Memory Effects in the Magnetohydrodynamic Axial Symmetric Flows of Oldroyd-B Fluids in a Porous Annular Channel
Abstract
1. Introduction
2. Statement of the Problem
3. Exact General Solutions
3.1. Fractional Model
3.2. Ordinary Model
4. Case Study When the Outer Cylinder Moves with a Constant Velocity V
4.1. Fractional Model
4.2. Ordinary Model
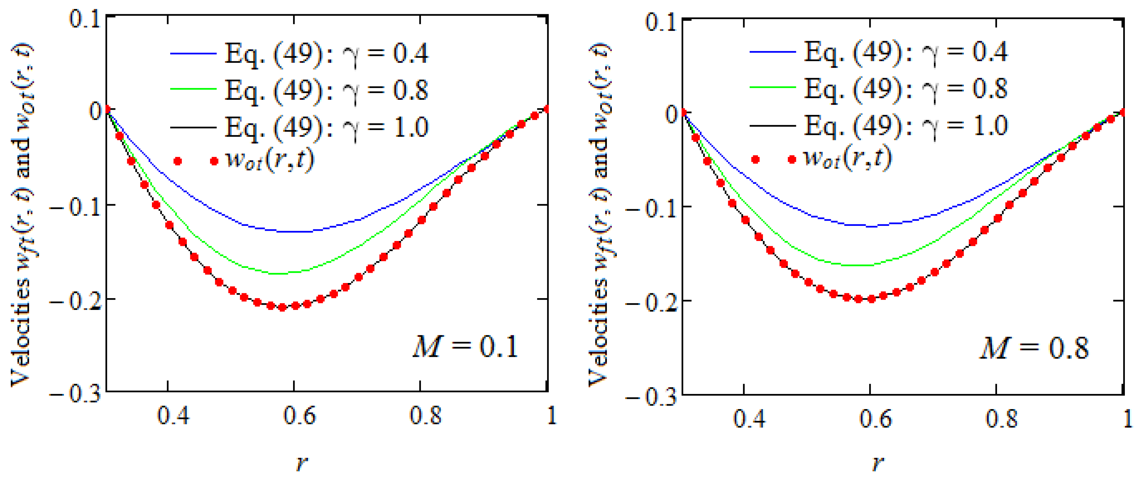
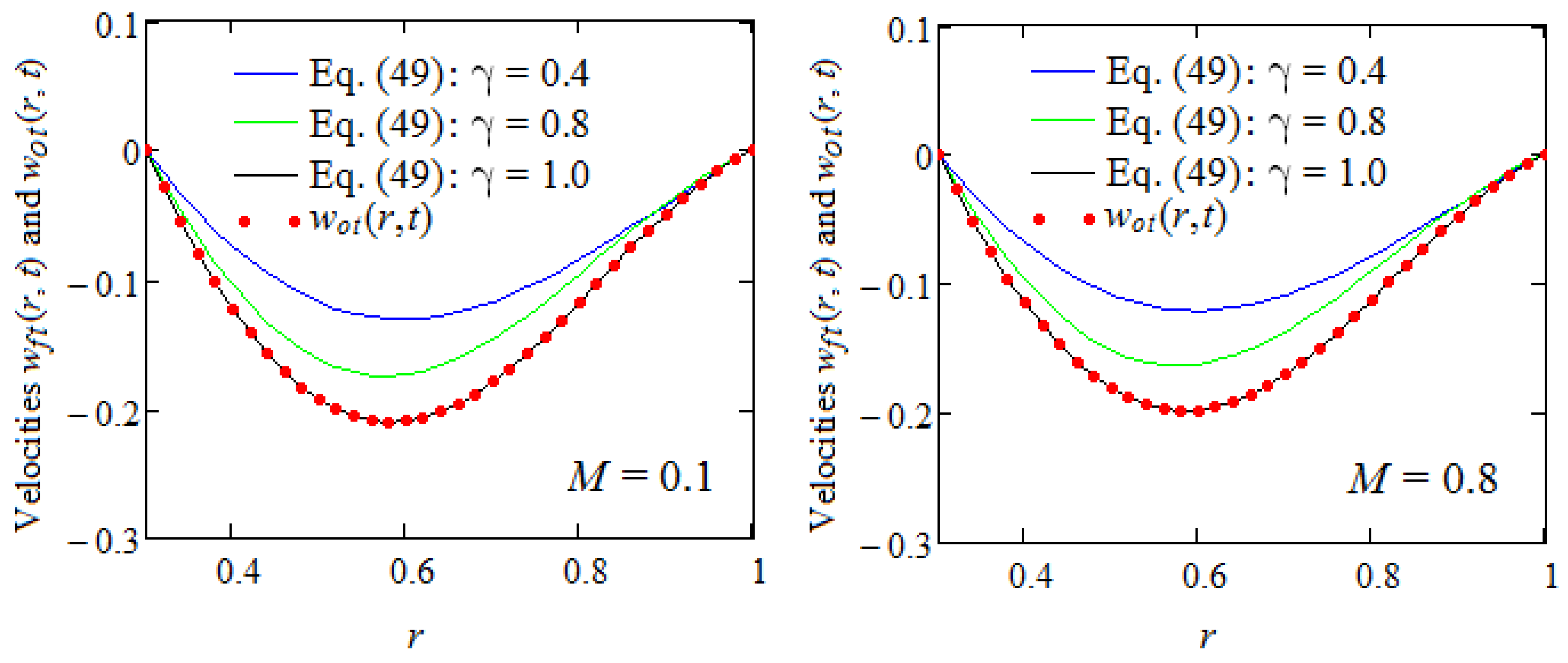
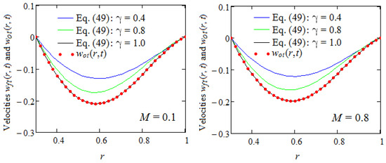
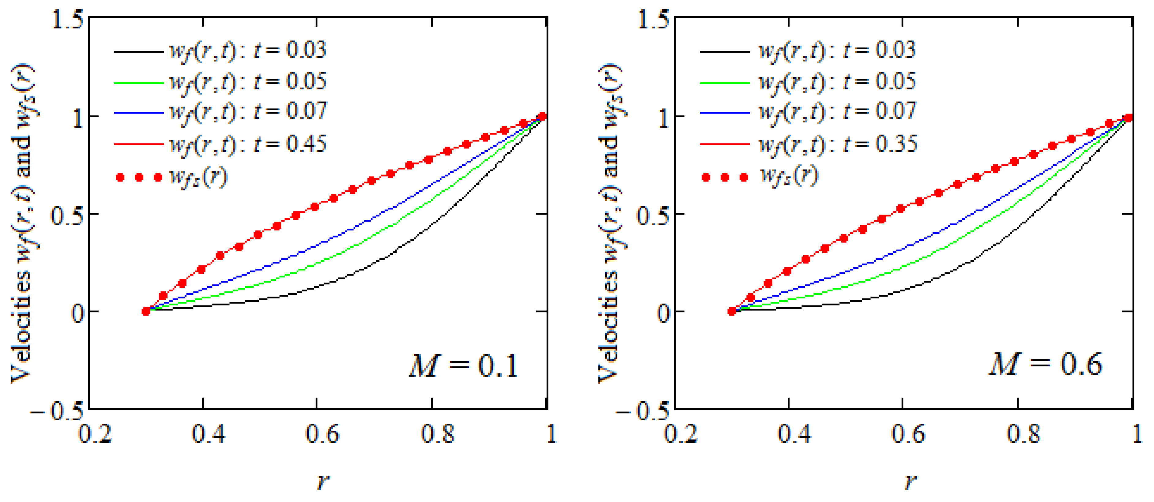
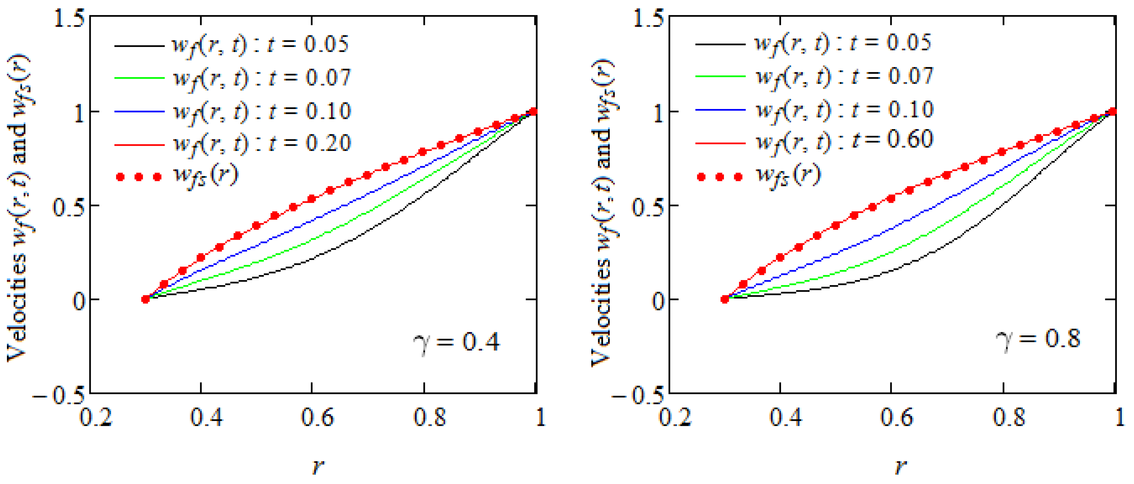
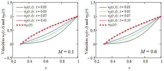
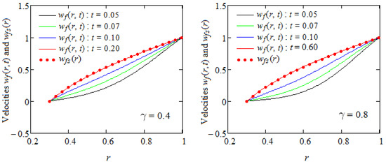
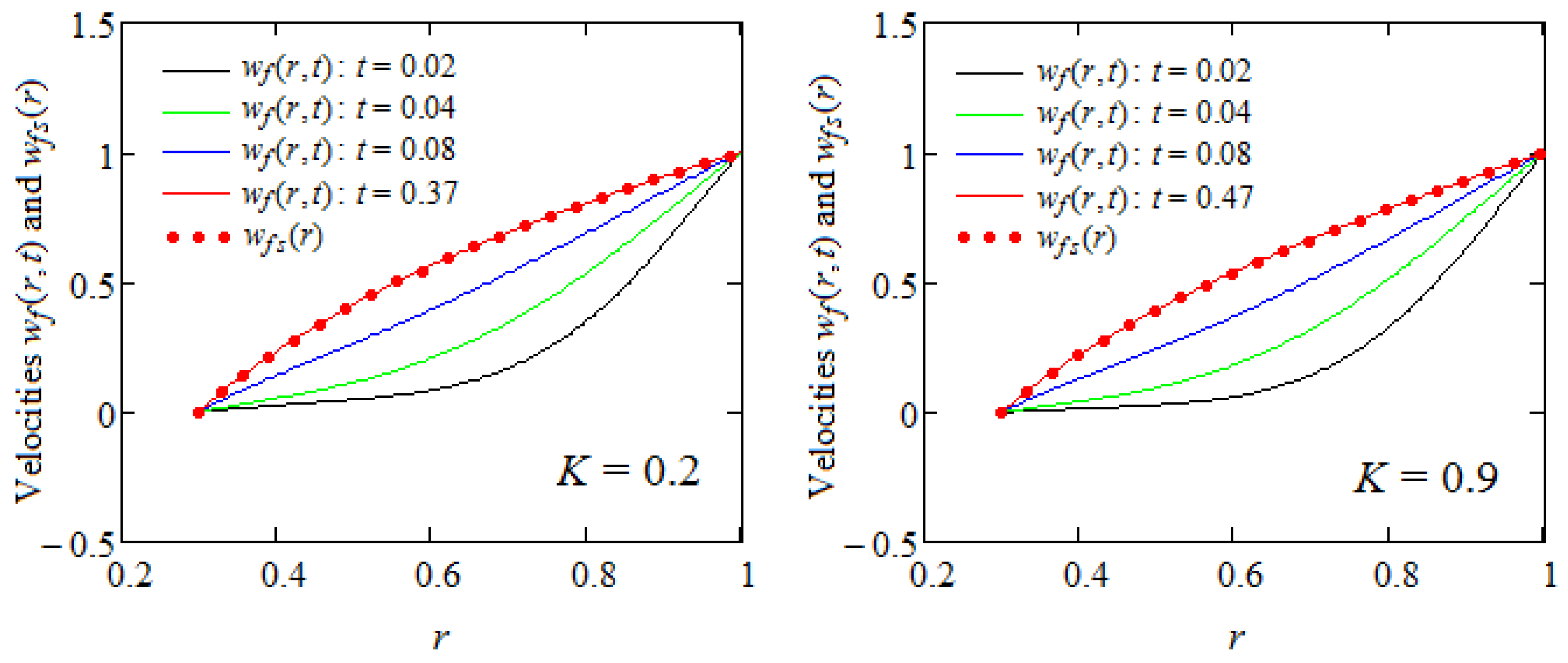
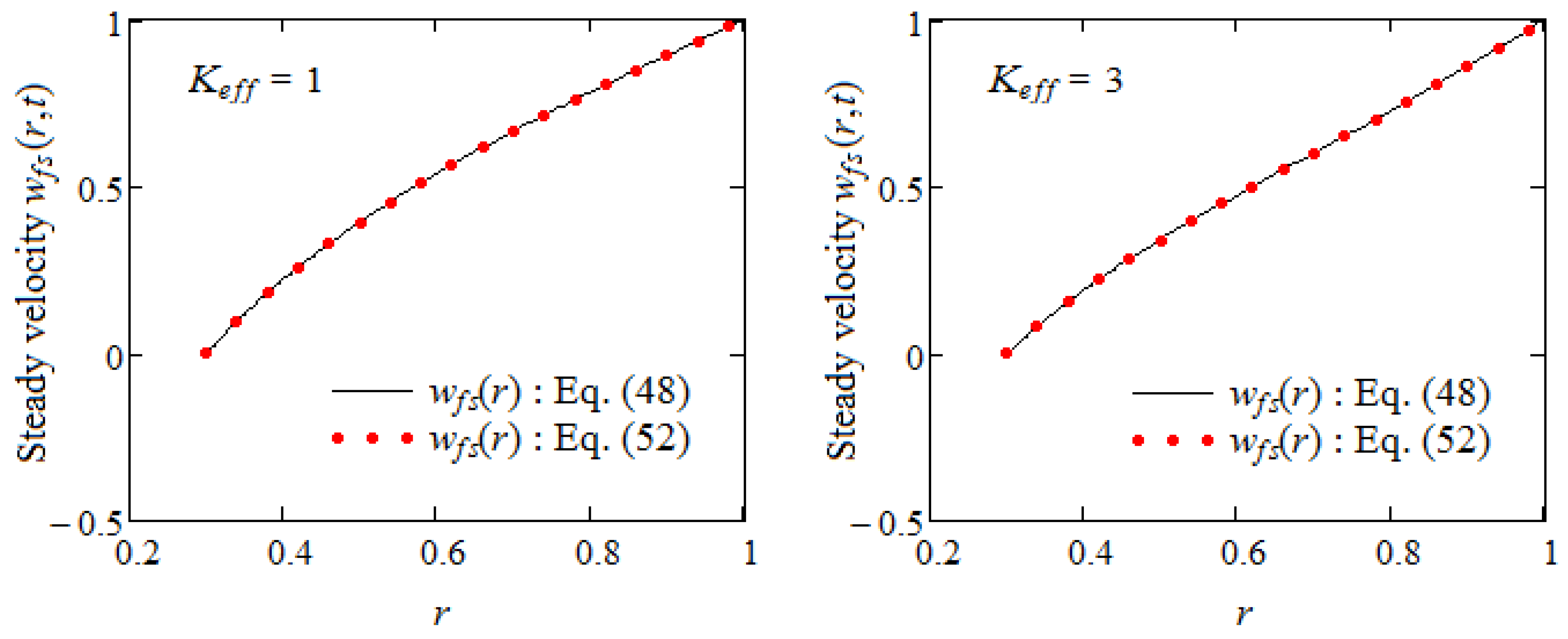
