Chiral Symmetry in Dense Matter with Meson Condensation
Highlights
Abstract
1. Introduction
2. Chiral Symmetry Approach for Kaon Condensation
Kaon–Baryon and Multi-Kaon Interactions
3. Baryon Interactions
3.1. Minimal RMF for Baryon–Baryon Interaction
3.2. Universal Three-Baryon Repulsive Force and Three-Nucleon Attractive Force
4. Description of the Ground State for the (Y+K) Phase
4.1. Energy Density Expression for the (Y+K) Phase
4.2. Classical Field Equations for Kaon Condensates and Meson Mean Fields
4.3. Ground State Conditions
5. Choice of Parameters and Properties of Symmetric Nuclear Matter
5.1. Meson–Nucleon Coupling Constants Determined from Saturation Properties in the SNM
5.2. Meson–Hyperon Coupling Constants
6. Estimation of the Kaon–Baryon Sigma Terms—Quark Contents in the Baryon
Nonlinear Effect on the Quark Contents
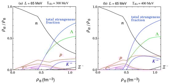
7. Onset of KC and Composition of Matter in the (Y+K) Phase
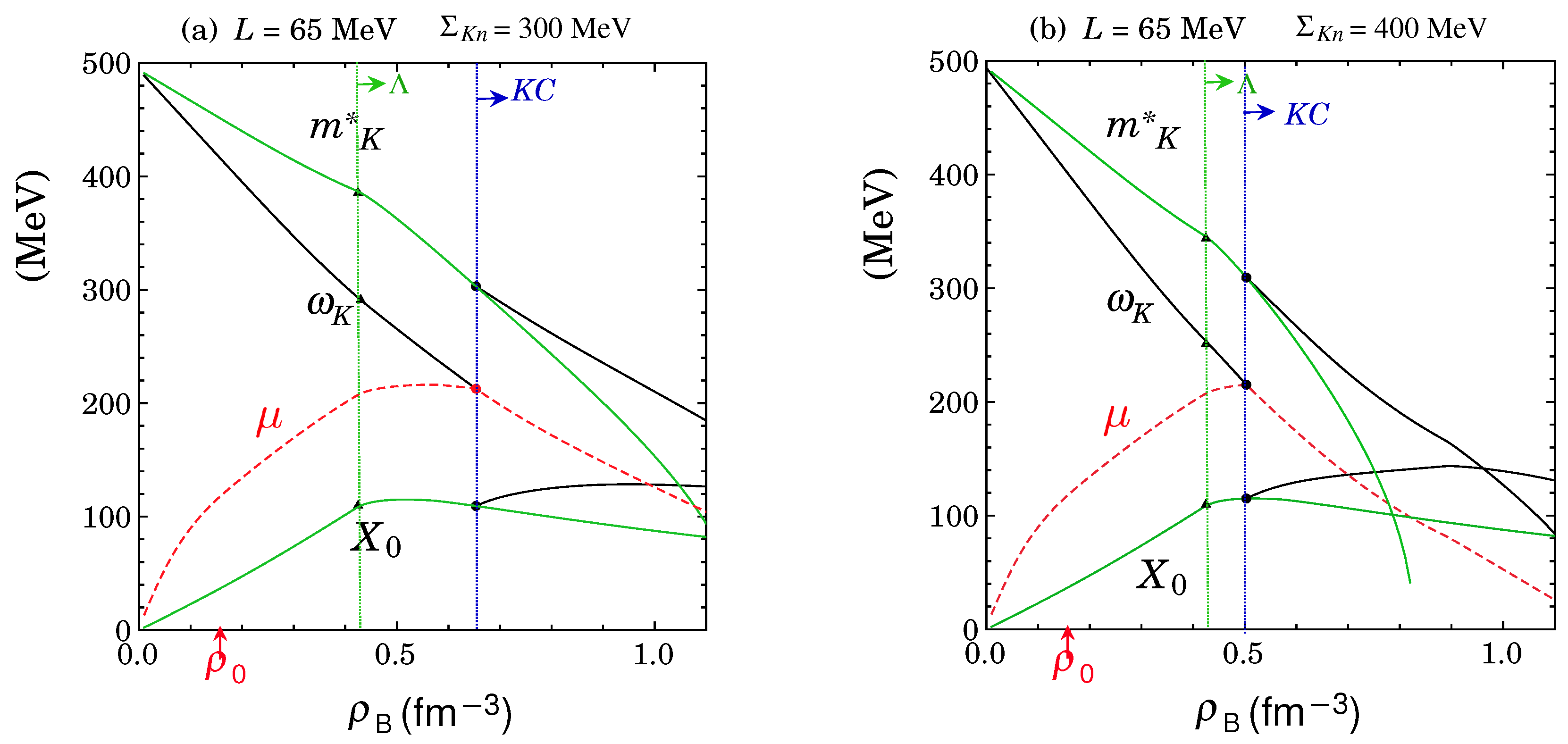
7.1. Onset Density of Kaon Condensation in Hyperon-Mixed Matter
7.2. Interplay Between Kaons and Baryons Before and After the Onset of KC
8. EOS and Structure of Neutron Stars with the (+) Phase
9. Quark Condensates in the (+) Phase and Relevance to Chiral Restoration
10. Summary and Outlook
Author Contributions
Funding
Data Availability Statement
Acknowledgments
Conflicts of Interest
References
- Sawyer, R.F. Condensed π− phase in neutron-star matter. Phys. Rev. Lett. 1972, 29, 382. [Google Scholar] [CrossRef]
- Scalapino, D.J. π− condensate in dense nuclear matter. Phys. Rev. Lett. 1972, 29, 392. [Google Scholar] [CrossRef]
- Migdal, A.B. Pion fields in nuclear matter. Rev. Mod. Phys. 1978, 50, 107. [Google Scholar] [CrossRef]
- Migdal, A.B.; Saperstein, E.E.; Troitsky, M.A.; Voskresensky, D.N. Pion degrees of freedom in nuclear matter. Phys. Rep. 1990, 192, 179. [Google Scholar] [CrossRef]
- Baym, G.; Campbell, D.K. Mesons and Nuclei; Rho, M., Wilkinson, D.H., Eds.; North Holland: Amsterdam, The Netherlands, 1979; Volume III, p. 1031. [Google Scholar]
- Kunihiro, T.; Muto, T.; Takatsuka, T.; Tamagaki, R.; Tatsumi, T. Various phases in high-density nuclear matter and neutron stars. Prog. Theor. Phys. Suppl. 1993, 112, 1. [Google Scholar]
- Kaplan, D.B.; Nelson, A.E. Strange goings on in dense nucleonic matter. Phys. Lett. B 1986, 175, 57. [Google Scholar] [CrossRef]
- Tatsumi, T. K-on condensation and cooling of neutron stars. Prog. Theor. Phys. 1988, 80, 22. [Google Scholar] [CrossRef]
- Muto, T.; Tatsumi, T. Theoretical aspects of kaon condensation in neutron matter. Phys. Lett. B 1992, 283, 165. [Google Scholar] [CrossRef]
- Muto, T. Role of weak interaction on kaon condensation in neutron matter–A result with hyperon excitations. Prog. Theor. Phys. 1993, 89, 415. [Google Scholar] [CrossRef]
