Geochemical Characteristics of Iron in a Sediment Core at 63°40′ E, Eastern Southwest Indian Ridge: Implications on Regional Hydrothermal Activities and Source Origin
Abstract
1. Introduction
2. Study Area and Sampling
3. Materials and Methods
4. Results
4.1. Lithology and Mineralogy of the Sediment Core
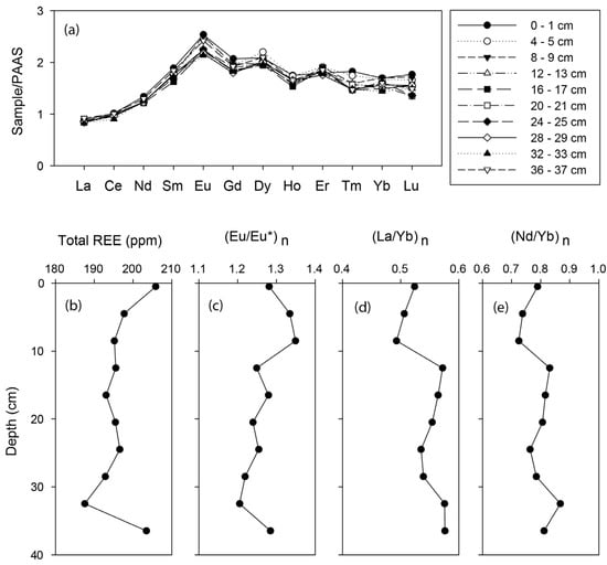
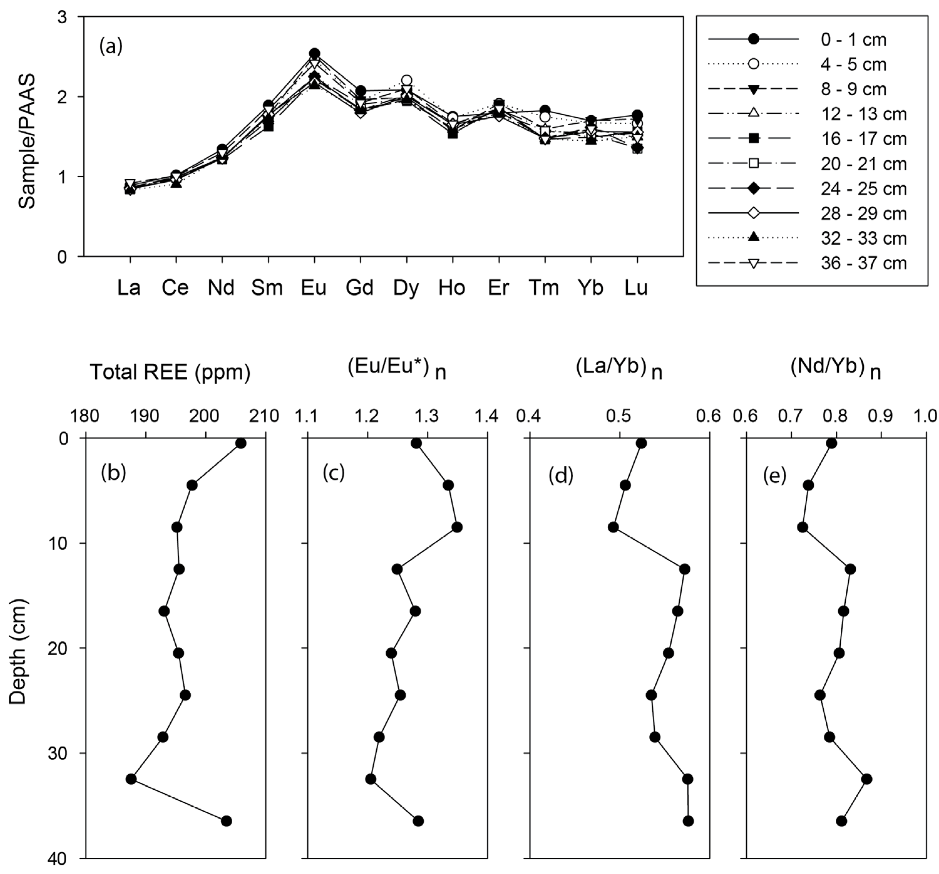
4.2. Bulk Geochemistry of Sediments
4.3. Fe-Speciation in Sediments
4.4. Statistical Analysis of Element Composition Characteristics
5. Discussions
5.1. Characterization of Source Components
5.1.1. Hydrothermal Source
5.1.2. Mafic and Ultramafic Sources
5.2. Geochemical Characteristics of Fe in the Sediment Core
6. Conclusions
Supplementary Materials
Author Contributions
Funding
Data Availability Statement
Acknowledgments
Conflicts of Interest
References
- Rona, P.A.; Bemis, K.G.; Jones, C.D.; Jackson, D.R.; Mitsuzawa, K.; Silver, D. Entrainment and Bending in a Major Hydrothermal Plume, Main Endeavour Field, Juan de Fuca Ridge. Geophys. Res. Lett. 2006, 33, 6–11. [Google Scholar] [CrossRef]
- Rouxel, O.; Toner, B.M.; Manganini, S.J.; German, C.R. Geochemistry and Iron Isotope Systematics of Hydrothermal Plume Fall-out at East Pacific Rise 9°50′ N. Chem. Geol. 2016, 441, 212–234. [Google Scholar] [CrossRef]
- Baker, E.T.; Massoth, G.J.; Feely, R.A.; Embley, R.W.; Richard, E.; Thomson Brenda, J. Burd Hydrothermal Event Plumes from the CoAxial Seafloor Eruption Site, Juan de Fuca Ridge. Geophys. Res. Lett. 1995, 22, 147–150. [Google Scholar] [CrossRef]
- Bennett, S.A.; Achterberg, E.P.; Connelly, D.P.; Statham, P.J.; Fones, G.R.; German, C.R. The Distribution and Stabilisation of Dissolved Fe in Deep-Sea Hydrothermal Plumes. Earth Planet. Sci. Lett. 2008, 270, 157–167. [Google Scholar] [CrossRef]
- Tagliabue, A.; Bopp, L.; Dutay, J.C.; Bowie, A.R.; Chever, F.; Jean-Baptiste, P.; Bucciarelli, E.; Lannuzel, D.; Remenyi, T.; Sarthou, G.; et al. Hydrothermal Contribution to the Oceanic Dissolved Iron Inventory. Nat. Geosci. 2010, 3, 252–256. [Google Scholar] [CrossRef]