5. Graphical Representations and Discussion
5.1. Case Study in Which the Outer Cylinder Moves with a Constant Velocity V
5.2. Case Study in Which the Outer Cylinder Moves with an Exponential Velocity
- –
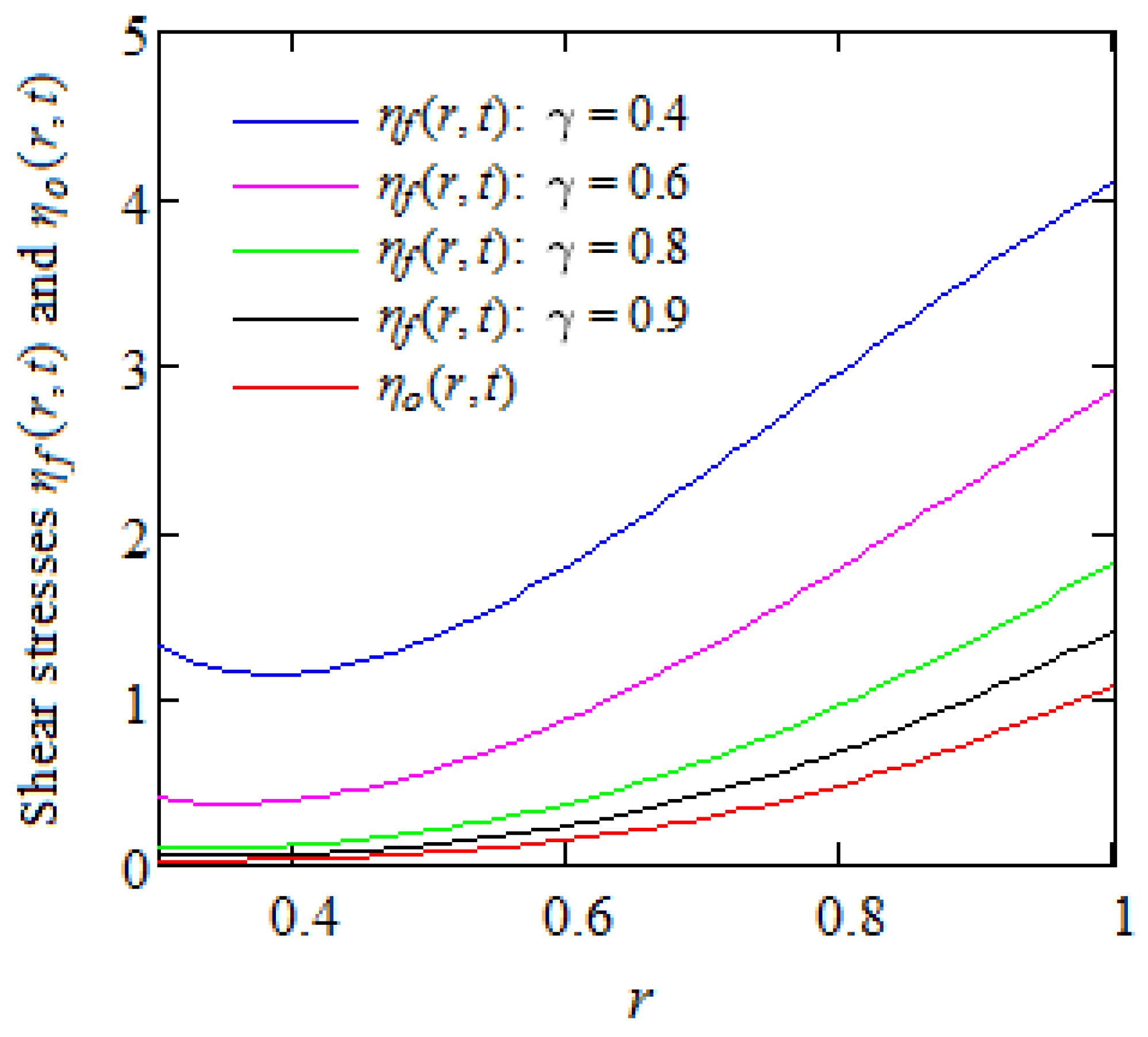
- At small values of time t, the kernel increases with the fractional parameter. It follows that for small values of the fractional parameter, a weaker damping of the velocity gradient is achieved, and the shear stress values are therefore higher (see Figure 8).
- –
- For large values of time t, the values of the two nuclei are almost identical; therefore, the difference between the fractional model and the ordinary model fades. It should be noted that there are significant differences between the two models only for small values of time t. Moreover, this property can also be seen in the graphs in Figure 9.
6. Conclusions
- (1)
- Exact general expressions were established for the dimensionless velocity fields of the isothermal MHD axial flows of ordinary and fractional ECIOBFs through porous annular channels.
