Mathematical Modeling and Forecasting of COVID-19 in Saudi Arabia under Fractal-Fractional Derivative in Caputo Sense with Power-Law
Abstract
:1. Introduction
2. Formulation of the Model
| Compartments and Parameters | Description |
| Susceptible class | |
| Exposed class | |
| Infected class | |
| In-transmutable infected people showing no clinical symptoms | |
| Recovered people | |
| COVID-19 in the first identified case | |
| The birth rate | |
| The natural death rate | |
| The rate of Transmutable infected people into | |
| The rate of in-transmutable infected people into | |
| The rate of virus leaving in for the class | |
| 1/ | The total life period of COVID-19 virus |
| The disease transmission coefficient | |
| The transmittable multiple of to ( ) | |
| Infected people due to an interactivity with | |
| The transmission rate from to | |
| Transmission rate of the exposed persons the infection to after the incubation period | |
| Transmission rate of the exposed persons the infection to after the incubation period | |
| In-transmutable infection | |
| 1/ | The infectious period of transmutable persons |
| 1/ | The infectious period of in-transmutable persons |
3. Foundations
4. Qualitative Analysis of the Proposed COVID-19 Model
4.1. Positivity of the Model (3)
4.2. Equilibrium Points
4.3. Existence and Uniqueness Results
4.4. Stability Results
- (i)
- for
- (ii)
- (i)
- for
- (ii)
5. Numerical Scheme
6. Statistical Analysis and Forecasts
6.1. Tables and Figures
6.2. Results and Discussion
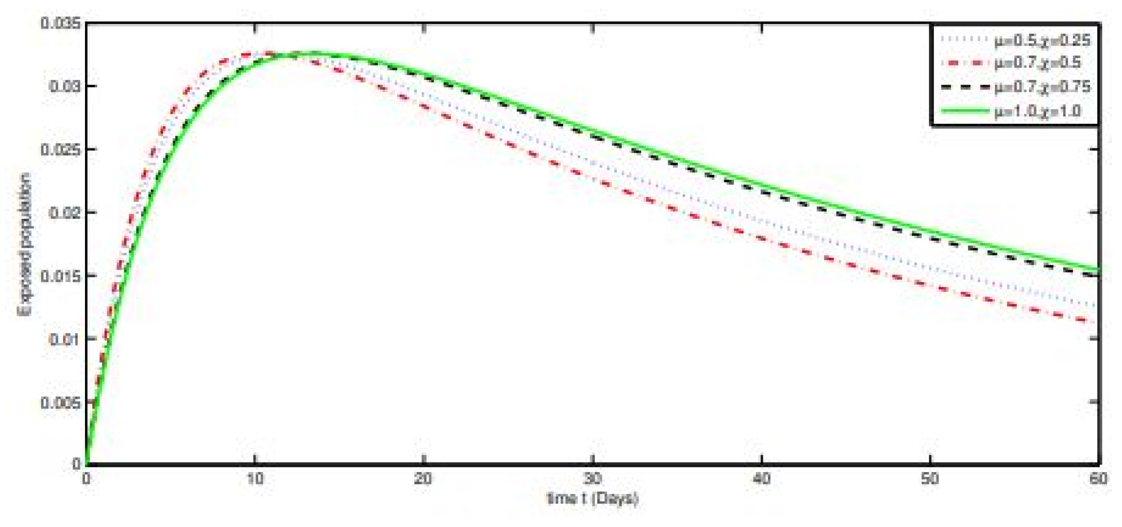
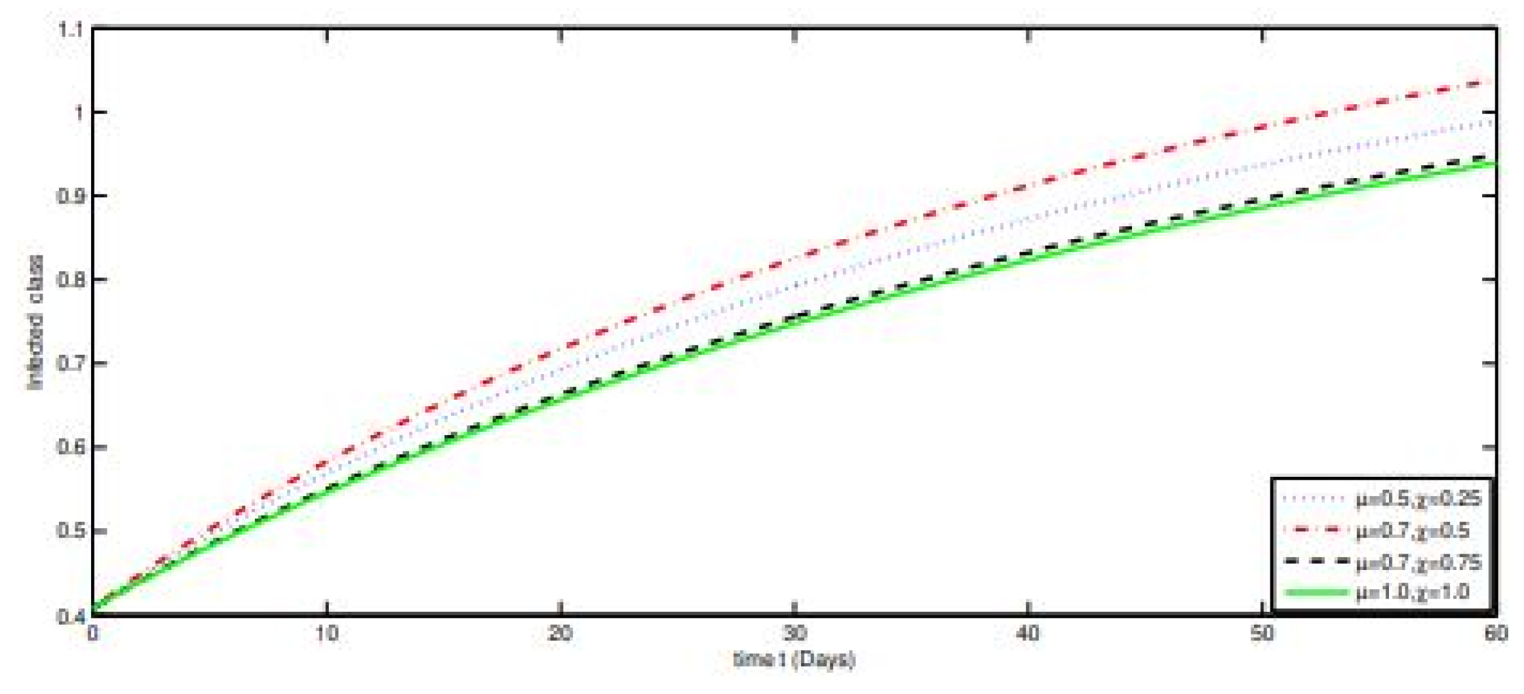
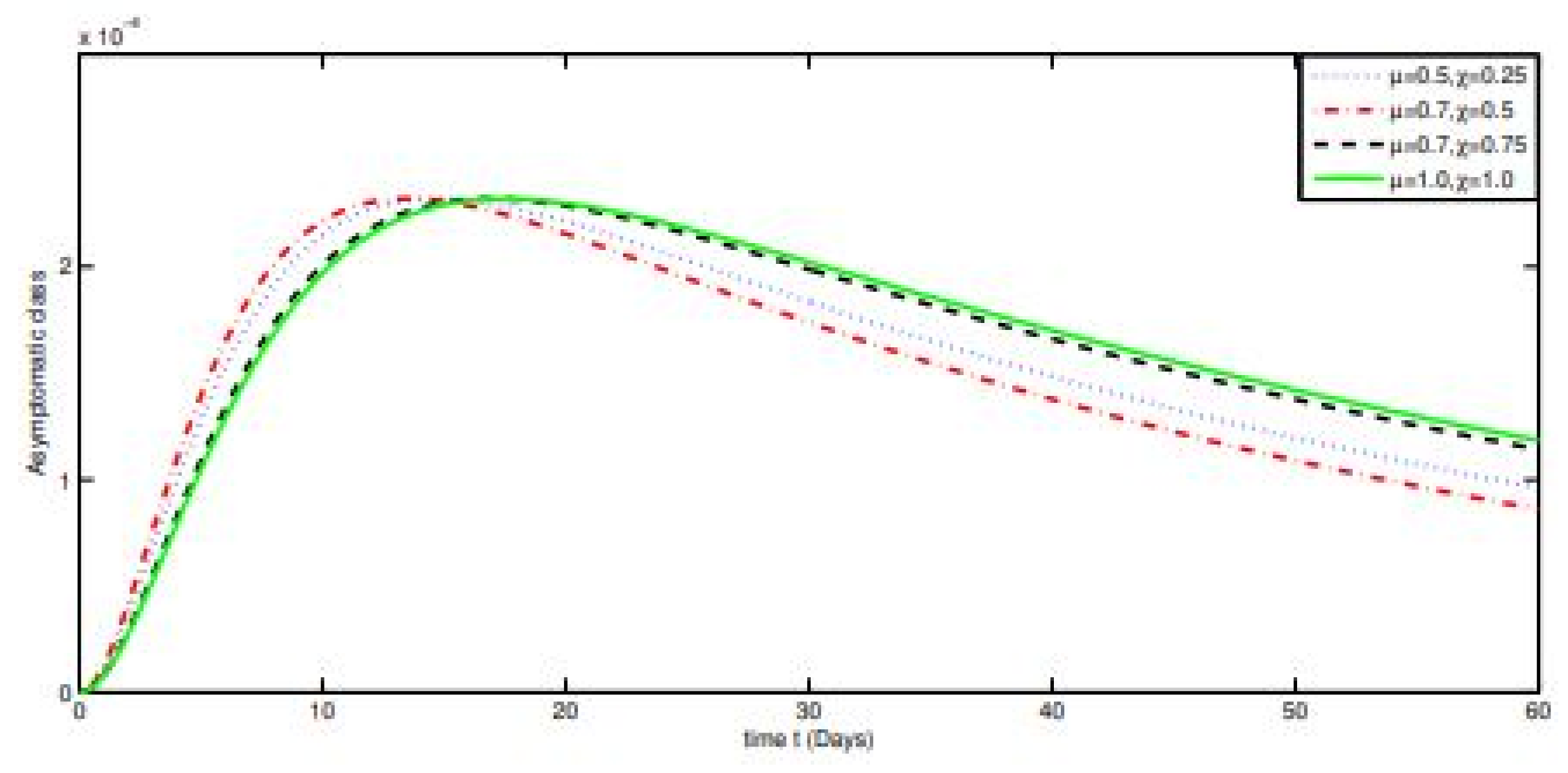
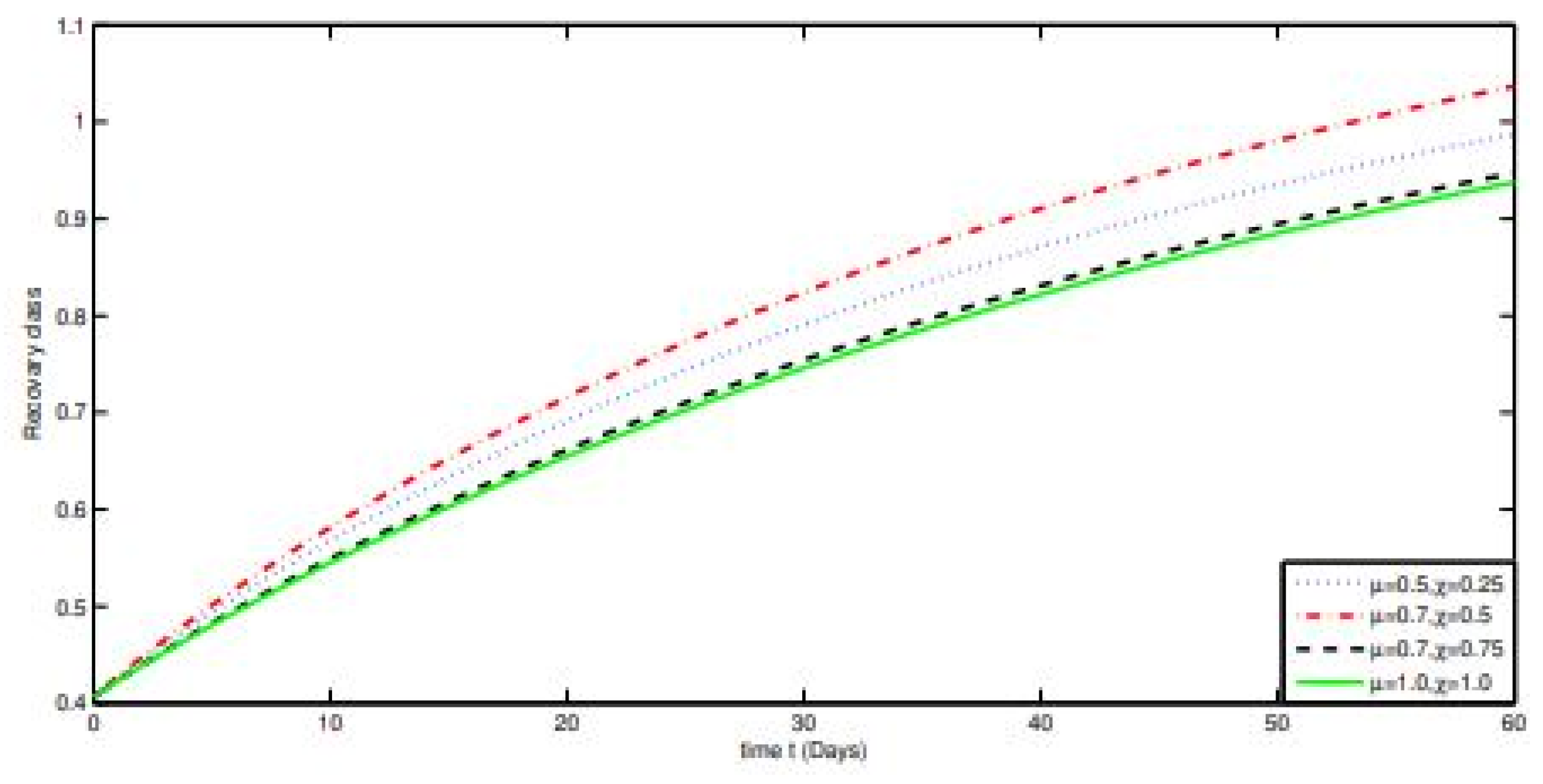
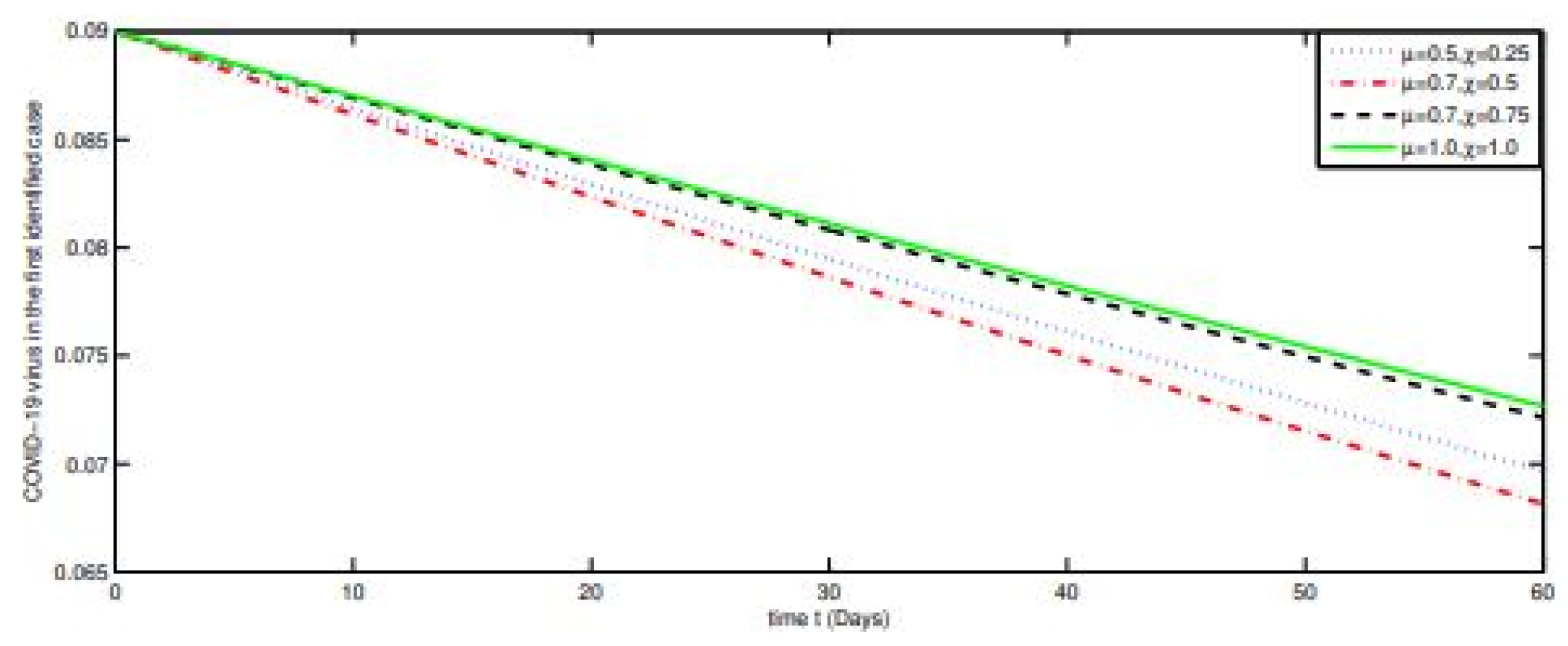
7. Simulations and Discussion
| Compartments and Parameters | Numerical Values |
| 34.439456 Millions | |
| 0 Million | |
| 0.408078 Million | |
| 0 | |
| 0.406589 Million | |
| 0.09 Million | |
| 1/(76.79 times 365) | |
| 0.05 | |
| 0.02 | |
| 0.47876 | |
| 0.05 | |
| 1/ | 0.09871 |
| 0.854302 | |
| 0.000398 () | |
| 0.000001231 | |
| 0.01 | |
| 0.01 |
8. Conclusions
Author Contributions
Funding
Institutional Review Board Statement
Informed Consent Statement
Data Availability Statement
Acknowledgments
Conflicts of Interest
References
- World Health Organization. Available online: https://www.who.int/emergencies/diseases/novel-coronavirus-2019 (accessed on 11 May 2020).