- Poulton, S.W.; Canfield, D.E. Co-Diagenesis of Iron and Phosphorus in Hydrothermal Sediments from the Southern East Pacific Rise: Implications for the Evaluation of Paleoseawater Phosphate Concentrations. Geochim. Cosmochim. Acta 2006, 70, 5883–5898. [Google Scholar] [CrossRef]
- Feely, R.A.; Massoth, G.J.; Baker, E.T.; Lebon, G.T.; Geiselman, T.L. Tracking the Dispersal of Hydrothermal Plumes from the Juan de Fuca Ridge Using Suspended Matter Compositions. J. Geophys. Res. Solid Earth 1992, 97, 3457–3468. [Google Scholar] [CrossRef]
- Feely, R.A.; Baker, E.T.; Marumo, K.; Urabe, T.; Ishibashi, J.; Gendron, J.; Lebon, G.T.; Okamura, K. Hydrothermal Plume Particles and Dissolved Phosphate over the Superfast-Spreading Southern East Pacific Rise. Geochim. Cosmochim. Acta 1996, 60, 2297–2323. [Google Scholar] [CrossRef]
- German, C.R.; Hergt, J.; Palmer, M.R.; Edmond, J.M. Geochemistry of a Hydrothermal Sediment Core from the OBS Vent-Field, 21° N East Pacific Rise. Chem. Geol. 1999, 155, 65–75. [Google Scholar] [CrossRef]
- Gartman, A.; Findlay, A.J. Impacts of Hydrothermal Plume Processes on Oceanic Metal Cycles and Transport. Nat. Geosci. 2020, 13, 396–402. [Google Scholar] [CrossRef]
- German, C.R.; Campbell, A.C.; Edmond, J.M. Hydrothermal Scavenging at the Mid-Atlantic Ridge: Modification of Trace Element Dissolved Fluxes. Earth Planet. Sci. Lett. 1991, 107, 101–114. [Google Scholar] [CrossRef]
- Sander, S.G.; Koschinsky, A. The Export of Iron and Other Trace Metals from Hydrothermal Vents and the Impact on Their Marine Biogeochemical Cycle. In Trace Metal Biogeochemistry and Ecology of Deep-Sea Hydrothermal Vent Systems; Springer: Berlin/Heidelberg, Germany, 2016; Volume 50, pp. 9–24. ISBN 1433-6839. [Google Scholar]
- Agarwal, D.K.; Roy, P.; Prakash, L.S.; Kurian, P.J. Hydrothermal Signatures in Sediments from Eastern Southwest Indian Ridge 63° E to 68° E. Mar. Chem. 2020, 218, 103732. [Google Scholar] [CrossRef]
- Chen, X.; Sun, X.; Wu, Z.; Wang, Y.; Lin, X.; Chen, H. Mineralogy and Geochemistry of Deep-Sea Sediments from the Ultraslow-Spreading Southwest Indian Ridge: Implications for Hydrothermal Input and Igneous Host Rock. Minerals 2021, 11, 1–38. [Google Scholar] [CrossRef]