- (2)
- (3)
- It was proved for the first time that the flow of fractional ECIOBFs, due to the outer cylinder moving along its symmetry axis with a constant velocity V, becomes steady over time.
- (4)
- The steady components and of the starting velocities and of ordinary and fractional ECIOBF flows are identical.
- (5)
- It was graphically proven that a steady state is reached earlier in fractional ECIOBFs compared with ordinary fluids.
- (6)
- This steady state is reached faster in the presence of a magnetic field and slower in the presence of a porous medium.
Author Contributions
Funding
Data Availability Statement
Acknowledgments
Conflicts of Interest
Nomenclature
| the first Rivlin–Ericksen tensor | |
| the identity tensor | |
| the Cauchy stress tensor | |
| the extra-stress tensor | |
| the hydrostatic pressure | |
| the axial velocity | |
| the radial coordinate | |
| the magnetic field intensity | |
| the permeability of the porous medium | |
| Caputo time fractional derivative | |
| Darcy’s resistance | |
| Hankel’s transform of the function | |
| standard Bessel functions | |
| the generalized Lorenzo–Hartley functions | |
| the dynamic viscosity | |
| the relaxation time | |
| the retardation times | |
| the shear stress | |
| the mass density | |
| the kinematic viscosity | |
| the electrical conductivity | |
| the porosity of the porous medium |
Appendix A
References
- Oldroyd, J.G. On the formulation of rheological equations of state. Proc. R. Soc. London Ser. A 1950, 200, 523–541. [Google Scholar] [CrossRef]
- Waters, N.D.; King, M.J. The unsteady flow of an elastico-viscous liquid in a straight pipe of circular cross section. J. Phys. D Appl. Phys. 1971, 4, 204–211. [Google Scholar] [CrossRef]
- Rajagopal, K.R.; Bhatnagar, R.K. Exact solutions for some simple flows of an Oldroyd-B fluid. Acta Mech. 1995, 113, 233–239. [Google Scholar] [CrossRef]
- Wood, W.P. Transient viscoelastic helical flow in pipes of circular and annular cross-section. J. Non-Newton. Fluid Mech. 2001, 100, 115–126. [Google Scholar] [CrossRef]
- Fetecau, C. Analytical solutions for non-Newtonian fluid flows in pipe-like domains. Int. J. Non-Linear Mech. 2004, 39, 225–231. [Google Scholar] [CrossRef]
- Fetecau, C.; Fetecau, C.; Vieru, D. On some helical flows of Oldroyd-B fluids. Acta Mech. 2007, 189, 53–63. [Google Scholar] [CrossRef]
- McGinty, S.; McKee, S.; McDermott, R. Analytic solutions of Newtonian and non-Newtonian pipe flows subject to a general time-dependent pressure gradient. J. Non-Newton. Fluid Mech. 2009, 162, 54–77. [Google Scholar] [CrossRef]
- Imran, M.; Tahir, M.; Imran, M.A.; Awan, A.U. Taylor-Couette flow of an Oldroyd-B fluid in an annulus subject to a time-dependent rotation. Am. J. Appl. Math. 2015, 3, 25–31. [Google Scholar] [CrossRef][Green Version]
- Ullah, S.; Tanveer, M.; Bajwa, S. Study of velocity and shear stress for unsteady flow of incompressible Oldroyd-B fluid between two concentric rotating circular cylinders. Hacet. J. Math. Stat. 2019, 48, 372–383. [Google Scholar] [CrossRef]
- Tong, D.; Wang, R.; Yang, H. Exact solutions for the flow of non-Newtonian fluid with fractional derivative in an annular pipe. Sci. Chin. Ser. G 2005, 48, 485–495. [Google Scholar] [CrossRef]
- Tong, D.; Zhang, X.; Zhang, X. Unsteady helical flows of a generalized Oldroyd-B fluid. J. Non-Newton. Fluid Mech. 2009, 156, 75–83. [Google Scholar] [CrossRef]
