Rational and Semi-Rational Solutions to the (2 + 1)-Dimensional Maccari System
Abstract
1. Introduction
2. Gram Determinant Solution of Maccari System
3. Breather I
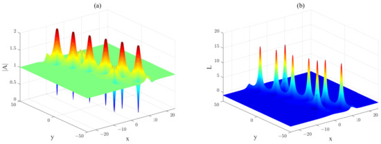
4. Breather II
5. Summary and Conclusions
Author Contributions
Funding
Institutional Review Board Statement
Informed Consent Statement
Data Availability Statement
Acknowledgments
Conflicts of Interest
Appendix A
Appendix B
Appendix C
Appendix D
Appendix E
References
- Zabusky, N.J.; Kruskal, M.D. Interaction of soliton in a collisionless plasma and the recurrence of initial states. Phys. Rev. Lett. 1965, 15, 240–243. [Google Scholar] [CrossRef]
- Yao, R.X.; Li, Y.; Lou, S.Y. A new set and new relations of multiple soliton solutions of (2+1)-dimensional Sawada–Kotera equation. Commun. Nonlinear Sci. 2021, 99, 105820. [Google Scholar] [CrossRef]
- Wazwaz, A.M.; El-Tantawy, S.A. Solving the (3+1)-dimensional KP-Boussinesq and bKP-boussinesq equations by the simplified Hirota’s method. Nonlinear Dyn. 2017, 88, 3017–3021. [Google Scholar] [CrossRef]
- Kuznetsov, E.A. Solitons in a parametrically unstable plasma. Doklady Akademii Nauk SSSR. 1977, 22, 507–508. [Google Scholar]
- Palencia, J.L.D. Travelling waves approach in a parabolic coupled system for modelling the behaviour of substances in a fuel tank. Appl. Sci. 2021, 11, 5846. [Google Scholar] [CrossRef]
- Palencia, J.L.D. Travelling waves and instability in a Fisher–KPP problem with a nonlinear advection and a high-order diffusion. Eur. Phys. J. Plus 2021, 136, 774. [Google Scholar] [CrossRef]
- Jiao, Y.J.; Yang, J.M.; Zhang, H. Traveling wave solutions to a cubic predator-prey diffusion model with stage structure for the prey. AIMS Math. 2022, 7, 16261–16277. [Google Scholar] [CrossRef]
- Rahman, S.; Palencia, J.L.D.; González, J.R. Analysis and profiles of travelling wave solutions to a Darcy-Forchheimer fluid formulated with a non-linear diffusion. AIMS Math. 2022, 7, 15212–15233. [Google Scholar] [CrossRef]
- Palencia, J.L.D.; ur Rahman, S.; Naranjo, A. Analysis of travelling wave solutions for Eyring-Powell fluid formulated with a degenerate diffusivity and a Darcy-Forchheimer law. AIMS Math. 2022, 7, 6898–6914. [Google Scholar] [CrossRef]
- Zhang, R.F.; Li, M.C.; Albishari, M.; Zheng, F.C.; Lan, Z.Z. Generalized lump solutions, classical lump solutions and rogue waves of the (2+1)-dimensional Caudrey-Dodd-Gibbon-Kotera-Sawada-like equation. Appl. Math. Comput. 2021, 403, 126201. [Google Scholar] [CrossRef]
- Ma, W.X.; Zhou, Y. Lump solutions to nonlinear partial differential equations via Hirota bilinear forms. J. Differ. Equations. 2018, 264, 2633–2659. [Google Scholar] [CrossRef]
- Zhang, Y.; Dong, H.H.; Zhang, X.E.; Yang, H.W. Rational solutions and lump solutions to generalized (3+1)-dimensional shallow water-like equation. Comput. Math. Appl. 2017, 73, 246–252. [Google Scholar] [CrossRef]
- Akhmediev, N.; Ankiewicz, A.; Taki, M. Waves that appear from nowhere and disappear without a trace. Phys. Lett. A. 2009, 373, 675–678. [Google Scholar] [CrossRef]
- Ankiewicz, A.; Soto-Crespo, J.M.; Akhmediev, N. Rogue waves and rational solutions of the Hirota equation. Phys. Rev. E. 2010, 81, 046602. [Google Scholar] [CrossRef] [PubMed]
- Kibler, B.; Fatome, J.; Finot, C.; Millot, G.; Dias, F.; Genty, G.; Akhmediev, N.; Dudley, J.M. The peregrine soliton in nonlinear fibre optics. Nature Phys. 2010, 6, 790–795. [Google Scholar] [CrossRef]
- Chabchoub, A.; Hoffmann, N.; Onorato, M.; Slunyaev, A.; Sergeeva, A.; Pelinovsky, E.; Akhmediev, N. Observation of hierarchy of up to fifth-order rogue waves in a water Tank. Phys. Rev. E. 2012, 86, 056601. [Google Scholar] [CrossRef]
- Zhang, X.E.; Chen, Y. Rogue wave and a pair of resonance stripe solitons to a reduced (3+1)-dimensional Jimbo-Miwa equation. Commun. Nonlinear Sci. 2017, 52, 24–31. [Google Scholar] [CrossRef]