- German, C.R. Hydrothermal Activity on the Eastern SWIR (50°–70°E): Evidence from Core-Top Geochemistry, 1887 and 1998. Geochem. Geophys. Geosyst. 2003, 4, 1–13. [Google Scholar] [CrossRef]
- Kalangutkar, N.G.; Kurian, P.J.; Iyer, S.D. Characterization of Ferromanganese Crusts from the Central and South West Indian Ridges: Evidence for Hydrothermal Activity. Mar. Geores. Geotechnol. 2021, 40, 281–296. [Google Scholar] [CrossRef]
- Li, Z.; Chu, F.; Jin, L.; Li, X.; Dong, Y.; Chen, L.; Zhu, J. Major and Trace Element Composition of Surface Sediments from the Southwest Indian Ridge: Evidence for the Incorporation of a Hydrothermal Component. Acta Oceanol. Sin. 2016, 35, 101–108. [Google Scholar] [CrossRef]
- Liao, S.; Tao, C.; Li, H.; Zhang, G.; Liang, J.; Yang, W.; Wang, Y. Surface Sediment Geochemistry and Hydrothermal Activity Indicators in the Dragon Horn Area on the Southwest Indian Ridge. Mar. Geol. 2018, 398, 22–34. [Google Scholar] [CrossRef]
- Liao, S.; Tao, C.; Dias, Á.A.; Su, X.; Yang, Z.; Ni, J.; Liang, J.; Yang, W.; Liu, J.; Li, W.; et al. Surface Sediment Composition and Distribution of Hydrothermal Derived Elements at the Duanqiao-1 Hydrothermal Field, Southwest Indian Ridge. Mar. Geol. 2019, 416, 105975. [Google Scholar] [CrossRef]
- Pan, A.; Yang, Q.; Zhou, H.; Ji, F.; Wang, H.; Pancost, R.D. Geochemical Impacts of Hydrothermal Activity on Surface Deposits at the Southwest Indian Ridge. Deep. Res. Part I Oceanogr. Res. Pap. 2018, 139, 1–13. [Google Scholar] [CrossRef]
- Surya Praksh, L.; Ray, D.; Nagender Nath, B.; Satyanarayanan, M.; Kamesh, K.R.; Kurian, J.P.; Dileep Kumar, M.; Srinivas Rao, A. Anomalous Phase Association of REE in Ferromanganese Crusts from Indian Mid-Oceanic Ridges: Evidence for Large Scale Dispersion of Hydrothermal Iron. Chem. Geol. 2020, 549, 119679. [Google Scholar] [CrossRef]
- Beaulieu, S.; Szafranski, K. InterRidge Global Database of Active Submarine Hydrothermal Vent Fields. 2010. Available online: https://vents-data.interridge.org/ (accessed on 25 April 2021).