- Qi, H.; Jin, H. Unsteady helical flow of a generalized Oldroyd-B fluid with fractional derivative. Nonlinear Anal. Real World Appl. 2009, 10, 2700–2708. [Google Scholar] [CrossRef]
- Kamran, M.; Imran, M.; Athar, M.; Imran, M.A. On the unsteady rotational flow of fractional Oldroyd-B fluid in cylindrical domains. Meccanica 2012, 47, 573–584. [Google Scholar] [CrossRef]
- Mathur, V.; Khandelwal, K. Exact solution for the flow of Oldroyd-B fluid between coaxial cylinders. Int. J. Eng. Res. Technol. (IJERT) 2014, 3, 949–954. [Google Scholar]
- Riaz, M.B.; Imran, M.A.; Shabbir, K. Analytic solutions of Oldroyd-B fluid with fractional derivatives in a circular duct that applies a constant couple. Alex. Eng. J. 2016, 55, 3267–3275. [Google Scholar] [CrossRef]
- Ullah, S.; Khan, N.A.; Liagat, K. Some exact solutions for the rotational flow of Oldroyd-B fluid between two circular cylinders. Adv. Mech. Eng. 2017, 9, 1–15. [Google Scholar] [CrossRef]
- Sadiq, N.; Imran, M.; Safdar, R.; Tahir, M.; Javaid, M.; Younas, M. Exact solution for some rotational motions of fractional Oldroyd-B fluids between circular cylinders. Punjab Univ. J. Math. 2018, 50, 39–59. [Google Scholar]
- Tahir, M.; Naeem, M.N.; Javaid, M.; Younas, M.; Imran, M.; Sadiq, N.; Safdar, R. Unsteady flow of fractional Oldroyd-B fluids though rotating annulus. Open Phys. 2018, 16, 93–200. [Google Scholar] [CrossRef]
- Song, D.Y.; Jiang, T.Q. Study on the constitutive equation with fractional derivative for the viscoelastic fluids-Modified Jeffreys model and its application. Rheol. Acta 1998, 27, 512–517. [Google Scholar] [CrossRef]
- Makris, N. Theoretical and Experimental Investigation of Viscous Dampers in Applications of Seismic and Vibration Isolation. Ph.D. Thesis, State University of New York at Buffalo, Buffalo, NY, USA, 1991. [Google Scholar]
- Bagley, R.L.; Torvik, P.J. A theoretical basis for the applications of fractional calculus to viscoelasticity. J. Rheol. 1983, 27, 201–210. [Google Scholar] [CrossRef]
- Friedrich, C. Relaxation and retardation functions of a Maxwell model with fractional derivatives. Rheol. Acta. 1991, 30, 151–158. [Google Scholar] [CrossRef]
- Heibig, A.; Palade, L.I. On the rest state stability of an objective fractional derivative viscoelastic fluid model. J. Math. Phys. 2008, 49, 043101–043122. [Google Scholar] [CrossRef]
- Mainardi, F. An historical perspective of fractional calculus in linear viscoelasticity. Fract. Calc. Appl. Anal. 2012, 15, 712–717. [Google Scholar] [CrossRef]
- Hristov, J. Constitutive Fractional Modeling. In Mathematical Modelling: Theory and Applications, Contemporary Mathematics; Hemen, D., Ed.; American Mathematical Society: Providence, RI, USA, 2023; Volume 786, pp. 37–140. [Google Scholar] [CrossRef]
- Tan, W.C.; Masuoka, T. Stokes’ first problem for an Oldroyd-B fluid in a porous half space. Phys. Fluids 2005, 17, 023101. [Google Scholar] [CrossRef]
- Hussain, M.; Hayat, T.; Fetecau, C.; Asghar, S. On accelerated flows of an Oldroyd-B fluid in a porous medium. Nonlinear Anal. Real World Appl. 2008, 9, 1394–1408. [Google Scholar] [CrossRef]
- Khan, I.; Imran, M.; Fakhari, K. New exact solutions for an Oldroyd-B fluid in a porous medium. Int. J. Math. Math. Sci. 2011, 2011, 408132. [Google Scholar] [CrossRef]
- Hayat, T.; Shehzad, S.A.; Mustafa, M.; Hendi, A. MHD flow of an Oldroyd-B fluid through a porous channel. Int. J. Chem. React. Eng. 2012, 10, A8. [Google Scholar] [CrossRef]