- Muto, T.; Tamagaki, R.; Tatsumi, T. A chiral symmetry approach to meson condensations. Prog. Theor. Phys. Suppl. 1993, 112, 159. [Google Scholar] [CrossRef]
- Muto, T.; Takatsuka, T.; Tamagaki, R.; Tatsumi, T. Implications of various hadron phases to neutron star phenomena. Prog. Theor. Phys. Suppl. 1993, 112, 221. [Google Scholar] [CrossRef]
- Thorsson, V.; Prakash, M.; Lattimer, J.M. Composition, structure and evolution of neutron stars with kaon condensates. Nucl. Phys. A 1994, 572, 693. [Google Scholar] [CrossRef]
- Kolomeitsev, E.E.; Voskresensky, D.N.; Kämpfer, B. Kaon polarization in nuclear matter. Nucl. Phys. A 1995, 588, 889–917. [Google Scholar] [CrossRef]
- Lee, C.-H.; Brown, G.E.; Min, D.-P.; Rho, M. An Effective chiral Lagrangian approach to kaon - nuclear interactions: Kaonic atom and kaon condensation. Nucl. Phys. A 1995, 585, 401. [Google Scholar] [CrossRef]
- Lee, C.-H. Kaon condensation in dense stellar matter. Phys. Rep. 1996, 275, 255. [Google Scholar] [CrossRef]
- Prakash, M.; Bombaci, I.; Prakash, M.; Ellis, P.J.; Lattimer, J.M.; Knorren. Composition and Structure of Protoneutron Stars. Phys. Rep. 1997, 280, 1. [Google Scholar] [CrossRef]
- Tsushima, K.; Saito, K.; Thomas, A.W.; Wright, S.V. In-medium kaon and antikaon properties in the quark-meson coupling model. Phys. Lett. B 1998, 429, 239. [Google Scholar] [CrossRef]
- Fujii, H.; Maruyama, T.; Muto, T.; Tatsumi, T. Equation of state with kaon condensates and neutron stars. Nucl. Phys. A 1996, 597, 645. [Google Scholar] [CrossRef]
- Glendenning, N.K.; Schaffner-Bielich, J. First order kaon condensate. Phys. Rev. C 1999, 60, 025803. [Google Scholar] [CrossRef]
- Maxwell, O.V.; Brown, G.E.; Campbell, D.K.; Dashen, R.F.; Manassah, J.T. Beta decay of pion condensates as a cooling mechanism for neutron stars. Astrophys. J. 1977, 216, 77. [Google Scholar] [CrossRef]
- Brown, G.E.; Kubodera, K.; Page, D.; Pizzecherro, P. Strangeness condensation and cooling of neutron stars. Phys. Rev. D 1988, 37, 2042. [Google Scholar] [CrossRef] [PubMed]
- Fujii, H.; Muto, T.; Tatsumi, T.; Tamagaki, R. Effects of weak interaction on kaon condensation and cooling of neutron stars. Nucl. Phys. A 1994, 571, 758. [Google Scholar]
- Fujii, H.; Muto, T.; Tatsumi, T.; Tamagaki, R. Effects of symmetry energy on the direct URCA process in the kaon condensed phase. Phys. Rev. C 1994, 50, 3140. [Google Scholar] [CrossRef] [PubMed]
- Ellis, P.J.; Knorren, R.; Prakash, M. Kaon condensation in neutron star matter with hyperons. Phys. Lett. B 1995, 349, 11. [Google Scholar] [CrossRef]
- Knorren, R.; Prakash, M.; Ellis, P.J. Strangeness in hadronic stellar matter. Phys. Rev. C 1995, 52, 3470. [Google Scholar] [CrossRef]
- Schaffner, J.; Mishustin, I.N. Hyperon-rich matter in neutron stars. Phys. Rev. C 1996, 53, 1416. [Google Scholar] [CrossRef]