- Chen, J.; Tao, C.; Liang, J.; Liao, S.; Dong, C.; Li, H.; Li, W.; Wang, Y.; Yue, X.; He, Y. Newly Discovered Hydrothermal Fields along the Ultraslow-Spreading Southwest Indian Ridge around 63° E. Acta Geol. Sin. 2018, 37, 61–67. [Google Scholar] [CrossRef]
- Tao, C.; Wu, G.; Ni, J.; Zhao, H.; Su, X.; Zhou, N.; Li, J.; Chen, Y.J.; Cui, R.; Deng, X.; et al. New Hydrothermal Fields Found along the SWIR during the Legs 5-7 of the Chinese DY115-20 Expedition. AGU Fall Meet. Abstr. 2009, 2009, S21A–S1150A. [Google Scholar]
- Marks, K.M.; Tikku, A.A. Cretaceous Reconstructions of East Antarctica, Africa and Madagascar. Earth Planet. Sci. Lett. 2001, 186, 479–495. [Google Scholar] [CrossRef]
- Dick, H.J.B.; Lin, J.; Schouten, H. An Ultraslow-Spreading Class of Ocean Ridge. Nature 2003, 426, 405–412. [Google Scholar] [CrossRef]
- Cannat, M.; Sauter, D.; Ruellan, E.; Okino, K.; Escartin, J.; Combier, V. Modes of Seafloor Generation at a Melt-Poor Ultraslow-Spreading Ridge. Geology 2006, 34, 605. [Google Scholar] [CrossRef]
- Zhou, H.; Dick, H.J.B. Thin Crust as Evidence for Depleted Mantle Supporting the Marion Rise. Nature 2013, 494, 199–200. [Google Scholar] [CrossRef]
- Han, Z.; Zhang, H.; Fan, D.; Ding, M.; Liu, M.; Xu, C. The Characteristic of Geochemistry and Genesis for Mafic and Utrlmafic Rocks from the 50°E of Southwest Indian Ridge. Period. Ocean Univ. China 2012, 42, 69–76. [Google Scholar]
- Chen, Y.Y.; Yu, B.S.; Su, X.; Yu, M. Mineralogical and Geochemical Characteristics of the Calcareous Sediments in Southwest Indian Ridge. Geol. Sci. Technol. Inf. 2013, 32, 107–113. [Google Scholar]
- Münch, U.; Halbach, P.; Fujimoto, H. Sea-Floor Hydrothermal Mineralization from the Mt. Jourdanne, Southwest Indian Ridge. AMSTEC J. Deep Sea Res 2000, 16, 125–132. [Google Scholar]
- Poulton, S.W.; Canfield, D.E. Development of a Sequential Extraction Procedure for Iron: Implications for Iron Partitioning in Continentally Derived Particulates. Chem. Geol. 2005, 214, 209–221. [Google Scholar] [CrossRef]
- Slotznick, S.P.; Swanson-Hysell, N.L.; Sperling, E.A. Oxygenated Mesoproterozoic Lake Revealed through Magnetic Mineralogy. Proc. Natl. Acad. Sci. USA 2018, 115, 12938–12943. [Google Scholar] [CrossRef]
- Bauer, K.W.; Byrne, J.M.; Kenward, P.; Simister, R.L.; Michiels, C.C.; Friese, A.; Vuillemin, A.; Henny, C.; Nomosatryo, S.; Kallmeyer, J.; et al. Magnetite Biomineralization in Ferruginous Waters and Early Earth Evolution. Earth Planet. Sci. Lett. 2020, 549, 116495. [Google Scholar] [CrossRef]
- Sun, Z.; Zhou, H.; Glasby, G.P.; Yang, Q.; Yin, X.; Li, J.; Chen, Z. Formation of Fe–Mn–Si Oxide and Nontronite Deposits in Hydrothermal Fields on the Valu Fa Ridge, Lau Basin. J. Asian Earth Sci. 2012, 43, 64–76. [Google Scholar] [CrossRef]
- Jambor, J.; Dutrizac, J. Occurrence and Constitution of Natural and Synthetic Ferrihydrite, a Widespread Iron Oxyhydroxide. Chem. Rev. 1998, 98, 2549–2586. [Google Scholar] [CrossRef]
- Bodeï, S.; Buatier, M.; Steinmann, M.; Adatte, T.; Wheat, C.G. Characterization of Metalliferous Sediment from a Low-Temperature Hydrothermal Environment on the Eastern Flank of the East Pacific Rise. Mar. Geol. 2008, 250, 128–141. [Google Scholar] [CrossRef]
- Kolla, V.; Bé, A.W.H.; Biscaye, P.E. Calcium Carbonate Distribution in the Surface Sediments of the Indian Ocean. J. Geophys. Res. 1976, 81, 2605–2616. [Google Scholar] [CrossRef]