- Khan, M.; Ijaz, A. Starting solutions for an MHD Oldroyd-B fluid through porous space. J. Porous Media. 2014, 17, 797–809. [Google Scholar] [CrossRef]
- Riaz, M.B.; Awrejcewicz, J.; Rehman, A.U. Functional effects of permeability on Oldroyd-B fluid under magnetization: A comparison of slipping and non-slipping solutions. Appl. Sci. 2021, 11, 11477. [Google Scholar] [CrossRef]
- Hayat, T.; Hutter, K.; Asghar, S.; Siddiqui, A.M. MHD flows of an Oldroyd-B fluid. Math. Comput. Model. 2002, 36, 987–995. [Google Scholar] [CrossRef]
- Hayat, T.; Hussain, M.; Khan, M. Hall effect on flows of an Oldroyd-B fluid through porous medium for cylindrical geometries. Comput. Math. Appl. 2006, 52, 269–282. [Google Scholar] [CrossRef]
- Hamza, S.E.E. MHD flow of an Oldroyd-B fluid through porous medium in a circular channel under the effect of time dependent pressure gradient. Am. J. Fluid Dyn. 2017, 7, 1–11. [Google Scholar] [CrossRef]
- Fetecau, C.; Mirza, I.A.; Vieru, D. Hydrodynamic permeability in axisymmetric flows of viscous fluids through an annular domains with porous layer. Symmetry 2023, 15, 585. [Google Scholar] [CrossRef]
- Cao, W.; Kaleem, M.M.; Usman, M.; Asjad, M.I.; Almusawa, M.Y.; Eldin, S.M. A study of fractional Oldroyd-B fluid between two coaxial cylinders containing gold nanoparticles. Case Stud. Therm. Eng. 2023, 45, 102949. [Google Scholar] [CrossRef]
- Fetecau, C.; Vieru, D. Investigating Magnetohydrodynamic Motions of Oldroyd-B Fluids through a Circular Cylinder Filled with Porous Medium. Processes 2024, 12, 1354. [Google Scholar] [CrossRef]
- Ghazi, G.; Waleed, A. Impacts of porous medium on unsteady helical flows of generalized Oldroyd-B fluid with two infinite coaxial circular cylinders. Iraqi J. Sci. 2021, 62, 1686–1694. [Google Scholar] [CrossRef]
- Sneddon, I.N. Fourier Transforms; Mcgraw-Hill Book Company, Inc.: New York, NY, USA; Toronto, ON, Canada; London, UK, 1951. [Google Scholar]










Disclaimer/Publisher’s Note: The statements, opinions and data contained in all publications are solely those of the individual author(s) and contributor(s) and not of MDPI and/or the editor(s). MDPI and/or the editor(s) disclaim responsibility for any injury to people or property resulting from any ideas, methods, instructions or products referred to in the content. |
© 2024 by the authors. Licensee MDPI, Basel, Switzerland. This article is an open access article distributed under the terms and conditions of the Creative Commons Attribution (CC BY) license (https://creativecommons.org/licenses/by/4.0/).
Share and Cite
Fetecau, C.; Vieru, D.; Eva, L.; Forna, N.C. Memory Effects in the Magnetohydrodynamic Axial Symmetric Flows of Oldroyd-B Fluids in a Porous Annular Channel. Symmetry 2024, 16, 1108. https://doi.org/10.3390/sym16091108
Fetecau C, Vieru D, Eva L, Forna NC. Memory Effects in the Magnetohydrodynamic Axial Symmetric Flows of Oldroyd-B Fluids in a Porous Annular Channel. Symmetry. 2024; 16(9):1108. https://doi.org/10.3390/sym16091108
Chicago/Turabian StyleFetecau, Constantin, Dumitru Vieru, Lucian Eva, and Norina Consuela Forna. 2024. "Memory Effects in the Magnetohydrodynamic Axial Symmetric Flows of Oldroyd-B Fluids in a Porous Annular Channel" Symmetry 16, no. 9: 1108. https://doi.org/10.3390/sym16091108
APA StyleFetecau, C., Vieru, D., Eva, L., & Forna, N. C. (2024). Memory Effects in the Magnetohydrodynamic Axial Symmetric Flows of Oldroyd-B Fluids in a Porous Annular Channel. Symmetry, 16(9), 1108. https://doi.org/10.3390/sym16091108