- Center for Disease Control and Prevention (CDC). Available online: https://www.cdc.gov/coronavirus/2019-ncov/index.html (accessed on 3 August 2021).
- Liu, Z.; Magal, Q.; Seydi, O.; Webb, G. A COVID-19 epidemic model with latency period. Infect. Dis. Model. 2020, 5, 323–337. [Google Scholar] [CrossRef]
- Fanelli, D.; Piazza, F. Analysis and forecast of covid-19 spreading in china, italy and france. Chaos Solitons Fractals 2020, 134, 109761. [Google Scholar] [CrossRef]
- Ribeiro, M.H.D.M.; da Silva, R.G.; Mariani, V.C.; dos Coelho, L.S. Short-term forecasting COVID-19 cumulative confirmed cases: Perspectives for Brazil. Chaos Solitons Fractals 2020, 135, 109853. [Google Scholar] [CrossRef]
- Ndairou, F.; Area, I.; Nieto, J.J.; Torres, D.F.M. Mathematical modeling of COVID-19 transmission dynamics with a case study of wuhan. Chaos Solitons Fractals 2020, 135, 109846. [Google Scholar] [CrossRef] [PubMed]
- Ullah, S.; Khan, M.A.; Farooq, M. A fractional model for the dynamics of tb virus. Chaos Solitons Fractals. 2018, 116, 63–71. [Google Scholar] [CrossRef]
- Qureshi, S.; Atangana, A. Mathematical analysis of dengue fever outbreak by novel fractional operators with field data. Phys. A Stat. Mech. Appl. 2019, 526, 121127. [Google Scholar] [CrossRef]
- Khan, M.A.; Azizah, M.; Ullah, S. A fractional model for the dynamics of competition between commercial and rural banks in indonesia. Chaos Solitons Fractals 2019, 122, 32–46. [Google Scholar]
- Podlubny, I. Fractional Differential Equations; Elsevier: Amsterdam, The Netherlands, 1998; Volume 198. [Google Scholar]
- Kilbas, A.A.; Shrivastava, H.M.; Trujillo, J.J. Theory and Applications of Fractional Differential Equations; Elsevier: Amsterdam, The Netherlands, 2006; Volume 204. [Google Scholar]
- Caputo, M.; Fabrizio, M. A new definition of fractional derivative without singular kernel. Progr. Fract. Differ. Appl. 2015, 1, 1–13. [Google Scholar]
- Atangana, A.; Baleanu, D. New fractional derivatives with nonlocal and non-singular kernel: Theory and application to heat transfer model. Therm. Sci. 2016, 20, 763–769. [Google Scholar] [CrossRef] [Green Version]
- Khan, M.A.; Atangana, A. Modeling the dynamics of novel coronavirus (2019-ncov) with fractional derivative. Alex. Eng. J. 2020, 59, 2379–2389. [Google Scholar] [CrossRef]
- Abdo, M.S.; Shah, K.; Wahash, H.A.; Panchal, S.K. On a comprehensive model of the novel coronavirus (COVID-19) under Mittag-Leffler derivative. Chaos Solitons Fractals 2020, 135, 109867. [Google Scholar] [CrossRef]
- Thabet, S.T.; Abdo, M.S.; Shah, K. Theoretical and numerical analysis for transmission dynamics of COVID-19 mathematical model involving CaputoFabrizio derivative. Adv. Differ. Equ. 2021, 2021, 184. [Google Scholar] [CrossRef] [PubMed]
- Abdulwasaa, M.A.; Abdo, M.S.; Shah, K.; Nofal, T.A.; Panchal, S.K.; Kawale, S.V.; Abdel-Aty, A.H. Fractal-fractional mathematical modeling and forecasting of new cases and deaths of COVID-19 epidemic outbreaks in India. Results Phys. 2021, 20, 103702. [Google Scholar] [CrossRef] [PubMed]
