Thermal Pre-Treatment of Polymetallic Nodules to Create Metal (Ni, Cu, Co)-Rich Individual Particles for Further Processing
Abstract
1. Introduction
2. Materials and Methods
2.1. Polymetallic Nodules
2.2. Thermal Pre-Treatment of Polymetallic Nodules
2.3. Scanning Electron Microscopy (SEM) and Mineral Liberation Analysis (MLA)
2.4. Investigation of the Metallization Degree
2.5. Electron Probe Microanalysis (EPMA)
3. Results
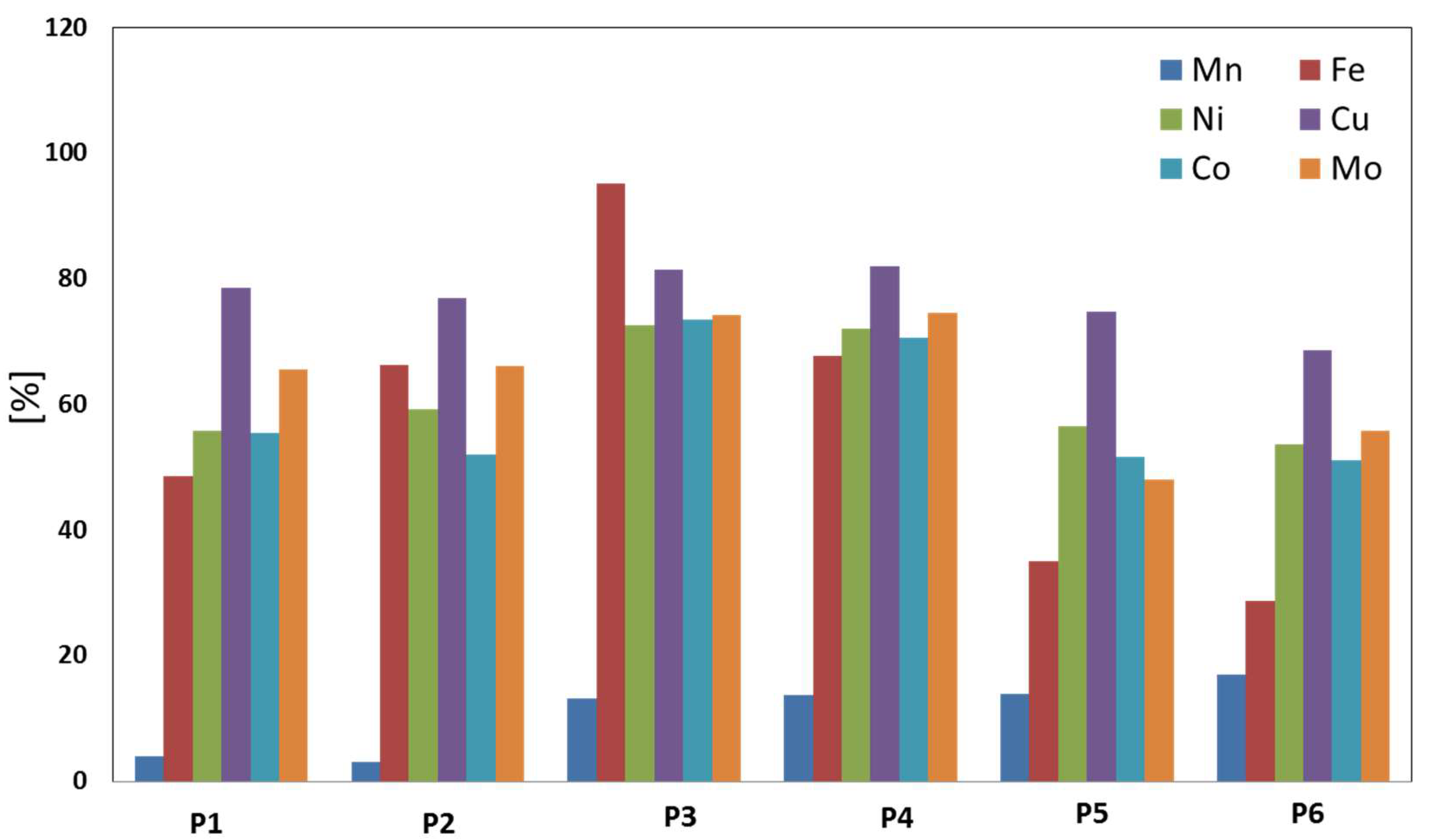
3.1. Metallization Degree
3.2. High-Resolution Investigations of the Pre-Treated Material (SEM + MLA)
3.3. Electron Probe Microanalysis
3.4. The Grain Size Distribution of Metal-Bearing Particles
4. Discussion
5. Conclusions
Author Contributions
Funding
Acknowledgments
Conflicts of Interest
References
- Halbach, P.; Friedrich, G.; von Stackelberg, U. The Manganese Nodule Belt of the Pacific Ocean: Geological Environment, Nodule Formation, and Mining Aspects; Ferdinand Enke Verlag: Stuttgart, Germany, 1988; p. 254. [Google Scholar]
- Von Stackelberg, U. Growth history of manganese nodules and crusts of the Peru Basin. In Manganese Mineralization: Geochemistry and Mineralogy of Terrestrial and Marine Deposits; Nicholson, K., Hein, J.R., Buhn, B., Dasgupta, S., Eds.; The Geological Society of London, Special Publication: Bath, UK, 1997; pp. 153–176. [Google Scholar]
- De Lange, G.J.; Van Os, B.; Poorter, R. Geochemical composition and inferred accretion rates of sediments and manganese nodules from a submarine hill in the Madeira Abyssal Plain, eastern North Atlantic. Mar. Geol. 1992, 109, 171–194. [Google Scholar] [CrossRef]
- Jauhari, P.; Kodagali, V.; Sankar, S. Optimum sampling interval for evaluating ferromanganese nodule resources in the central Indian Ocean. Geo-Mar. Lett. 2001, 21, 176–182. [Google Scholar] [CrossRef]
