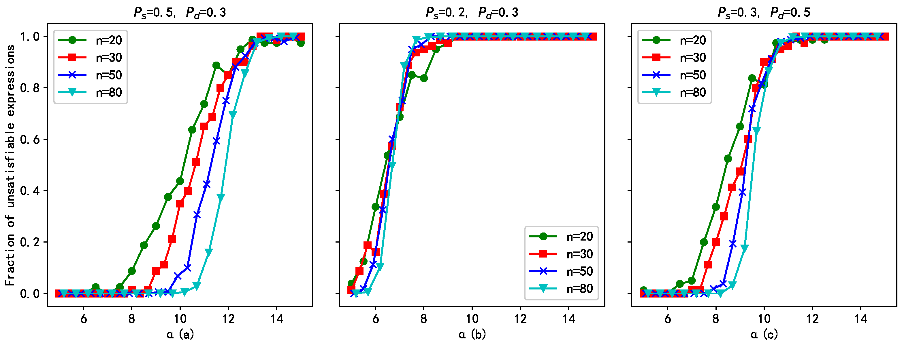
The experimental results are shown in Figure 1, Figure 2 and Figure 3. In these figures, the horizontal axis represents the value of constraint density , and the vertical axis represents the fraction of unsatisfiable expressions (), i.e., the proportion of unsatisfiable formulas in the total number of instances.
Figure 1.
Threshold data for 3-1-S5 formulas where , n = 20 to 80. The trend of threshold data for 3-1-S5 formulas for different and are shown in (a–c). The value of at the dotted lines represents the theoretical result.
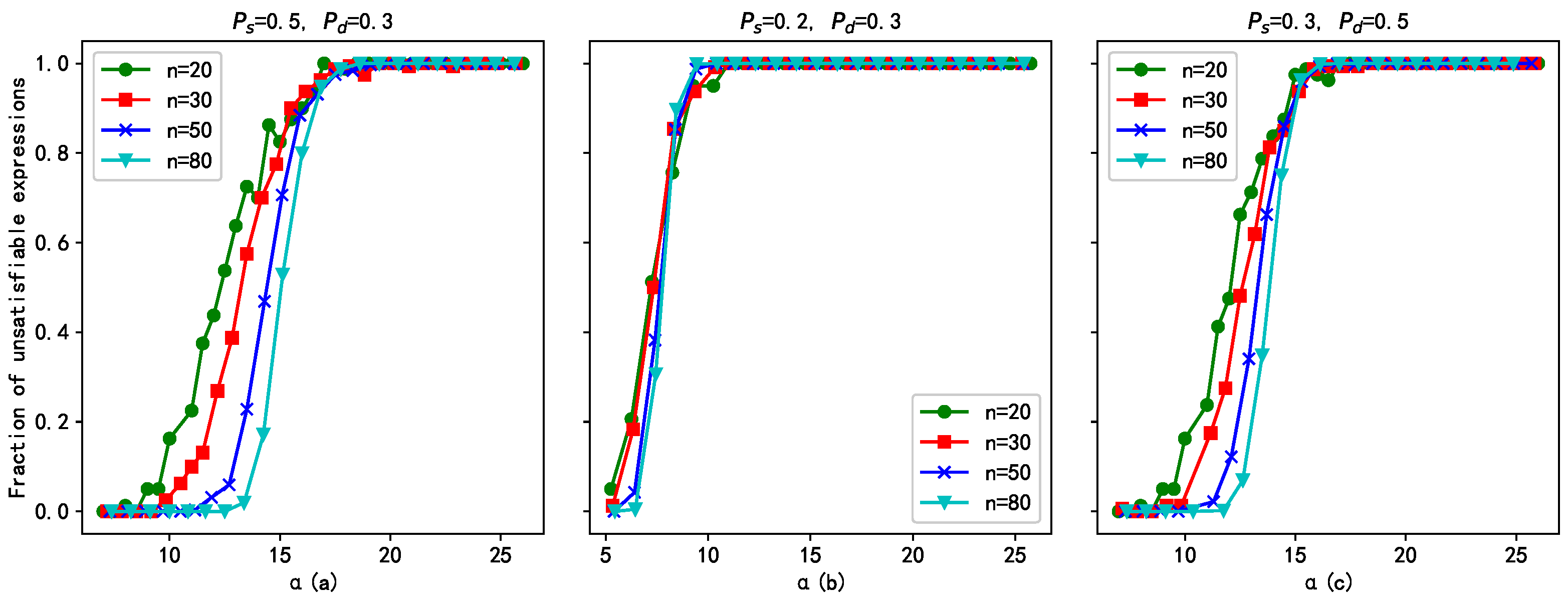
Figure 2.