- Redhwan, S.S.; Abdo, M.S.; Shah, K.; Abdeljawad, T.; Dawood, S.; Abdo, H.A.; Shaikh, S.L. Mathematical modeling for the outbreak of the coronavirus (COVID-19) under fractional nonlocal operator. Results Phys. 2020, 19, 103610. [Google Scholar] [CrossRef]
- Thabet, S.T.M.; Abdo, M.S.; Shah, K.; Abdeljawad, T. Study of transmission dynamics of COVID-19 mathematical model under ABC fractional order derivative. Results Phys. 2020, 19, 103507. [Google Scholar] [CrossRef]
- Almalahi, M.A.; Panchal, S.K.; Shatanawi, W.; Abdo, M.S.; Shah, K.; Abodayeh, K. Analytical study of transmission dynamics of 2019-nCoV pandemic via fractal fractional operator. Results Phys. 2021, 24, 104045. [Google Scholar] [CrossRef]
- Toufik, M.; Atangana, A. New numerical approximation of fractional derivative with non-local and non-singular kernel, application to chaotic models. Eur. Phys. J. Plus 2017, 132, 444. [Google Scholar] [CrossRef]
- Driesschea, P.; Wamough, J. Reproduction numbers and sub-threshold endemic equilibria for compartmental models of disease transmission. Math. Biosci. 2002, 180, 29–48. [Google Scholar] [CrossRef]
- Granas, A.; Dugundji, J. Fixed Point Theory; Springer: New York, NY, USA, 2003. [Google Scholar]
- Qureshi, S.; Atangana, A. Fractal-fractional differentiation for the modeling and mathematical analysis of nonlinear diarrhea transmission dynamics under the use of real data. Chaos Solitons Fractals 2020, 136, 109812. [Google Scholar] [CrossRef]
- Saudi Arabia: WHO Coronavirus Disease (COVID-19). Available online: https://covid19.who.int (accessed on 22 April 2021).
- Saudi Arabia COVID-Coronavirus Cases. Available online: https://www.worldometers.info (accessed on 8 August 2021).
- Ljung, G.M.; Box, G.E.P. On a Measure of a Lack of Fit in Time Series Models. Biometrika 1978, 65, 297–303. [Google Scholar] [CrossRef]
- IBM SPSS Forecasting 22. 2013. Available online: https://www.sussex.ac.uk/its/pdfs/SPSS_Forecasting_22.pdf (accessed on 13 August 2021).
- Mathevet, T.; Lepiller, M.; Mangin, A. Application of time series analyses to the hydrological functioning of an Alpine karstic system: The case of Bange-L‘Eua-Morte’. Hydrol. Earth Syst. Sci. 2004, 8, 1051–1064. [Google Scholar] [CrossRef]
- Khan, F.; Pilz, J. Modelling and sensitivity analysis of river flow in the Upper Indus Basin, Pakistan. Int. J. Water 2018, 12, 1–21. [Google Scholar] [CrossRef]
- Box, G.E.P.; Jenkins, G.M. Time Series Analysis, Forecasting and Control; Holden-Day: San Francisco, CA, USA, 1970. [Google Scholar]
- Maleki, M.; Mahmoudi, M.R.; Wraith, D.; Pho, K.H. Time series modelling to forecast the confirmed and recovered cases of COVID-19. Travel Med. Infect. Dis. 2020, 37, 101742. [Google Scholar] [CrossRef]
- Yonar, H.; Yonar, A.; Tekindal, M.A.; Tekindal, M. Modeling and forecasting for the number of cases of the COVID-19 pandemic with the curve estimation models, the box-jenkins and exponential smoothing methods. Eur. J. Med. Oncol. 2020, 4, 160–165. [Google Scholar] [CrossRef]
















| Months | Confirmed Cases | Deaths | Mean of Confirmed Cases |
|---|---|---|---|
| Mar-20 | 1563 | 9 | 50 |