- Kuhn, T.; Wegorzewski, A.; Rühlemann, C.; Vink, A. Composition, formation, and occurrence of polymetallic nodules. In Deep-Sea Mining; Sharma, R., Ed.; Springer: Cham, Switzerland, 2017; pp. 23–63. [Google Scholar]
- González, F.J.; Somoza, L.; León, R.; Medialdea, T.; de Torres, T.; Ortiz, J.; Merinero, R. Ferromanganese nodules and micro-hardgrounds associated with the Cadiz Contourite Channel (NE Atlantic): Palaeoenvironmental records of fluid venting and bottom currents. Chem. Geol. 2012, 310, 56–78. [Google Scholar] [CrossRef]
- González, F.J.; Somoza, L.; Hein, J.R.; Medialdea, T.; León, R.; Urgorri, V.; Martín-Rubí, J.A. Phosphorites, Co-rich Mn nodules, and Fe-Mn crusts from Galicia Bank, NE Atlantic: Reflections of Cenozoic tectonics and paleoceanography. Geochem. Geophys. Geosyst. 2016, 17, 346–374. [Google Scholar] [CrossRef]
- Hein, J.R.; Mizell, K.; Koschinsky, A.; Conrad, T.A. Deep-ocean mineral deposits as a source of critical metals for high- and green-technology applications: Comparisons with land-based resources. Ore Geol. Rev. 2013, 51, 1–14. [Google Scholar] [CrossRef]
- Wegorzewski, A.V.; Kuhn, T. The influence of suboxic diagenesis on the formation of manganese nodules in the Clarion Clipperton nodule belt of the Pacific Ocean. Mar. Geol. 2014, 357, 123–138. [Google Scholar] [CrossRef]
- Al Barazi, S.; Näher, U.; Vetter, S.; Schütte, P.; Liedtke, M.; Baier, M.; Franken, G. Commodity TopNews 53 (BGR): Cobalt from the DR Congo–Potential, Risks and Significance for the Global Cobalt Market; pp. 2–15. 2017. Available online: https://www.deutsche-rohstoffagentur.de/DE/Gemeinsames/Produkte/Downloads/Commodity_Top_News/Rohstoffwirtschaft/53_kobalt-aus-der-dr-kongo_en.pdf?__blob=publicationFile&v=6 (accessed on 30 September 2018).