Threshold data for 3-2-S5 formulas where , n = 20 to 80. The trend of threshold data for 3-2-S5 formulas for different and are shown in (a–c).
Figure 3.
Threshold data for 3-3-S5 formulas where , n = 20 to 80. The trend of threshold data for 3-3-S5 formulas for different and are shown in (a–c).
In Figure 1, Figure 2 and Figure 3, we show the variation in the fraction of unsatisfiable expressions of formulas in random reduced 3-c-S5 formulas with and , , respectively. The trends are presented as a function of the constraint density .
According to these figures, we notice that the critical value for the phase transition is closely related to the values of and when the is fixed. In addition, the number of literals following the modal operator is also one of the influencing factors. In Figure 1, as increases and decreases, the phase transition threshold of random reduced 3-1-S5 formulas increases, e.g., when and , while when and can be observed for the phase transition threshold of random reduced 3-1-S5 formulas. This experimental result is consistent with the theoretical proof given in the previous section.
Figure 2 and Figure 3 illustrate the satisfiability phase transition phenomena for random 3-c-S5 formulas with and , respectively. Due to the complexity in calculating the total number of k-interpretations, only experimental results are available for their theoretical phase transition values. Both figures clearly demonstrate the phase transition of satisfiability, with the constraint density increasing with the increase in c. Furthermore, it can be observed that the lower bound for generating satisfiability phase transitions increases with n. This suggests that the phase transition of satisfiability is not solely determined by the ratio of clause to atom numbers, which may contribute to the difficulty in theoretically calculating its satisfiability phase transition. This aspect will be explored further in future research endeavors.
5. Discussion
Our study fills a gap in the research on satisfiability phase transitions within the field of modal logic. By proposing the reduced 3-c-S5 formula, we offer a novel approach to studying satisfiability phase transitions in modal logic, particularly in cases where the traditional paradigms like MCNF fall short due to their variable clause structures. Our results demonstrate the feasibility of transforming any S5 formula into a 3-c-S5 formula while maintaining satisfiability consistency, thus providing a valuable tool for researchers in this domain. After focusing the study of satisfiability phase transitions of S5 on random reduce 3-c-S5, the utilization of first and second moment methods has led to the determination of the satisfiability phase transitions of random reduced 3-1-S5 formulas. Experimental validation of this threshold’s accuracy has filled a gap in research on satisfiability in modal logic S5 regarding phase transitions, contributing to enhancing effective computation in modal logic S5.
The current study has limitations in the calculation of satisfiability thresholds, which have been exclusively focused on when . The expected number of models for remains uncomputable presently, impeding the utilization of first and second moment methods to determine their satisfiability thresholds. Future research will explore alternative methods to address this issue.
6. Conclusions
In this paper, we proposed a new form of reduced 3-S5 formulas in modal logic S5. Reduced 3-S5 formulas can fix the clause form of a modal propositional formula to at most three forms. Consequently, this reduction significantly simplifies the investigation of the phase transition phenomenon in modal logic S5. On the other hand, we proved that any S5 propositional formula model can be translated to an equivalent reduced 3-S5 formula. Based on this, used the function tr to convert random S5-SAT to random SAT and calculated the satisfiable probability of random reduced 3-c-S5 formulas. Then, the first moment and expected value methods were used to prove that , the random reduced 3-1-S5 formula is high, and the probability is unsatisfiable. Using Chebyshev’s Inequality, we proved that , and the random reduced 3-c-S5 formula has a high probability of being satisfiable, where is the ratio of the number of clauses m to the number of atoms n in a reduced 3-1-S5 formula, and and represent the probabilities of ◊ and □ appearing in a random 3-c-S5 clause, respectively. The experimental results also confirm the phenomenon of phase transitions in random reduced 3-S5 formulas and validate the correctness of the phase transition threshold for random 3-1-S5 formulas.
This paper has focused on determining the satisfiability threshold of random 3-c-S5 formulas but only provides the threshold for random 3-1-S5 formulas in theory. This limitation arises from the current inability to accurately calculate the total number of k-interpretations for 3-c-S5 formulas when c = 2 and c = 3. However, employing Kripke semantics may offer a solution by providing more accurate counts of k-interpretations. Another area for future research is investigating the impact of modal operators and literal frequencies on the satisfiability phase transition thresholds in random 3-c-S5 formulas. Understanding this relationship could lead to phase transition thresholds being derived for random 3-c-S5 formulas as a whole, rather than specific divisions of c.