- Mascarenhas-Pereira, M.B.L.; Nath, B.N. Selective Leaching Studies of Sediments from a Seamount Flank in the Central Indian Basin: Resolving Hydrothermal, Volcanogenic and Terrigenous Sources Using Major, Trace and Rare-Earth Elements. Mar. Chem. 2010, 121, 49–66. [Google Scholar] [CrossRef]
- Nath, B.N.; Rao, V.P.; Becker, K.P. Geochemical Evidence of Terrigenous Influence in Deep-Sea Sediments up to 8° S in the Central Indian Basin. Mar. Geol. 1989, 87, 301–313. [Google Scholar] [CrossRef]
- Nath, B.N.; Gupta, S.M.; Mislankar, P.G.; Rao, B.R.; Parthiban, G.; Roelandts, I.; Patil, S.K. Evidence of Himalayan Erosional Event at ∼0.5° Ma from a Sediment Core from the Equatorial Indian Ocean in the Vicinity of ODP Leg 116 Sites. Deep Sea Res. Part II Top. Stud. Oceanogr. 2005, 52, 2061–2077. [Google Scholar] [CrossRef]
- Nath, B.N.; Borole, D.V.; Aldahan, A.; Patil, S.K.; Mascarenhas-Pereira, M.B.L.; Possnert, G.; Ericsson, T.; Ramaswamy, V.; Gupta, S.M. 210Pb, 230Th, and 10Be in Central Indian Basin Seamount Sediments: Signatures of Degassing and Hydrothermal Alteration of Recent Origin. Geophys. Res. Lett. 2008, 35, 2–7. [Google Scholar] [CrossRef]
- Boström, K.; Peterson, M.N.A. The Origin of Aluminum-Poor Ferromanganoan Sediments in Areas of High Heat Flow on the East Pacific Rise. Mar. Geol. 1969, 7, 427–447. [Google Scholar] [CrossRef]
- Cave, R.R.; German, C.R.; Thomson, J.; Nesbitt, R.W. Fluxes to Sediments Underlying the Rainbow Hydrothermal Plume at 36°14’ N on the Mid-Atlantic Ridge. Geochim. Cosmochim. Acta 2002, 66, 1905–1923. [Google Scholar] [CrossRef]
- Liao, S.; Tao, C.; Li, H.; Barriga, F.J.A.S.; Liang, J.; Yang, W.; Yu, J.; Zhu, C. Bulk Geochemistry, Sulfur Isotope Characteristics of the Yuhuang-1 Hydrothermal Field on the Ultraslow-Spreading Southwest Indian Ridge. Ore Geol. Rev. 2018, 96, 13–27. [Google Scholar] [CrossRef]
- He, C.; Ji, L.; Wu, Y.; Su, A.; Zhang, M. Characteristics of Hydrothermal Sedimentation Process in the Yanchang Formation, South Ordos Basin, China: Evidence from Element Geochemistry. Sediment. Geol. 2016, 345, 33–41. [Google Scholar] [CrossRef]
- Mills, R.; Elderfield, H.; Thomson, J. A Dual Origin for the Hydrothermal Component in a Metalliferous Sediment Core from the Mid-Atlantic Ridge. J. Geophys. Res. 1993, 98, 9671. [Google Scholar] [CrossRef]
- Mills, R.A.; Elderfield, H. Rare Earth Element Geochemistry of Hydrothermal Deposits from the Active TAG Mound, 26° N Mid-Atlantic Ridge. Geochim. Cosmochim. Acta 1995, 59, 3511–3524. [Google Scholar] [CrossRef]
- Dutrieux, A.M. Rise and Fall of a Hydrothermal System: A Tale of Metalliferous Sediments (TAG Hydrothermal Field, MAR, 26°N). Ph.D. Thesis, University of Southampton, Southampton, UK, 2020. [Google Scholar]
- Koschinsky, A.; Hein, J.R. Uptake of Elements from Seawater by Ferromanganese Crusts: Solid-Phase Associations and Seawater Speciation. Mar. Geol. 2003, 198, 331–351. [Google Scholar] [CrossRef]
- Dubinin, A.V. Geochemistry of Rare Earth Elements in the Ocean. Lithol. Miner. Resour. 2004, 39, 289–307. [Google Scholar] [CrossRef]
- Yu, Z.; Li, H.; Li, M.; Zhai, S. Hydrothermal Signature in the Axial-Sediments from the Carlsberg Ridge in the Northwest Indian Ocean. J. Mar. Syst. 2018, 180, 173–181. [Google Scholar] [CrossRef]
- Nakamura, K.; Kato, Y.; Tamaki, K.; Ishii, T. Geochemistry of Hydrothermally Altered Basaltic Rocks from the Southwest Indian Ridge near the Rodriguez Triple Junction. Mar. Geol. 2007, 239, 125–141. [Google Scholar] [CrossRef]