- Pal, S.; Bandyopadhyay, D.; Greiner, W. Antikaon condensation in neutron stars. Nucl. Phys. A 2000, 674, 553. [Google Scholar] [CrossRef]
- Muto, T. Interplay between kaon condensation and hyperons in highly dense matter. Phys. Rev. C 2008, 77, 015810. [Google Scholar] [CrossRef]
- Mishra, A.; Kumar, A.; Sanyal, S.; Dexheimer, V.; Schramm, S. Kaon properties in (proto-)neutron star matter. Eur. Phys. J. A 2010, 45, 169. [Google Scholar] [CrossRef][Green Version]
- Char, P.; Banik, S. Massive neutron stars with antikaon condensates in a density-dependent hadron field theory. Phys. Rev. C 2014, 90, 015801. [Google Scholar] [CrossRef]
- Malik, T.; Banik, S.; Bandyopadhyay, D. Equation-of-state Table with Hyperon and Antikaon for Supernova and Neutron Star Merger. Astrophys. J. 2021, 910, 96. [Google Scholar] [CrossRef]
- Ma, F.; Wu, C.; Guo, W. Kaon-meson condensation and Δ resonance in hyperonic stellar matter within a relativistic mean-field model. Phys. Rev. C 2023, 107, 045804. [Google Scholar] [CrossRef]
- Muto, T.; Maruyama, T.; Tatsumi, T. Effects of three-baryon forces on kaon condensation in hyperon-mixed matter. Phys. Lett. B 2021, 820, 136587. [Google Scholar] [CrossRef]
- Muto, T.; Maruyama, T.; Tatsumi, T. Kaon-baryon coupling schemes and kaon condensation in hyperon-mixed matter. Prog. Theor. Exp. Phys. 2022, 2022, 093D03. [Google Scholar] [CrossRef]
- Muto, T. Properties of kaon-condensed phase in hyperon-mixed matter with three-baryon forces. arXiv 2024, arXiv:2411.09967v1. [Google Scholar]
- Muto, T. Kaonic modes in hyperonic matter and p-wave kaon condensation. Nucl. Phys. A 2002, 697, 225. [Google Scholar] [CrossRef]
- Zyla, P.A.; Barnett, R.M.; Beringer, J.; Dahl, O.; Dwyer, D.A.; Groom, D.E.; Lin, C.-J.; Lugovsky, K.S.; Pianori, E.; Robinson, D.J. Review of Particle Physics. Prog. Theor. Exp. Phys. 2020, 2020, 083C01. [Google Scholar]
- Cohen, T.D.; Furnstahl, R.J.; Griegel, D.K. Quark and gluon condensates in nuclear matter. Phys. Rev. C 1992, 45, 1881. [Google Scholar] [CrossRef]
- Tamagaki, R. Universal short-range repulsion in the baryon system originating from the confinement: Approach in string-junction model. Prog. Theor. Phys. 2008, 119, 965. [Google Scholar] [CrossRef]
- Takatsuka, T.; Nishizaki, S.; Tamagaki, R. Universal three-body repulsion suggested by neutron stars. AIP Conf. Proc. 2008, 1011, 209. [Google Scholar]
- Nishizaki, S.; Takatsuka, T.; Hiura, J. Properties of hot asymmetric nuclear matter. Prog. Theor. Phys. 1994, 92, 93. [Google Scholar] [CrossRef]
- Lagaris, I.E.; Pandharipande, V.R. Variational calculations of realistic models of nuclear matter. Nucl. Phys. A 1981, 359, 349. [Google Scholar] [CrossRef]
- Oertel, M.; Hempel, M.; Kähn, T.; Typel, S. Equations of state for supernovae and compact stars. Rev. Mod. Phys. 2017, 89, 015007. [Google Scholar] [CrossRef]
