A Fast Method for the Off-Boundary Evaluation of Laplace Layer Potentials by Convolution Sums
Abstract
1. Introduction
2. Fast Methods for the Evaluation of Layer Potentials
2.1. An Approximation of by Convolution Sums
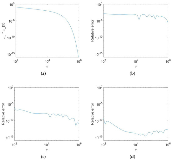
2.2. The Smoothing Error
2.3. A Method for Computing Using FFT Convolution
| Algorithm 1 1An algorithm for computing using n-point FFT convolution. |
Input: , a function f on , and , defined on . Output: Approximate values of on . Step 1: Compute the periodic convolution of using the n-point FFT method, denoted as for . Step 2: Compute the integral using the n-point periodic trapezoidal rule. Step 3: Compute the approximate values of on by . |
2.4. An Improved Method for Computing
| Algorithm 2 An algorithm using the n-point FFT convolution and the m-point Gauss quadrature. |
Input: , a function f on , and defined on . Output: Approximate values of on . Step 1: Compute the periodic convolution of using the n-point FFT method, denoted as , for . Step 2: Compute by the Gauss quadrature for , with for and for . Step 3: Compute the integral using the n-point periodic trapezoidal rule. Step 4: Compute the approximate values of on by . |
3. Numerical Experiments
3.1. Double-Layer Potential Evaluation
3.2. Integral Equation Solvers
4. Conclusions
Author Contributions
Funding
Data Availability Statement
Acknowledgments
Conflicts of Interest
Appendix A. Approximation by Exponential Sums
Appendix A.1. Logarithmic Function
Appendix A.2. Function 1/x
Appendix A.3. Error Estimates
Appendix B. The Proofs of the Smoothing Error Estimate Theorems
References
- Kress, R. Linear Integral Equations, 3rd ed.; Springer: New York, NY, USA, 2014. [Google Scholar]
- Atkinson, K.E. The Numerical Solution of Integral Equations of the Second Kind, 1st ed.; Cambridge University Press: Cambridge, UK, 1997. [Google Scholar]
- Kress, R.; Colton, D. Inverse Acoustic and Electromagnetic Scattering Theory, 4th ed.; Springer: Cham, Switzerland, 2019. [Google Scholar]
- Jiang, Y.; Wang, B.; Xu, Y. A fast Fourier Galerkin method solving a boundary integral equation for the biharmonic equation. SIAM J. Numer. Anal. 2014, 52, 2530–2554. [Google Scholar] [CrossRef]
- Yang, K.; Feng, W.; Gao, X. A new approach for computing hyper-singular interface stresses in IIBEM for solving multi-medium elasticity problems. Comput. Methods Appl. Mech. Eng. 2015, 287, 54–68. [Google Scholar] [CrossRef]
- Wei, X.; Jiang, S.; Klöckner, A.; Wang, X. An integral equation method for the Cahn-Hilliard equation in the wetting problem. J. Comput. Phys. 2020, 419, 109521. [Google Scholar] [CrossRef]
- Zhang, J.; Wei, S.; Yue, P.; Kulik, A.S.; Li, G. Surface pressure calculation method of multi-field coupling mechanism under the action of flow field. Symmetry 2023, 15, 1064. [Google Scholar] [CrossRef]
- af Klinteberg, L.; Askham, T.; Kropinski, M.C. A fast integral equation method for the two dimensional Navier-Stokes equations. J. Comput. Phys. 2020, 409, 109353. [Google Scholar] [CrossRef]
- Klöckner, A.; Barnett, A.H.; Greengard, L.; O’Neil, M. Quadrature by expansion: A new method for the evaluation of layer potentials. J. Comput. Phys. 2013, 252, 332–349. [Google Scholar] [CrossRef]
- Barnett, A.H. Evaluation of layer potentials close to the boundary for Laplace and Helmholtz problems on analytic planar domains. SIAM J. Sci. Comput. 2014, 36, 427–451. [Google Scholar] [CrossRef]
- af Klinteberg, L.; Tornberg, A.K. Adaptive quadrature by expansion for layer potential evaluation in two dimensions. SIAM J. Sci. Comput. 2018, 40, A1225–A1249. [Google Scholar] [CrossRef]
- Ding, L.; Huang, J.; Marzuola, J.L.; Tang, Z. Quadrature by two expansions: Evaluating Laplace layer potentials using complex polynomial and plane wave expansions. J. Comput. Phys. 2021, 428, 109963. [Google Scholar] [CrossRef]
- Carvalho, C.; Khatri, S.; Kim, A.D. Asymptotic analysis for close evaluation of layer potentials. J. Comput. Phys. 2018, 355, 327–341. [Google Scholar] [CrossRef]