Author Contributions
At all stages of preparing this article, all authors made substantial contributions. All authors have read and agreed to the published version of the manuscript.
Funding
This work is partially supported by the National Natural Science Foundation of China under grants 61976065 and 62376066 and Guizhou Science Support Project (2022-259).
Data Availability Statement
Data are contained within the article.
Conflicts of Interest
The authors declare no conflicts of interest.
References
- Stanley, H.E. Phase Transitions and Critical Phenomena; Clarendon Press: Oxford, UK, 1971; Volume 7. [Google Scholar]
- Mitchell, D.G.; Selman, B.; Levesque, H.J. Hard and Easy Distributions of SAT Problems. In Proceedings of the 10th National Conference on Artificial Intelligence, San Jose, CA, USA, 12–16 July 1992; Swartout, W.R., Ed.; AAAI Press: Washington, DC, USA; The MIT Press: Cambridge, MA, USA, 1992; pp. 459–465. [Google Scholar]
- Kirkpatrick, S.; Selman, B. Critical Behavior in the Satisfiability of Random Boolean Expressions. Science 1994, 264, 1297–1301. [Google Scholar] [CrossRef] [PubMed]
- Wang, Y.; Xu, D. Properties of the satisfiability threshold of the strictly d-regular random (3, 2s)-SAT problem. Front. Comput. Sci. 2020, 14, 146404. [Google Scholar] [CrossRef]
- Mo, X.; Xu, D.; Yan, K.; Zhang, Z. Satisfiability threshold of the random regular (s, c, k)-SAT problem. Front. Comput. Sci. 2022, 16, 163408. [Google Scholar] [CrossRef]
- Nie, G.; Xu, D.; Wang, X.; Zhang, Z. Exact satisfiability and phase transition analysis of the regular (k, d)-cnf formula. Front. Comput. Sci. 2024, 18, 181405. [Google Scholar] [CrossRef]
- Wang, Y.; Xu, D.; Zhou, J. On the upper bounds of (1,0)-super solutions for the regular balanced random (k,2s)-sat problem. Front. Comput. Sci. 2024, 18, 184403. [Google Scholar] [CrossRef]
- Xu, K.; Li, W. Exact Phase Transitions in Random Constraint Satisfaction Problems. J. Artif. Intell. Res. 2000, 12, 93–103. [Google Scholar] [CrossRef]
- Wen, L.; Wang, K.; Shen, Y.D.; Lin, F. A Model for Phase Transition of Random Answer-Set Programs. ACM Trans. Comput. Log. 2016, 17, 22. [Google Scholar] [CrossRef]
- Fitting, M. Modality and Databases. In Automated Reasoning with Analytic Tableaux and Related Methods, International Conference, TABLEAUX 2000, St Andrews, Scotland, UK, 3–7 July 2000, Proceedings; Vol. 1847 of Lecture Notes in Computer Science; Dyckhoff, R., Ed.; Springer: Berlin/Heidelberg, Germany, 2000; pp. 19–39. [Google Scholar]
- Fairtlough, M.; Mendler, M. An Intuitionistic Modal Logic with Applications to the Formal Verification of Hardware. In Computer Science Logic, 8th International Workshop, CSL ’94, Kazimierz, Poland, 25–30 September 1994; Selected Papers. Vol. 933 of Lecture Notes in Computer Science; Pacholski, L., Tiuryn, J., Eds.; Springer: Berlin/Heidelberg, Germany, 1994; pp. 354–368. [Google Scholar]
- VII, T.M.; Crary, K.; Harper, R. Distributed Control Flow with Classical Modal Logic. In Computer Science Logic, 19th International Workshop, CSL 2005, 14th Annual Conference of the EACSL, Oxford, UK, 22–25 August 2005; Proceedings. Vol. 3634 of Lecture Notes in Computer Science; Ong, C.H.L., Ed.; Springer: Berlin/Heidelberg, Germany, 2005; pp. 51–69. [Google Scholar]
- Lorini, E.; Schwarzentruber, F. A Modal Logic of Epistemic Games. Games 2010, 1, 478–526. [Google Scholar] [CrossRef]
- Giunchiglia, F.; Sebastiani, R. Building Decision Procedures for Modal Logics from Propositional Decision Procedures: The Case Study of Modal K(m). Inf. Comput. 2000, 162, 158–178. [Google Scholar] [CrossRef]
- Bienvenu, M.; Fargier, H.; Marquis, P. Knowledge Compilation in the Modal Logic S5. In Proceedings of the Twenty-Fourth AAAI Conference on Artificial Intelligence, AAAI 2010, Atlanta, GA, USA, 11–15 July 2010; Fox, M., Poole, D., Eds.; AAAI Press: Washington, DC, USA, 2010; pp. 261–266. [Google Scholar]