- Schaffner, J.; Dover, C.B.; Gal, A.; Greiner, C.; Millener, D.J.; Stöcker, H. Multiply strange nuclear systems. Ann. Phys. 1994, 235, 35. [Google Scholar] [CrossRef]
- Ohki, H.; Fukaya, H.; Hashimoto, S.; Kaneko, T.; Matsufuru, H.; Noaki, J.; Onogi, T.; Shintani, E.; Yamada, N.; JLQCD Collaboration. Nucleon sigma term and strange quark content from lattice QCD with exact chiral symmetry. Phys. Rev. D 2008, 78, 054502. [Google Scholar] [CrossRef]
- Durr, S.; Fodor, Z.; Hoelbling, C.; Katz, S.D.; Krieg, S.; Lellouch, L.; Lippert, T.; Metivet, T.; Portelli, A.; Szabo , K.K. Lattice computation of the nucleon scalar quark contents at the physical point. Phys. Rev. Lett. 2016, 116, 172001. [Google Scholar] [CrossRef]
- Alexandrou, C.; Bacchio, S.; Constantinou, M.; Finkenrath, J.; Hadjiyiannakou, K.; Jansen, K.; Koutsou, G.; Vaquero Aviles-Casco, A. Nucleon axial, tensor, and scalar charges and σ-terms in lattice QCD. Phys. Rev. D 2020, 102, 054517. [Google Scholar] [CrossRef]
- Gasser, J.; Leutwyler, H.; Sainio, M.E. Sigma-term update. Phys. Lett. B 1991, 253, 260. [Google Scholar] [CrossRef]
- Alarcón, J.M. Brief history of the pion–nucleon sigma term. Eur. Phys. J. Spec. Top. 2021, 230, 1609. [Google Scholar] [CrossRef]
- Jaffe, R.L.; Korpa, C.L. The pattern of chiral symmetry breaking and the strange quark content of the proton. Comm. Nucl. Part. Phys. 1987, 17, 163. [Google Scholar]
- Hatsuda, T.; Kunihiro, T. Flavor mixing in the low energy hadron dynamics: Interplay of the SUf(3) breaking and the UA(1) anomaly. Z. Phys. C 1991, 51, 49. [Google Scholar] [CrossRef]
- Ramos, A.; Oset, E. The properties of K¯ in the nuclear medium. Nucl. Phys. A 2000, 671, 481. [Google Scholar] [CrossRef]
- Waas, T.; Rho, M.; Weise, W. Effective kaon mass in dense baryonic matter: Role of correlations. Nucl. Phys. A 1997, 617, 449. [Google Scholar] [CrossRef]
- Waas, T.; Weise, W. S-wave interactions of K¯ and η mesons in nuclear matter. Nucl. Phys. A 1997, 625, 287. [Google Scholar] [CrossRef]
- Ichikawa, Y.; Yamagata-Sekihara, J.; Ahn, J.K.; Akazawa, Y.; Aoki, K.; Botta, E.; Ekawa, H.; Evtoukhovitch, P.; Feliciello, A.; Fujita, M.; et al. An event excess observed in the deeply bound region of the 12C (K−, p) missing-mass spectrum. Prog. Theor. Exp. Phys. 2020, 2020, 123D01. [Google Scholar] [CrossRef]
- Shanahan, P.E.; Thomas, A.W.; Young, R.D. Sigma terms from an SU(3) chiral extrapolation. Phys. Rev. D 2013, 87, 074503. [Google Scholar] [CrossRef]
- Lutz, M.F.M.; Bavontaweepanya, R.; Kobadaj, C.; Schwarz, K. Finite volume effects in the chiral extrapolation of baryon masses. Phys. Rev. D 2014, 90, 054505. [Google Scholar] [CrossRef]
- Muto, T.; Tatsumi, T.; Iwamoto, N. Nonequilibrium weak processes in kaon condensation. I. Reaction rate for the thermal kaon process. Phys. Rev. D 2000, 61, 063001. [Google Scholar] [CrossRef]