- Rühlemann, C.; Kuhn, T.; Wiedicke, M.; Kasten, S.; Mewes, K.; Oicard, A. Current status of manganese nodule exploration in the German license area. In Proceedings of the ISOPE Ocean Mining Symposium, Maui, HI, USA, 19–24 June 2011; pp. 168–173. [Google Scholar]
- Mero, J.L. The mineral Resources of the Sea; Elsevier: Amsterdam, The Netherlands, 1965; Volume 1. [Google Scholar]
- Kuhn, T.; Rühlemann, C.; Wiedicke-Hombach, M. Developing a Strategy for the Exploration of Vast Seafloor Areas for Prospective Manganese Nodule Fields. In Marine Minerals: Finding the Right Balance of Sustainable Development and Environmental Protection; Zhou, H., Morgan, C.L., Eds.; The Underwater Mining Institute: Shanghai, China, 2012. [Google Scholar]
- Rühlemann, C. Shipboard Scientific Party. In Cruise Report “BIONOD”, Biodiversity, Geology and Geochemistry of the German and French Licence Areas for the Exploration of Polymetallic Nodules in the Equatorial NE Pacific; Federal Institute for Geosciences and Natural Resources (BGR): Hanover, Germany, 2012; p. 302. [Google Scholar]
- van Wijk, J.M. Public Report: Blue Mining, Breakthrough Solutions for Mineral Extraction and Processing in Extreme Environments. 2018, pp. 3–30. Available online: http://www.bluemining.eu/download/project_results/public_reports/Blue-mining-Public-Report-2018.pdf (accessed on 30 September 2018).
- Yamazaki, T.; Model mining units of the 20th century and the economies. Technical paper for ISA Workshop on Polymetallic Nodule Mining Technology-Current Status and Challenges Ahead. 2008, pp. 18–22. Available online: https://www.isa.org.jm/files/documents/EN/Workshops/Feb2008/Yamazaki-Abst.pdf (accessed on 30 September 2018).
- Von Heimendahl, M.; Hubred, G.L.; Fuerstenau, D.W.; Thomas, G. A transmission electron microscope study of deep-sea manganese nodules. Deep Sea Res. Oceanogr. Abstr. 1976, 23, 69–79. [Google Scholar] [CrossRef]
- Burns, R.G.; Burns, V.M. The mineralogy and crystal chemistry of deep sea manganese nodules, a polymetallic resource of the twenty-first century. Philos. Trans. R. Soc. Lond. A 1977, 286, 283–301. [Google Scholar] [CrossRef]
- Haynes, B.W.; Law, S.L.; Barron, D.C.; Kramer, G.W.; Maeda, R.; Pacific Manganese Nodules: Characterization and Processing. Bulletin (United States Bureau of Mines). 1985. Available online: https://digicoll.manoa.hawaii.edu/techreports/PDF/USBM-679.pdf (accessed on 30 September 2018).