- Adachi, M.; Yamamoto, K.; Sugisaki, R. Hydrothermal Chert and Associated Siliceous Rocks from the Northern Pacific: Their Geological Significance as Indication of Ocean Ridge Activity. Sediment. Geol. 1986, 47, 125–148. [Google Scholar] [CrossRef]
- Ding, T.; Wang, J.; Tao, C.; Dias, Á.A.; Liang, J.; Wang, Y.; Chen, J.; Wu, B.; Huang, H. Trace-Element Compositions of Sulfides from Inactive Tianzuo Hydrothermal Field, Southwest Indian Ridge: Implications for Ultramafic Rocks Hosting Mineralization. Ore Geol. Rev. 2021, 140, 104421. [Google Scholar] [CrossRef]
- Tao, C.; Li, H.; Jin, X.; Zhou, J.; Wu, T.; He, Y.; Deng, X.; Gu, C.; Zhang, G.; Liu, W. Seafloor Hydrothermal Activity and Polymetallic Sulfide Exploration on the Southwest Indian Ridge. Chinese Sci. Bull. 2014, 59, 2266–2276. [Google Scholar] [CrossRef]
- Chen, L.; Chu, F.Y.; Zhu, J.H.; Dong, Y.H.; Yu, X.; Li, Z.G.; Tang, L.M. Major and Trace Elements of Abyssal Peridotites: Evidence for Melt Refertilization beneath the Ultraslow-Spreading Southwest Indian Ridge (53° E Segment). Int. Geol. Rev. 2015, 57, 1715–1734. [Google Scholar] [CrossRef]
- Schmidt, K.; Koschinsky, A.; Garbe-Schönberg, D.; de Carvalho, L.M.; Seifert, R. Geochemistry of Hydrothermal Fluids from the Ultramafic-Hosted Logatchev Hydrothermal Field, 15°N on the Mid-Atlantic Ridge: Temporal and Spatial Investigation. Chem. Geol. 2007, 242, 1–21. [Google Scholar] [CrossRef]
- Mével, C. Serpentinization of Abyssal Peridotites at Mid-Ocean Ridges. Comptes Rendus Geosci. 2003, 335, 825–852. [Google Scholar] [CrossRef]
- Sun, Z.; Cao, H.; Xijile, Y.; Zhang, X.; Dong, A.; Liu, L. Precipitation and Subsequent Preservation of Hydrothermal Fe-Mn Oxides in Distal Plume Sediments on Juan de Fuca Ridge. J. Mar. Syst. 2018, 187, 128–140. [Google Scholar] [CrossRef]
- Fitzsimmons, J.N.; John, S.G.; Marsay, C.M.; Hoffman, C.L.; Nicholas, S.L.; Toner, B.M.; German, C.R.; Sherrell, R.M. Iron Persistence in a Distal Hydrothermal Plume Supported by Dissolved-Particulate Exchange. Nat. Geosci. 2017, 10, 195–201. [Google Scholar] [CrossRef]
- Kennedy, C.B.; Scott, S.D.; Ferris, F.G. Hydrothermal Phase Stabilization of 2-Line Ferrihydrite by Bacteria. Chem. Geol. 2004, 212, 269–277. [Google Scholar] [CrossRef]
- Mills, R.A.; Wells, D.M.; Roberts, S. Genesis of Ferromanganese Crusts from the TAG Hydrothermal Field. Chem. Geol. 2001, 176, 283–293. [Google Scholar] [CrossRef]
- Dias, Á.S.; Barriga, F.J.A.S. Mineralogy and Geochemistry of Hydrothermal Sediments from the Serpentinite-Hosted Saldanha Hydrothermal Field (36°34′ N; 33°26′ W) at MAR. Mar. Geol. 2006, 225, 157–175. [Google Scholar] [CrossRef]
- Edmonds, H.N.; German, C.R. Particle Geochemistry in the Rainbow Hydrothermal Plume, Mid-Atlantic Ridge. Geochim. Cosmochim. Acta 2004, 68, 759–772. [Google Scholar] [CrossRef]
- Nagender Nath, B.; Balaram, V.; Sudhakar, M.; Plüger, W.L. Rare Earth Element Geochemistry of Ferromanganese Deposits from the Indian Ocean. Mar. Chem. 1992, 38, 185–208. [Google Scholar] [CrossRef]
- Schwertmann, U.; Murad, E. Effect of PH on the Formation of Goethite and Hematite from Ferrihydrite. Clays Clay Miner. 1983, 31, 277–284. [Google Scholar] [CrossRef]
- Fitzpatrick, R.W.; Roux, J.L.E.; Schwertmann, U. Amorphous and Crystalline Tiatanium and Iron-Titanium Oxides in Synthetic Preparations, At Near Ambient Conditions, and in Soil Clays. Clays Clay Miner. 1978, 26, 189–201. [Google Scholar] [CrossRef]