- Muto, T.; Tatsumi, T.; Iwamoto, N. Nonequilibrium weak processes in kaon condensation. II. Kinetics of condensation. Phys. Rev. D 2000, 61, 083002. [Google Scholar] [CrossRef]
- Baym, G.; Pethick, C.; Sutherland, P. The ground state of matter at high densities: Equation of state and stellar models. Astrophys. J. 1971, 170, 299. [Google Scholar] [CrossRef]
- Demorest, P.B.; Pennucci, T.; Ransom, S.M.; Roberts, M.S.E.; Hessels, J.W.T. A two-solar-mass neutron star measured using Shapiro delay. Nature 2010, 467, 1081. [Google Scholar] [CrossRef]
- Fonseca, E.; Pennucci, T.T.; Ellis, J.A.; Stairs, I.H.; Nice, D.J.; Ransom, S.M.; Demorest, P.B.; Arzoumanian, Z.; Crowter, K.; Dolch, T.; et al. The nanograv nine-year data set: Mass and geometric measurements of binary millisecond pulsars. Astrophys. J. 2016, 832, 167. [Google Scholar] [CrossRef]
- Antoniadis, J.; Fereire, P.C.C.; Wex, N.; Tauris, T.M.; Lynch, R.S.; van Kerkwijk, M.H.; Kramer, M.; Bassa, C.; Dhillon, V.S.; Driebe, T.; et al. A massive pulsar in a compact relativistic binary. Science 2013, 340, 448. [Google Scholar] [CrossRef]
- Cromartie, H.T.; Fonseca, E.; Ransom, S.M.; Demorest, P.B.; Arzoumanian, Z.; Blumer, H.; Brook, P.R.; DeCesar, M.E.; Dolch, T.; Ellis, J.A.; et al. Relativistic Shapiro delay measurements of an extremely massive millisecond pulsar. Nat. Astron. 2020, 4, 72. [Google Scholar] [CrossRef]
- Fonseca, E.; Cromartie, H.T.; Pennucci, T.T.; Ray, P.S.; Kirichenko, A.Y.; Ransom, S.M.; Demorest, P.B.; Stairs, I.H.; Arzoumanian, Z.; Guillemot, L.; et al. Refined mass and geometric measurements of the high-mass PSR J0740+6620. Astrophys. J. L. 2021, 915, L12. [Google Scholar] [CrossRef]
- Miller, M.C.; Lamb, F.K.; Dittmann, A.J.; Bogdanov, S.; Arzoumanian, Z.; Gendreau, K.C.; Guillot, S.; Ho, W.C.G.; Lattimer, J.M.; Loewenstein, M.; et al. The radius of PSR J0740+6620 from NICER and XMM-Newton data. Astrophys. J. L. 2021, 918, L28. [Google Scholar] [CrossRef]
- Riley, T.E.; Watts, A.L.; Ray, P.S.; Bogdanov, S.; Guillot, S.; Morsink, S.M.; Bilous, A.V.; Arzoumanian, Z.; Choudhury, D.; Deneva, J.S.; et al. A NICER view of the massive pulsar PSR J0740+6620 informed by radio timing and XMM-Newton spectroscopy. Astrophys. J. L. 2021, 918, L27. [Google Scholar] [CrossRef]
- Riley, T.E.; Watts, A.L.; Bogdanov, S.; Ray, P.S.; Ludlam, R.M.; Guillot, S.; Arzoumanian, Z.; Baker, C.L.; Bilous, A.V.; Chakrabarty, D.; et al. A NICER view of PSR J0030+0451: Millisecond pulsar parameter estimation. Astrophys. J. L. 2019, 887, L21. [Google Scholar] [CrossRef]
- Miller, M.C.; Lamb, F.K.; Dittmann, A.J.; Bogdanov, S.; Arzoumanian, Z.; Gendreau, K.C.; Guillot, S.; Harding, A.K.; Ho, W.C.G.; Lattimer, J.M.; et al. PSR J0030+0451 mass and radius from NICER data and implications for the properties of neutron star matter. Astrophys. J. L. 2019, 887, L24. [Google Scholar] [CrossRef]