- Burns, R.G.; Burns, V.M. Mechanism for nucleation and growth of manganese nodules. Nature 1975, 255, 130–131. [Google Scholar] [CrossRef]
- Bodeï, S.; Manceau, A.; Geoffroy, N.; Baronnet, A.; Buatier, M. Formation of todorokite from vernadite in Ni-rich hemipelagic sediments. Geochim. Cosmochim. Acta 2007, 71, 5698–5716. [Google Scholar] [CrossRef]
- Wegorzewski, A.V.; Kuhn, T.; Dohrmann, R.; Wirth, R.; Grangeon, S. Mineralogical characterization of individual growth structures of Mn-Nodules with different Ni + Cu content from central Pacific Ocean. Am. Mineral. 2015, 100, 2497–2508. [Google Scholar] [CrossRef]
- Peacock, C.L.; Sherman, D.M. Sorption of Ni by birnessite: Equilibrium controls on Ni in seawater. Chem. Geol. 2007, 238, 94–106. [Google Scholar] [CrossRef]
- Peacock, C.L.; Sherman, D.M. Crystal-chemistry of Ni in marine ferromanganese crusts and nodules. Am. Mineral. 2007, 92, 1087–1092. [Google Scholar] [CrossRef]
- Peacock, C.L. Physiochemical controls on the crystal-chemistry of Ni in birnessite: Genetic implications for ferromanganese precipitates. Geochim. Cosmochim. Acta 2009, 73, 3568–3578. [Google Scholar] [CrossRef]
- Sherman, D.M.; Peacock, C.L. Surface complexation of Cu on birnessite (δ-MnO2): Controls on Cu in the deep ocean. Geochim. Cosmochim. Acta 2010, 74, 6721–6730. [Google Scholar] [CrossRef]
- Manceau, A.; Lanson, M.; Takahashi, Y. Mineralogy and crystal chemistry of Mn, Fe, Co, Ni, and Cu in a deep-sea Pacific polymetallic nodule. Am. Mineral. 2014, 99, 2068–2083. [Google Scholar] [CrossRef]
- Liu, L.; Min, M.; Liu, F.; Yin, H.; Zhang, Y.; Qiu, G. Influence of vanadium doping on the supercapacitance performance of hexagonal birnessite. J. Power Sources 2015, 277, 26–35. [Google Scholar] [CrossRef]
- Wegorzewski, A.V.; Grangeon, S.; Webb, S.; Kuhn, T. Mineralogical transformations in polymetallic manganese nodules and the changes in the crystal-chemistry of Ni, Cu and Co upon burial in sediments. In preparation.
- Blöthe, M.; Wegorzewski, A.V.; Müller, C.; Simon, F.; Kuhn, T.; Schippers, A. Manganese-Cycling Microbial Communities Inside Deep-Sea Manganese Nodules. Environ. Sci. Technol. 2015, 49, 7692–7700. [Google Scholar] [CrossRef] [PubMed]
- Leonhardt, H. Untersuchungen zur Aufbereitbarkeit von Manganknollen. Ph.D. Thesis, Rheinisch-Westfälische Technische Hochschule Aachen, Aachen, Germany, 1979. [Google Scholar]
- Vasil’chikov, N.V.; Shirer, G.B.; Matsepon, Y.A.; Krasnykh, I.F.; Grishankova, E.A. Iron-Manganese Nodules from the Ocean Floor-Raw Materials for the Production of Cobalt, Nickel, Manganese, and Copper. Tsvet. Metally. 1968, 9, 46–49. [Google Scholar]
- Beck, R.R.; Messner, M.E. Copper, Nickel, Cobalt and Molybdenum recovery from deep sea nodules. In Copper Metallurgy; AIME: New York, NY, USA, 1970; pp. 70–82. [Google Scholar]
- Friedmann, D.; Friedrich, B. Optimized Slag Design for Maximum Metal Recovery during the Pyrometallurgical Processing of Polymetallic Deep-Sea Nodules. In Advances in Molten Slags, Fluxes, and Salts: Proceedings of the 10th International Conference on Molten Slags, Fluxes and Salts; Springer: Cham, Switzerland, 2016; pp. 97–104. [Google Scholar]
- Abramovski, T.; Stefanova, V.P.; Causse, R.; Romanchuk, A. Technologies for the processing of polymetallic nodules from Clarion Clipperton Zone in the Pacific Ocean. J. Chem. Technol. Metall. 2017, 52, 258–269. [Google Scholar]
- Grill, R. Igneous Rocks and Processes: A Practical Guide; Wiley-Blackwell: Hoboken, NJ, USA, 2010; p. 169. [Google Scholar]
- Gu, Y. Automated Scanning Electron Microscope based Mineral Liberation Analysis: An Introduction to JKMRC/FEI Mineral Liberation Analyser. J. Miner. Mater. Charact. Eng. 2003, 2, 33–41. [Google Scholar] [CrossRef]
- Fandrich, R.; Gu, Y.; Burrows, D.; Moeller, K. Modern SEM-based mineral liberation analysis. Int. J. Min. Proc. 2007, 84, 310–320. [Google Scholar] [CrossRef]
- Füchtjohann, L. (HuK Umweltlabor GmbH, Wenden-Hünsborn, Germany). Personal communication, 2016.