- Zhang, X.E.; Chen, Y. Deformation rogue wave to the (2+1)-dimensional KdV equation. Nonlinear Dyn. 2017, 90, 755–763. [Google Scholar] [CrossRef]
- Zhang, X.E.; Chen, Y.; Tang, X.Y. Rogue wave and a pair of resonance stripe solitons to a reduced generalized (3+1)-dimensional KP equation. Comput. Math. Appl. 2018, 76, 1938–1949. [Google Scholar] [CrossRef]
- Yang, B.; Yang, J.K. Rogue waves in (2+1)-dimensional three-wave resonant interactions. Physica D. 2022, 432, 133160. [Google Scholar] [CrossRef]
- Weng, W.F.; Yan, Z.Y. Inverse scattering and N-triple-pole soliton and breather solutions of the focusing nonlinear Schrödinger hierarchy with nonzero boundary conditions. Phys. Lett. A 2021, 407, 127472. [Google Scholar] [CrossRef]
- Ma, L.Y.; Zhang, Y.L.; Tang, L.; Shen, S.F. New rational and breather solutions of a higher-order integrable nonlinear Schrödinger equation. Appl. Math. Lett. 2021, 122, 107539. [Google Scholar] [CrossRef]
- Xu, S.W.; He, J.S. The rogue wave and breather solution of the Gerdjikov-Ivanov equation. J. Math. Phys. 2012, 53, 063507. [Google Scholar] [CrossRef]
- Chen, J.C.; Feng, B.F.; Maruno, K.I.; Ohta, Y. The derivative Yajima-Oikawa System: Bright, dark soliton and breather solutions. Stud. Appl. Math. 2018, 141, 145–185. [Google Scholar] [CrossRef]
- Osborne, A.R. Classification of homoclinic rogue wave solutions of the nonlinear Schrödinger equation. Nat. Hazards Earth Syst. Sci. Discuss. 2014, 2, 897–933. [Google Scholar]
- Ablowitz, M.J.; Herbst, B.M. On homoclinic structure and numerically induced chaos for the nonlinear Schrödinger equation. SIAM J. Appl. Math. 1990, 50, 339–351. [Google Scholar] [CrossRef]
- Maccari, A. Universal and integrable nonlinear evolution systems of equations in 2+1 dimensions. J. Math. Phys. 1998, 38, 4151–4164. [Google Scholar] [CrossRef]
- Yajima, N.; Oikawa, M. Formation and interaction of sonic-langmuir solitons inverse scattering method. Prog. Theor. Phys. 1976, 56, 1719–1739. [Google Scholar] [CrossRef]
- Lai, D.W.C.; Chow, K.W. Coalescence of ripplons, breathers, dromions and dark solitons. J. Phys. Soc. Jan. 2001, 70, 666–677. [Google Scholar] [CrossRef]
- Uthayakumar, A.; Nakkeeran, K.; Porsezian, K. Soliton solution of new (2+1) dimensional nonlinear partial differential equations. Chaos Soliton. Fract. 1999, 10, 1513–1518. [Google Scholar] [CrossRef]
- Chen, J.C.; Chen, Y.; Feng, B.F.; Maruno, K. General mixed multi-soliton solutions to one-dimensional multicomponent Yajima–Oikawa system. J. Phys. Soc. Jpn. 2015, 84, 074001. [Google Scholar] [CrossRef]
- Ohta, Y.; Yang, J.K. General high-order rogue waves and their dynamics in the nonlinear Schrödinger equation. Proc. R. Soc. A 2012, 468, 1716–1740. [Google Scholar] [CrossRef]
























Publisher’s Note: MDPI stays neutral with regard to jurisdictional claims in published maps and institutional affiliations. |
© 2022 by the authors. Licensee MDPI, Basel, Switzerland. This article is an open access article distributed under the terms and conditions of the Creative Commons Attribution (CC BY) license (https://creativecommons.org/licenses/by/4.0/).
Share and Cite
Zhang, Y.; Dong, H.-H.; Fang, Y. Rational and Semi-Rational Solutions to the (2 + 1)-Dimensional Maccari System. Axioms 2022, 11, 472. https://doi.org/10.3390/axioms11090472
Zhang Y, Dong H-H, Fang Y. Rational and Semi-Rational Solutions to the (2 + 1)-Dimensional Maccari System. Axioms. 2022; 11(9):472. https://doi.org/10.3390/axioms11090472
Chicago/Turabian StyleZhang, Yong, Huan-He Dong, and Yong Fang. 2022. "Rational and Semi-Rational Solutions to the (2 + 1)-Dimensional Maccari System" Axioms 11, no. 9: 472. https://doi.org/10.3390/axioms11090472
APA StyleZhang, Y., Dong, H.-H., & Fang, Y. (2022). Rational and Semi-Rational Solutions to the (2 + 1)-Dimensional Maccari System. Axioms, 11(9), 472. https://doi.org/10.3390/axioms11090472