- Danielewicz, P.; Lacey, R.; Lynch, W.G. Determination of the equation of state of dense matter. Science 2002, 298, 1592. [Google Scholar] [CrossRef]
- Mannarelli, M. Meson Condensation. Particles 2019, 2019, 411–443. [Google Scholar] [CrossRef]
- Abuki, H.; Anglani, R.; Gatto, R.; Pellicoro, M.; Ruggieri, M. Fate of pion condensation in quark matter: From the chiral limit to the physical pion mass. Phys. Rev. D 2009, 79, 034032. [Google Scholar] [CrossRef]
- Khunjua, T.G.; Klimenko, K.G.; Zhokhov, R.N. Charged pion condensation in dense quark matter: Nambu–Jona-Lasinio model study. Symmetry 2019, 2019, 778. [Google Scholar] [CrossRef]
- Khunjua, T.G.; Klimenko, K.G.; Zhokhov, R.N. Electrical neutrality and β-equilibrium conditions in dense quark matter: Generation of charged pion condensation by chiral imbalance. Eur. Phys. J. C 2020, 80, 995. [Google Scholar] [CrossRef]
- Adhikari, P.; Andersen, J.O. Quark and pion condensates at finite isospin density in chiral perturbation theory. Eur. Phys. J. C 2020, 80, 1028. [Google Scholar] [CrossRef]
- Adhikari, P.; Andersen, J.O. Pion and kaon condensation at zero temperature in three-flavor χPPT at nonzero isospin and strange chemical potentials at next-to-leading order. JHEP 2020, 06, 170. [Google Scholar] [CrossRef]
- Schmitt, A.; Stetina, S.; Tachibana, M. Ginzburg-Landau phase diagram for dense matter with axial anomaly, strange quark mass, and meson condensation. Phys. Rev. D 2011, 83, 045008. [Google Scholar] [CrossRef]
- Masuda, K.; Hatsuda, T.; Takatsuka, T. Hadron-quark crossover and massive hybrid stars with strangeness. Astrophys. J. 2013, 764, 12. [Google Scholar] [CrossRef]
- Masuda, K.; Hatsuda, T.; Takatsuka, T. Hadron–quark crossover and hot neutron stars at birth. PTEP 2016, 2016, 021D01. [Google Scholar] [CrossRef]
- Baym, G.; Furusawa, S.; Hatsuda, T.; Kojo, T.; Togashi, H. New neutron star equation of state with quark–hadron crossover. Astrophys. J. 2019, 885, 42. [Google Scholar] [CrossRef]
- Kojo, T. Stiffening of matter in quark-hadron continuity. Phys. Rev. D 2021, 104, 074005. [Google Scholar] [CrossRef]
- Fujimoto, Y.; Fukushima, K.; McLerran, L.D.; Praszalowicz, M. Trace anomaly as signature of conformality in neutron stars. Phys. Rev. Lett. 2022, 129, 252702. [Google Scholar] [CrossRef] [PubMed]
- Tatsumi, T.; Nakano, E. Dual chiral density wave in quark matter. arXiv 2004, arXiv:hep-ph/0408294. [Google Scholar]
- Nakano, E.; Tatsumi, T. Chiral symmetry and density waves in quark matter. Phys. Rev. D 2005, 71, 114006. [Google Scholar] [CrossRef]
- Son, D.T.; Stephanov, M. Inverse meson mass ordering in the color-flavor-locking phase of high-density QCD. Phys. Rev. D 2000, 61, 07402. [Google Scholar] [CrossRef]
- Bedaque, P.; Schafer, T. High-density quark matter under stress. Nucl. Phys. A 2002, 697, 802. [Google Scholar] [CrossRef]