| Apr-20 | 19,839 | 147 | 4960 |
| May-20 | 61,982 | 323 | 1999 |
| Jun-20 | 103,052 | 1119 | 3435 |
| Jul-20 | 87,783 | 1243 | 2832 |
| Aug-20 | 40,602 | 1028 | 1310 |
| Sep-20 | 19,366 | 869 | 646 |
| Oct-20 | 12,693 | 644 | 409 |
| Nov-20 | 10,248 | 501 | 342 |
| Dec-20 | 5473 | 330 | 177 |
| Jan-21 | 5212 | 155 | 168 |
| Feb-21 | 9248 | 116 | 330 |
| Mar-21 | 12,361 | 175 | 399 |
| Until 22 Apr-21 | 18,656 | 195 | 848 |
| Total | 408,078 | 6854 | 976 |
| Model Fit statistics Ljung-Box Q [27] | |||||
|---|---|---|---|---|---|
| Model | R-Squared | RMSE | Statistics | DF | Sig. |
| Death-Model | 0.748 | 1.143 | 6.951 | 16 | 0.974 |
| Confirmed cases Model | 0.981 | 33.954 | 31.240 | 18 | 0.270 |
| Dependent Variable: Confirmed Cases | ||||
|---|---|---|---|---|
| Method: Least Squares | ||||
| Sample: 1 March 2020 to 22 April 2021 | ||||
| Included Observations: 418 | ||||
| Variable | Coefficient | Std. Error | t-Statistic | Prob. |
| Predicted | 0.990706 | 0.006538 | 93.48063 | 0.0000 |
| R-squared | 0.982205 | |||
| Adjusted R-squared | 0.982163 | |||
| Durbin-Watson stat | 1.856690 | |||
| S.E. of regression | 145.3526 | |||
| Sum squared resid | 878.8992 | |||
| F-statistic | 22,961.77 | |||
| Prob.(F-statistic) | 0.000000 |
| Dependent Variable: Deaths | ||||
|---|---|---|---|---|
| Method: Least Squares | ||||
| Sample: 1 March 2020 to 22 April 2021 | ||||
| Included Observations: 418 | ||||
| Variable | Coefficient | Std. Error | t-Statistic | Prob. |
| Predicted | 0.983151 | 0.010517 | 151.5314 | 0.0000 |
| R-squared | 0.954559 | |||
| Adjusted R-squared | 0.954449 | |||
| Durbin-Watson stat | 2.007480 | |||
| S.E. of regression | 2.929637 | |||
| Sum squared resid | 3570.433 | |||
| F-statistic | 8738.629 | |||
| Prob.(F-statistic) | 0.000000 |
| Expectations of Infection Cases | Expectations of Deaths | ||||||
|---|---|---|---|---|---|---|---|
| Date | LCL Confirmed Cases Model | Predicted Confirmed Cases Model | UCL Confirmed Cases Model | Date | LCL Deaths Model | Predicted Deaths Model | UCL Deaths Model |
| 23 April 2021 | 875 | 1051 | 1252 | 23 April 2021 | 10 | 12 | 14 |
| 24 April 2021 | 827 | 1074 | 1372 | 24 April 2021 | 10 | 12 | 15 |
| 25 April 2021 | 796 | 1098 | 1479 | 24 April 2021 | 10 | 13 | 15 |
| 26 April 2021 | 772 | 1123 | 1580 | 26 April 2021 | 11 | 13 | 15 |
| 27 April 2021 | 754 | 1148 | 1678 | 27 April 2021 | 11 | 13 | 16 |
| 28 April 2021 | 739 | 1173 | 1774 | 28 April 2021 | 11 | 14 | 16 |
| 29 April 2021 | 726 | 1199 | 1871 | 29 April 2021 | 12 | 14 | 17 |
| 30 April 2021 | 716 | 1226 | 1968 | 30 April 2021 | 12 | 15 | 17 |
| 01 May 2021 | 707 | 1253 | 2066 | 01 May 2021 | 12 | 15 | 18 |
| 02 May 2021 | 699 | 1281 | 2166 | 02 May 2021 | 12 | 15 | 18 |
| 03 May 2021 | 692 | 1310 | 2267 | 03 May 2021 | 12 | 16 | 19 |
| 04 May 2021 | 686 | 1339 | 2370 | 04 May 2021 | 12 | 16 | 20 |
| 05 May 2021 | 681 | 1369 | 2474 | 05 May 2021 | 13 | 16 | 20 |
| 06 May 2021 | 677 | 1399 | 2581 | 06 May 2021 | 13 | 17 | 21 |
| 07 May 2021 | 673 | 1431 | 2690 | 07 May 2021 | 13 | 17 | 21 |