- Zhao, J.; Huggins, F.E.; Zhen, F.; Huffman, G.P. Ferrihydrite: Surface Structure and Its Effects on Phase Transformation. Clays Clay Miner. 1994, 42, 737–746. [Google Scholar] [CrossRef]
- Cornell, R.; Schwertmann, U. The Iron Oxides: Structures, Properties, Reactions, Occurrences and Uses; VCH Verlagsgesellshaft GMBH: Weinheim, Germany, 1996; pp. 533–559. [Google Scholar]
- Ohmoto, H. Nonredox Transformations of Magnetite-Hematite in Hydrothermal Systems. Econ. Geol. 2003, 98, 157–161. [Google Scholar] [CrossRef]
- Mehdipour Ghazi, J.; Harris, C.; Rahgoshay, M.; Moazzen, M. Combined Igneous and Hydrothermal Source for the Kiruna-Type Bafq Magnetite-Apatite Deposit in Central Iran; Trace Element and Oxygen Isotope Studies of Magnetite. Ore Geol. Rev. 2019, 105, 590–604. [Google Scholar] [CrossRef]
- Knipping, J.L.; Bilenker, L.D.; Simon, A.C.; Reich, M.; Barra, F.; Deditius, A.P.; Wälle, M.; Heinrich, C.A.; Holtz, F.; Munizaga, R. Trace Elements in Magnetite from Massive Iron Oxide-Apatite Deposits Indicate a Combined Formation by Igneous and Magmatic-Hydrothermal Processes. Geochim. Cosmochim. Acta 2015, 171, 15–38. [Google Scholar] [CrossRef]
- Simon, A.C.; Pettke, T.; Candela, P.A.; Piccoli, P.M.; Heinrich, C.A. Magnetite Solubility and Iron Transport in Magmatic-Hydrothermal Environments. Geochim. Cosmochim. Acta 2004, 68, 4905–4914. [Google Scholar] [CrossRef]
- Dare, S.A.S.; Barnes, S.J.; Beaudoin, G.; Méric, J.; Boutroy, E.; Potvin-Doucet, C. Trace Elements in Magnetite as Petrogenetic Indicators. Miner. Depos. 2014, 49, 785–796. [Google Scholar] [CrossRef]
- Cole, T.G. Composition, Oxygen Isotope Geochemistry and Origin of Smectite in the Metalliferous Sediments of the Bauer Deep, Southeast Pacific. Geochim. Cosmochim. Acta 1985, 49, 221–235. [Google Scholar] [CrossRef]
- Cuadros, J.; Michalski, J.R.; Dekov, V.; Bishop, J.; Fiore, S.; Dyar, M.D. Crystal-Chemistry of Interstratified Mg/Fe-Clay Minerals from Seafloor Hydrothermal Sites. Chem. Geol. 2013, 360–361, 142–158. [Google Scholar] [CrossRef]
- Surya Prakash, L.; John Kurian, P.; Resing, J.A.; Tsunogai, U.; Srinivas Rao, A.; Sen, K.; Lupton, J.E.; Baumberger, T.; Prajith, A.; Roy, P. Volatile-rich Hydrothermal Plumes over the Southern Central Indian Ridge, 24° 49’ S: Evidence for a New Hydrothermal Field Hosted by Ultramafic Rocks. Geochem. Geophys. Geosyst. 2022, 23, e2022GC010452. [Google Scholar] [CrossRef]
- Ray, D.; Kamesh Raju, K.A.; Baker, E.T.; Srinivas Rao, A.; Mudholkar, A.V.; Lupton, J.E.; Surya Prakash, L.; Gawas, R.B.; Vijaya Kumar, T. Hydrothermal Plumes over the Carlsberg Ridge, Indian Ocean. Geochem. Geophys. Geosyst. 2012, 13, 1–15. [Google Scholar] [CrossRef]
- Qiu, Z.; Fan, W.; Han, X.; Chen, X.; Yin, X. Distribution, Speciation and Mobility of Metals in Sediments of the Tianxiu Hydrothermal Field, Carlsberg Ridge, Northwest Indian Ocean. J. Mar. Syst. 2023, 237, 103826. [Google Scholar] [CrossRef]
- Mottl, M.J.; McConachy, T.F. Chemical Processes in Buoyant Hydrothermal Plumes on the East Pacific Rise near 210N. Geochim. Cosmochim. Acta 1990, 54, 1911–1927. [Google Scholar] [CrossRef]
- Rudnicki, M.D.; Elderfield, H. A Chemical Model of the Buoyant and Neutrally Buoyant Plume above the TAG Vent Field, 26 Degrees, N., Mid-Atlantic Ridge. Geochim. Cosmochim. Acta 1993, 57, 2939–2957. [Google Scholar] [CrossRef]