- Niveau, A.; Zanuttini, B. Efficient Representations for the Modal Logic S5. In Proceedings of the Twenty-Fifth International Joint Conference on Artificial Intelligence, IJCAI 2016, New York, NY, USA, 9–15 July 2016; Kambhampati, S., Ed.; IJCAI/AAAI Press: Washington, DC, USA, 2016; pp. 1223–1229. [Google Scholar]
- Wan, H.; Yang, R.; Fang, L.; Liu, Y.; Xu, H. A complete epistemic planner without the epistemic closed world assumption. In Proceedings of the Twenty-Fourth International Joint Conference on Artificial Intelligence, IJCAI 2015, Buenos Aires, Argentina, 25–31 July 2015; Yang, Q., Wooldridge, M.J., Eds.; AAAI Press: Washington, DC, USA, 2015; pp. 3257–3263. [Google Scholar]
- Ladner, R.E. The Computational Complexity of Provability in Systems of Modal Propositional Logic. SIAM J. Comput. 1977, 6, 467–480. [Google Scholar] [CrossRef]
- Brünnler, K. Deep sequent systems for modal logic. Arch. Math. Log. 2009, 48, 551–577. [Google Scholar] [CrossRef]
- D’Agostino, M.; Gabbay, D.M.; Hähnle, R.; Posegga, J. Handbook of Tableau Methods; Springer Science & Business Media: Berlin/Heidelberg, Germany, 2013. [Google Scholar]
- Fitting, M. Proof Methods for Modal and Intuitionistic Logics; Springer Science & Business Media: Berlin/Heidelberg, Germany, 2013; Volume 169. [Google Scholar]
- Salhi, Y.; Sioutis, M. A Resolution Method for Modal Logic S5. In Global Conference on Artificial Intelligence, GCAI 2015, Tbilisi, Georgia, 16–19 October 2015; Volume 36 of EPiC Series in Computing; Gottlob, G., Sutcliffe, G., Voronkov, A., Eds.; EasyChair: Stockport, UK, 2015; pp. 252–262. [Google Scholar]
- Huang, P.; Liu, M.; Wang, P.; Zhang, W.; Ma, F.; Zhang, J. Solving the satisfiability problem of modal logic S5 guided by graph coloring. In Proceedings of the Twenty-Eighth International Joint Conference on Artificial Intelligence, IJCAI 2019, Macao, China, 10–16 August 2019; Kraus, S., Ed.; IJCAI.ORG: Occitania, France, 2019; pp. 1093–1100. [Google Scholar]
- Alviano, M.; Batsakis, S.; Baryannis, G. Modal Logic S5 Satisfiability in Answer Set Programming. Theory Pract. Log. Program. 2021, 21, 527–542. [Google Scholar] [CrossRef]
- Zhang, Y.; Zhou, Y. Knowledge forgetting: Properties and applications. Artif. Intell. 2009, 173, 1525–1537. [Google Scholar] [CrossRef]
- Hughes, G.E.; Cresswell, M.J. A New Introduction to Modal Logic; Psychology Press: London, UK, 1996; pp. 96–97. [Google Scholar]
- Caridroit, T.; Lagniez, J.; Berre, D.L.; de Lima, T.; Montmirail, V. A SAT-Based Approach for Solving the Modal Logic S5-Satisfiability Problem. In Proceedings of the Thirty-First AAAI Conference on Artificial Intelligence, San Francisco, CA, USA, 4–9 February 2017; Singh, S., Markovitch, S., Eds.; AAAI Press: Washington, DC, USA, 2017; pp. 3864–3870. [Google Scholar]
- Feng, R.; Wang, Y.; Chen, P.; Zhou, J. Strongest necessary and weakest sufficient conditions in S5. In Proceedings of the 13th International Conference on Intelligent Systems and Knowledge Engineering (ISKE2018), Belfast, UK, 21–24 August 2018; Proceedings. World Scientific: Singapore, 2018; pp. 832–839. [Google Scholar]
Disclaimer/Publisher’s Note: The statements, opinions and data contained in all publications are solely those of the individual author(s) and contributor(s) and not of MDPI and/or the editor(s). MDPI and/or the editor(s) disclaim responsibility for any injury to people or property resulting from any ideas, methods, instructions or products referred to in the content. |
© 2024 by the authors. Licensee MDPI, Basel, Switzerland. This article is an open access article distributed under the terms and conditions of the Creative Commons Attribution (CC BY) license (https://creativecommons.org/licenses/by/4.0/).