- Sridhar, R. Thermal Upgrading of Sea Nodules. JOM 1974, 12, 18–22. [Google Scholar] [CrossRef]
- Atkins, A.L.; Shaw, S.; Peacock, C.L. Release of Ni from birnessite during transformation of birnessite to todorokite: Implications for Ni cycling in marine sediments. Geochim. Cosmochim. Acta 2016, 189, 158–183. [Google Scholar] [CrossRef]
- Rziha, T. Synthese, Charakterisierung und Kristallchemie von Manganoxidphasen. Ph.D. Thesis, Fakultät für Geowissenschaften der Ruhr-Universität Bochum, Bochum, Germany, 1997; p. 155. [Google Scholar]








| Mn | Fe | Si | Al | Mg | Ca | K | Na | Ni | Cu | Co | Zn | Ti | Mo | V | Li | REY |
|---|---|---|---|---|---|---|---|---|---|---|---|---|---|---|---|---|
| 31.1 | 6.2 | 6.1 | 2.3 | 1.9 | 1.7 | 1.0 | 2.2 | 1.4 | 1.2 | 0.17 | 0.15 | 0.26 | 0.06 | 0.06 | 0.01 | 0.07 |
| Samples | Coke [%] | Quartz [%] | Sulfur [%] |
|---|---|---|---|
| P1 (<200 µm) | 8 | 0 | 0 |
| P2 (<200 µm) | 9 | 0 | 0 |
| P3 (<200 µm) | 12 | 0 | 1.2 |
| P4 (<200 µm) | 14 | 0 | 1.2 |
| P5 (<315 µm) | 20 | 10 | 2 |
| P6 (<45 µm) | 20 | 10 | 2 |
| Metallization Degree [%] | P1 | P2 | P3 | P4 | P5 | P6 |
|---|---|---|---|---|---|---|
| Mn | 3.99 | 3.05 | 13.2 | 13.8 | 14.0 | 17.1 |
| Fe | 48.5 | 66.3 | 95.2 | 67.8 | 35.0 | 28.8 |
| Ni | 55.8 | 59.2 | 72.7 | 72.1 | 56.6 | 53.7 |
| Cu | 78.5 | 77.0 | 81.4 | 82.0 | 74.8 | 68.6 |
| Co | 55.6 | 52.1 | 73.4 | 70.6 | 51.6 | 51.2 |
| Mo | 65.7 | 66.1 | 74.2 | 74.6 | 48.0 | 55.8 |
| S | V | Mn | Fe | Co | Ni | Cu | Zn | Mo | ||
|---|---|---|---|---|---|---|---|---|---|---|
| P3 | average (Fe-Me-phase) | 0.03 | 0.02 | 6.53 | 58.2 | 3.34 | 18.06 | 11.84 | 0.00 | 0.34 |
| stabw | 0.05 | 0.02 | 3.41 | 8.75 | 3.89 | 5.40 | 4.83 | u.d.l. | 0.16 | |
| median | 0.03 | 0.02 | 6.49 | 56.3 | 2.56 | 16.3 | 11.22 | u.d.l. | 0.32 | |
| min | 0.00 | 0.00 | 1.13 | 43.7 | 1.21 | 8.05 | 3.37 | u.d.l. | 0.09 | |
| max | 0.16 | 0.08 | 11.0 | 77.7 | 18.3 | 30.8 | 25.3 | u.d.l. | 0.65 | |
| P4 | average (Fe-Me-phase) | 0.04 | 0.02 | 4.78 | 67.1 | 1.86 | 14.1 | 9.25 | u.d.l. | 0.38 |