- Kaplan, D.B.; Reddy, S. Novel phases and transitions in color flavor locked matter. Phys. Rev. D 2002, 65, 054042. [Google Scholar] [CrossRef]




| (MeV · fm6) | (fm3) | (MeV) | (MeV) | ||||||||
|---|---|---|---|---|---|---|---|---|---|---|---|
| SJM2+TNA-L60 | −1662.63 | 17.18 | 5.27 | 8.16 | 3.29 | 39.06 | 16.37 | 0.78 | 3.29 | 2.00 | 1.82 |
| SJM2+TNA-L65 | −1597.67 | 18.25 | 5.71 | 9.07 | 3.35 | 42.16 | 18.18 | 0.74 | 3.54 | 2.34 | 1.93 |
| SJM2+TNA-L70 | −1585.48 | 19.82 | 6.07 | 9.77 | 3.41 | 44.62 | 19.59 | 0.71 | 3.74 | 2.61 | 2.02 |
| () | |||||||||
|---|---|---|---|---|---|---|---|---|---|
| (MeV) | (MeV) | (MeV) | (MeV) | (MeV) | |||||
| (−0.697, 1.37) | −3.09 | 47.4 | 0 | −3.43 | −2.23 | 300 | 368 | 379 | −111 |
| −3.37 | 51.3 | 0.20 | −2.51 | −2.74 | 400 | 468 | 479 | −131 |
| L | |||||
|---|---|---|---|---|---|
| (MeV) | (MeV) | (fm−3) | (fm−3) | (fm−3) | (fm−3) |
| 60 | 300 | 0.466 | − | 0.598 | 1.04 |
| 400 | 0.466 | − | 0.486 | 0.994 | |
| 65 | 300 | 0.425 | 0.568 | 0.653 | − |
| 400 | 0.425 | − | 0.503 | 0.900 | |
| 70 | 300 | 0.397 | 0.516 | 0.733 | − |
| 400 | 0.397 | (0.516) | 0.523 | 0.790 |
| L | |||||||
|---|---|---|---|---|---|---|---|
| (MeV) | (MeV) | (km) | (km) | (km) | |||
| 60 | 300 400 | 1.448 | 12.33 | 1.742 1.452 | 12.11 12.33 | 2.035 1.993 | 10.02 9.48 |
| 65 | 300 400 | 1.508 | 12.78 | 1.961 1.737 | 12.29 12.68 | 2.124 2.076 | 10.76 10.29 |
| 70 | 300 400 | 1.582 | 13.15 | 2.139 1.915 | 12.24 12.97 | 2.200 2.155 | 11.31 11.06 |
Disclaimer/Publisher’s Note: The statements, opinions and data contained in all publications are solely those of the individual author(s) and contributor(s) and not of MDPI and/or the editor(s). MDPI and/or the editor(s) disclaim responsibility for any injury to people or property resulting from any ideas, methods, instructions or products referred to in the content. |
© 2025 by the authors. Licensee MDPI, Basel, Switzerland. This article is an open access article distributed under the terms and conditions of the Creative Commons Attribution (CC BY) license (https://creativecommons.org/licenses/by/4.0/).
Share and Cite
Muto, T.; Maruyama, T.; Tatsumi, T. Chiral Symmetry in Dense Matter with Meson Condensation. Symmetry 2025, 17, 270. https://doi.org/10.3390/sym17020270
Muto T, Maruyama T, Tatsumi T. Chiral Symmetry in Dense Matter with Meson Condensation. Symmetry. 2025; 17(2):270. https://doi.org/10.3390/sym17020270
Chicago/Turabian StyleMuto, Takumi, Toshiki Maruyama, and Toshitaka Tatsumi. 2025. "Chiral Symmetry in Dense Matter with Meson Condensation" Symmetry 17, no. 2: 270. https://doi.org/10.3390/sym17020270
APA StyleMuto, T., Maruyama, T., & Tatsumi, T. (2025). Chiral Symmetry in Dense Matter with Meson Condensation. Symmetry, 17(2), 270. https://doi.org/10.3390/sym17020270