| 08 May 2021 | 670 | 1463 | 2802 | 08 May 2021 | 13 | 17 | 22 |
| 09 May 2021 | 667 | 1495 | 2916 | 09 May 2021 | 13 | 18 | 23 |
| 10 May 2021 | 665 | 1528 | 3033 | 10 May 2021 | 13 | 18 | 23 |
| 11 May 2021 | 663 | 1562 | 3153 | 11 May 2021 | 13 | 19 | 24 |
| 12 May 2021 | 662 | 1597 | 3276 | 12 May 2021 | 13 | 19 | 25 |
| 13 May 2021 | 660 | 1633 | 3402 | 13 May 2021 | 13 | 19 | 25 |
| 14 May 2021 | 660 | 1669 | 3531 | 14 May 2021 | 13 | 20 | 26 |
| 15 May 2021 | 659 | 1706 | 3664 | 15 May 2021 | 13 | 20 | 27 |
| 16 May 2021 | 659 | 1744 | 3799 | 16 May 2021 | 13 | 20 | 27 |
| 17 May 2021 | 659 | 1783 | 3939 | 17 May 2021 | 13 | 21 | 28 |
| 18 May 2021 | 659 | 1823 | 4082 | 18 May 2021 | 13 | 21 | 29 |
| 19 May 2021 | 659 | 1864 | 4229 | 19 May 2021 | 13 | 21 | 30 |
| 20 May 2021 | 660 | 1905 | 4379 | 20 May 2021 | 13 | 22 | 30 |
| 21 May 2021 | 661 | 1948 | 4534 | 21 May 2021 | 13 | 22 | 31 |
| 22 May 2021 | 662 | 1991 | 4693 | 22 May 2021 | 13 | 23 | 32 |
| 23 May 2021 | 663 | 2035 | 4856 | 23 May 2021 | 13 | 23 | 33 |
| 24 May 2021 | 664 | 2081 | 5023 | 24 May 2021 | 13 | 23 | 33 |
| 25 May 2021 | 666 | 2127 | 5195 | 25 May 2021 | 13 | 24 | 34 |
| 26 May 2021 | 667 | 2174 | 5372 | 26 May 2021 | 13 | 24 | 35 |
| 27 May 2021 | 669 | 2223 | 5553 | 27 May 2021 | 13 | 24 | 36 |
| 28 May 2021 | 671 | 2272 | 5739 | 28 May 2021 | 13 | 25 | 36 |
| 29 May 2021 | 673 | 2323 | 5930 | 29 May 2021 | 13 | 25 | 37 |
| 30 May 2021 | 675 | 2375 | 6127 | 30 May 2021 | 13 | 25 | 38 |
| 31 May 2021 | 678 | 2428 | 6328 | 31 May 2021 | 13 | 26 | 39 |
Publisher’s Note: MDPI stays neutral with regard to jurisdictional claims in published maps and institutional affiliations. |
© 2021 by the authors. Licensee MDPI, Basel, Switzerland. This article is an open access article distributed under the terms and conditions of the Creative Commons Attribution (CC BY) license (https://creativecommons.org/licenses/by/4.0/).
Share and Cite
Jeelani, M.B.; Alnahdi, A.S.; Abdo, M.S.; Abdulwasaa, M.A.; Shah, K.; Wahash, H.A. Mathematical Modeling and Forecasting of COVID-19 in Saudi Arabia under Fractal-Fractional Derivative in Caputo Sense with Power-Law. Axioms 2021, 10, 228. https://doi.org/10.3390/axioms10030228
Jeelani MB, Alnahdi AS, Abdo MS, Abdulwasaa MA, Shah K, Wahash HA. Mathematical Modeling and Forecasting of COVID-19 in Saudi Arabia under Fractal-Fractional Derivative in Caputo Sense with Power-Law. Axioms. 2021; 10(3):228. https://doi.org/10.3390/axioms10030228
Chicago/Turabian StyleJeelani, Mdi Begum, Abeer S. Alnahdi, Mohammed S. Abdo, Mansour A. Abdulwasaa, Kamal Shah, and Hanan A. Wahash. 2021. "Mathematical Modeling and Forecasting of COVID-19 in Saudi Arabia under Fractal-Fractional Derivative in Caputo Sense with Power-Law" Axioms 10, no. 3: 228. https://doi.org/10.3390/axioms10030228
APA StyleJeelani, M. B., Alnahdi, A. S., Abdo, M. S., Abdulwasaa, M. A., Shah, K., & Wahash, H. A. (2021). Mathematical Modeling and Forecasting of COVID-19 in Saudi Arabia under Fractal-Fractional Derivative in Caputo Sense with Power-Law. Axioms, 10(3), 228. https://doi.org/10.3390/axioms10030228