| stabw | 0.06 | 0.01 | 1.54 | 7.41 | 0.33 | 4.81 | 2.41 | u.d.l. | 0.12 | |
| median | 0.04 | 0.03 | 4.93 | 65.9 | 1.87 | 14.7 | 9.08 | u.d.l. | 0.36 | |
| min | 0.00 | 0.00 | 2.38 | 54.1 | 1.21 | 4.43 | 5.17 | u.d.l. | 0.23 | |
| max | 0.23 | 0.04 | 6.89 | 80.8 | 2.44 | 23.9 | 14.5 | u.d.l. | 0.71 | |
| P3 | average (MnS-phase) | 36.1 | 0.01 | 61.5 | 0.27 | 0.01 | 0.03 | 0.11 | u.d.l. | 0.00 |
| stabw | 2.06 | 0.01 | 0.79 | 0.21 | 0.02 | 0.02 | 0.07 | u.d.l. | 0.01 | |
| median | 36.9 | 0.01 | 61.6 | 0.19 | 0.00 | 0.03 | 0.09 | u.d.l. | 0.00 | |
| min | 30.9 | 0.00 | 59.5 | 0.11 | 0.00 | 0.00 | 0.03 | u.d.l. | 0.00 | |
| max | 38.1 | 0.03 | 63.0 | 0.75 | 0.08 | 0.05 | 0.21 | u.d.l. | 0.03 | |
| P4 | average (MnS-phase) | 34.7 | 0.01 | 59.8 | 0.31 | 0.00 | 0.06 | 0.12 | u.d.l. | 0.00 |
| stabw | 1.18 | 0.01 | 1.70 | 0.18 | 0.01 | 0.04 | 0.05 | u.d.l. | 0.01 | |
| median | 35.4 | 0.01 | 60.1 | 0.21 | 0.00 | 0.04 | 0.09 | u.d.l. | 0.00 | |
| min | 32.7 | 0.00 | 57.6 | 0.19 | 0.00 | 0.03 | 0.08 | u.d.l. | 0.00 | |
| max | 35.5 | 0.02 | 61.5 | 0.63 | 0.02 | 0.12 | 0.20 | u.d.l. | 0.01 | |
| P4 | average (Cu on cokes) | 0.07 | 0.00 | 1.83 | 0.72 | 0.02 | 0.43 | 91.9 | 2.23 | 0.02 |
| stabw | 0.10 | 0.00 | 0.65 | 0.03 | 0.02 | 0.08 | 0.75 | 0.14 | 0.00 | |
| median | 0.00 | 0.00 | 2.03 | 0.73 | 0.02 | 0.41 | 92.2 | 2.32 | 0.02 | |
| min | 0.00 | 0.00 | 0.95 | 0.68 | 0.00 | 0.34 | 90.9 | 2.03 | 0.01 | |
| max | 0.20 | 0.00 | 2.52 | 0.75 | 0.04 | 0.54 | 92.7 | 2.34 | 0.02 | |
| P3 | average (Cu on cokes) | 0–0.04 | 0.00 | 0.6–3.5 | 1.7–3.5 | 0.02–0.2 | 1.8–3.7 | 87–93 | u.d.l. | 0–0.02 |
| P3 | average (Cu-rich) | 0.07 | 0.00 | 10.4 | 4.56 | 0.94 | 7.58 | 75.7 | u.d.l. | 0.01 |
| stabw | 0.05 | 0.00 | 0.56 | 1.64 | 1.61 | 0.82 | 2.72 | u.d.l. | 0.01 | |
| median | 0.06 | 0.00 | 10.4 | 4.19 | 0.23 | 7.37 | 76.3 | u.d.l. | 0.01 | |
| min | 0.00 | 0.00 | 9.72 | 2.80 | 0.12 | 6.74 | 71.5 | u.d.l. | 0.00 | |
| max | 0.14 | 0.00 | 11.5 | 7.27 | 4.54 | 9.02 | 78.8 | u.d.l. | 0.03 | |