- Leader, J.W.; Dunne, E.J.; Reddy, K.R. Phosphorus Sorbing Materials: Sorption Dynamics and Physicochemical Characteristics. J. Environ. Qual. 2008, 37, 174. [Google Scholar] [CrossRef]
- Sands, C.M. Hydrothermal Plumes and Processes in the Indian Ocean. Ph. D. Thesis, School of Ocean & Earth Science, University of Southampton, Southampton, UK, 2006. [Google Scholar]
- Feely, R.A.; Massoth, G.J.; Trefry, J.H.; Baker, E.T.; Paulson, A.J.; Lebon, G.T. Composition and Sedimentation of Hydrothermal Plume Particles from North Cleft Segment, Juan de Fuca Ridge. J. Geophys. Res. Solid Earth 1994, 99, 4985–5006. [Google Scholar] [CrossRef]
- Gartman, A.; Findlay, A.J.; Luther, G.W. Nanoparticulate Pyrite and Other Nanoparticles Are a Widespread Component of Hydrothermal Vent Black Smoker Emissions. Chem. Geol. 2014, 366, 32–41. [Google Scholar] [CrossRef]











| Extraction | Target Phase | Term |
|---|---|---|
| 1 × 10 mL 1 M CH3COONa (pH—4.5) | Easily exchangeable/loosely sorbed Fe, Carbonate Iron, and acid volatile iron sulphide | FeAcetate |
| 1 × 10 mL 1 M hydroxylamine-HCl (in 25% v/v acetic acid) | Ferrihydrite and lepidocrocite | FeHA-HCl |
| 1 × 10 mL sodium dithionite (50 g/L) (pH—4.8) | Goethite, akaganeite, and hematite | FeDithionite |
| 1 × 10 mL 0.2 M Ammonium oxalate/0.17 M oxalic acid | Magnetite | FeOxalate |
| Boil with 12N HCl | Poorly reactive sheet silicate Fe | FeHCl |
| Digestion with concentrated HF, HNO3, and HClO4 mixture and final dissolution in 2% (v/v) HNO3. | Un-reactive silicate Fe and Pyrite Fe | FeRes |
Disclaimer/Publisher’s Note: The statements, opinions and data contained in all publications are solely those of the individual author(s) and contributor(s) and not of MDPI and/or the editor(s). MDPI and/or the editor(s) disclaim responsibility for any injury to people or property resulting from any ideas, methods, instructions or products referred to in the content. |
© 2023 by the authors. Licensee MDPI, Basel, Switzerland. This article is an open access article distributed under the terms and conditions of the Creative Commons Attribution (CC BY) license (https://creativecommons.org/licenses/by/4.0/).
Share and Cite
Linsy, P.; Surya Prakash, L.; Roy, P.; Shuhail, M.; Kurian, P.J. Geochemical Characteristics of Iron in a Sediment Core at 63°40′ E, Eastern Southwest Indian Ridge: Implications on Regional Hydrothermal Activities and Source Origin. Minerals 2023, 13, 209. https://doi.org/10.3390/min13020209
Linsy P, Surya Prakash L, Roy P, Shuhail M, Kurian PJ. Geochemical Characteristics of Iron in a Sediment Core at 63°40′ E, Eastern Southwest Indian Ridge: Implications on Regional Hydrothermal Activities and Source Origin. Minerals. 2023; 13(2):209. https://doi.org/10.3390/min13020209
Chicago/Turabian StyleLinsy, P., L. Surya Prakash, Parijat Roy, Muhammad Shuhail, and P. John Kurian. 2023. "Geochemical Characteristics of Iron in a Sediment Core at 63°40′ E, Eastern Southwest Indian Ridge: Implications on Regional Hydrothermal Activities and Source Origin" Minerals 13, no. 2: 209. https://doi.org/10.3390/min13020209
APA StyleLinsy, P., Surya Prakash, L., Roy, P., Shuhail, M., & Kurian, P. J. (2023). Geochemical Characteristics of Iron in a Sediment Core at 63°40′ E, Eastern Southwest Indian Ridge: Implications on Regional Hydrothermal Activities and Source Origin. Minerals, 13(2), 209. https://doi.org/10.3390/min13020209