| P3 | average (Co-rich) | 0.14 | 0.00 | 6.67 | 6.50 | 73.7 | 8.13 | 5.88 | u.d.l. | 0.15 |
| stabw | 0.02 | 0.00 | 1.14 | 2.28 | 5.57 | 3.45 | 1.18 | u.d.l. | 0.11 | |
| median | 0.14 | 0.00 | 6.35 | 5.27 | 75.0 | 8.61 | 5.36 | u.d.l. | 0.15 | |
| min | 0.11 | 0.00 | 5.29 | 4.14 | 59.5 | 3.54 | 4.92 | u.d.l. | 0.04 | |
| max | 0.17 | 0.01 | 8.81 | 10.3 | 78.4 | 14.8 | 8.68 | u.d.l. | 0.27 | |
| P3 | Fe on cokes | 0.04 | 0.00 | 0.20 | 93.7 | 0.04 | 0.96 | 1.53 | u.d.l. | 0.02 |
| P3 | Co-Fe phase | 0.09–0.11 | 0.04–0.07 | 9.2–10.6 | 29–34 | 37–38.5 | 9.5–12.3 | 9.02–9.60 | u.d.l. | 0.30–0.50 |
| P3 | Fe-rich phase | 0.00 | 0.00 | 1.30 | 85–89 | 1.2–1.4 | 4.8–7.7 | 2.5–3.0 | u.d.l. | 0.08 |
© 2018 by the authors. Licensee MDPI, Basel, Switzerland. This article is an open access article distributed under the terms and conditions of the Creative Commons Attribution (CC BY) license (http://creativecommons.org/licenses/by/4.0/).
Share and Cite
Wegorzewski, A.V.; Köpcke, M.; Kuhn, T.; Sitnikova, M.A.; Wotruba, H. Thermal Pre-Treatment of Polymetallic Nodules to Create Metal (Ni, Cu, Co)-Rich Individual Particles for Further Processing. Minerals 2018, 8, 523. https://doi.org/10.3390/min8110523
Wegorzewski AV, Köpcke M, Kuhn T, Sitnikova MA, Wotruba H. Thermal Pre-Treatment of Polymetallic Nodules to Create Metal (Ni, Cu, Co)-Rich Individual Particles for Further Processing. Minerals. 2018; 8(11):523. https://doi.org/10.3390/min8110523
Chicago/Turabian StyleWegorzewski, Anna V., Martin Köpcke, Thomas Kuhn, Maria A. Sitnikova, and Hermann Wotruba. 2018. "Thermal Pre-Treatment of Polymetallic Nodules to Create Metal (Ni, Cu, Co)-Rich Individual Particles for Further Processing" Minerals 8, no. 11: 523. https://doi.org/10.3390/min8110523
APA StyleWegorzewski, A. V., Köpcke, M., Kuhn, T., Sitnikova, M. A., & Wotruba, H. (2018). Thermal Pre-Treatment of Polymetallic Nodules to Create Metal (Ni, Cu, Co)-Rich Individual Particles for Further Processing. Minerals, 8(11), 523. https://doi.org/10.3390/min8110523