- Carvalho, C.; Khatri, S.; Kim, A.D. Asymptotic approximation for the close evaluavtion of double-layer potentials. SIAM J. Sci. Comput. 2020, 42, A504–A533. [Google Scholar] [CrossRef]
- Khatri, S.; Kim, A.D.; Cortez, R.; Carvalho, C. Close evaluation of layer potentials in three dimensions. J. Comput. Phys. 2020, 423, 109798. [Google Scholar] [CrossRef]
- Helsing, J.; Ojala, R. On the evaluation of layer potentials close to their sources. J. Comput. Phys. 2008, 227, 2899–2921. [Google Scholar] [CrossRef]
- Barnett, A.H.; Wu, B.; Veerapaneni, S. Spectrally-accurate quadratures for evaluation of layer potentials close to the boundary for the 2d Stokes and Laplace equations. SIAM J. Sci. Comput. 2015, 37, B519–B542. [Google Scholar] [CrossRef]
- af Klinteberg, L.; Barnett, A.H. Accurate quadrature of nearly singular line integrals in two and three dimensions by singularity swapping. BIT Numer. Math. 2021, 61, 83–118. [Google Scholar] [CrossRef]
- Bao, G.; Hua, W.; Lai, J.; Zhang, J. Singularity swapping method for nearly singular integrals based on trapezoidal rule. SIAM J. Numer. Anal. 2024, 62, 974–997. [Google Scholar] [CrossRef]
- Beale, J.T.; Lai, M. A method for computing nearly singular integrals. SIAM J. Numer. Anal. 2001, 38, 1902–1925. [Google Scholar] [CrossRef][Green Version]
- Tlupova, S.; Beale, J.T. Regularized single and double layer integrals in 3D Stokes flow. J. Comput. Phys. 2019, 386, 568–584. [Google Scholar] [CrossRef]
- Zhu, H.; Veerapaneni, S. High-order close evaluation of Laplace layer potentials: A differential geometric approach. J. Comput. Phys. 2022, 44, A1381–A1404. [Google Scholar] [CrossRef]
- Hale, N.; Trefethen, L.N. New quadrature formulas from conformal maps. SIAM J. Numer. Anal. 2008, 46, 930–948. [Google Scholar] [CrossRef]
- Hale, N.; Tee, T.W. Conformal maps to multiply slit domains and applications. SIAM J. Sci. Comput. 2009, 31, 3195–3215. [Google Scholar] [CrossRef]
- Rachh, M.; Klöckner, A.; O’Neil, M. Fast algorithms for Quadrature by Expansion I: Globally valid expansions. J. Comput. Phys. 2017, 345, 706–731. [Google Scholar] [CrossRef]
- Wala, M.; Klöckner, A. A fast algorithm for Quadrature by Expansion in three dimensions. J. Comput. Phys. 2019, 388, 655–689. [Google Scholar] [CrossRef]
- Hackbusch, W.; Khoromskij, B.N. Low-rank Kronecker-product approximation to multi-dimensional nonlocal operators. Part I. Separable approximation of multi-variate functions. Computing 2006, 76, 177–202. [Google Scholar] [CrossRef]
- Tornberg, A.K.; Greengard, L. A fast multipole method for the three-dimensional Stokes equations. J. Comput. Phys. 2008, 227, 1613–1619. [Google Scholar] [CrossRef]
- Trefethen, L.N.; Weideman, J.A.C. The exponentially convergent trapezoidal rule. SIAM Rev. 2014, 56, 385–458. [Google Scholar] [CrossRef]
- Stenger, F. Numerical Methods Based on Sinc and Analytic Functions, 1st ed.; Springer: New York, NY, USA, 1993. [Google Scholar]







| Error | Time (s) | |||||
|---|---|---|---|---|---|---|
| PTR | Algorithm 1 | Algorithm 2 | PTR | Algorithm 1 | Algorithm 2 | |
| Error | |||
|---|---|---|---|
| dist | PTR | Algorithm 1 | Algorithm 2 |
Disclaimer/Publisher’s Note: The statements, opinions and data contained in all publications are solely those of the individual author(s) and contributor(s) and not of MDPI and/or the editor(s). MDPI and/or the editor(s) disclaim responsibility for any injury to people or property resulting from any ideas, methods, instructions or products referred to in the content. |
© 2024 by the authors. Licensee MDPI, Basel, Switzerland. This article is an open access article distributed under the terms and conditions of the Creative Commons Attribution (CC BY) license (https://creativecommons.org/licenses/by/4.0/).
Share and Cite
Guan, W.; Wang, Z.; Xue, L.; Hou, Y. A Fast Method for the Off-Boundary Evaluation of Laplace Layer Potentials by Convolution Sums. Symmetry 2024, 16, 764. https://doi.org/10.3390/sym16060764
Guan W, Wang Z, Xue L, Hou Y. A Fast Method for the Off-Boundary Evaluation of Laplace Layer Potentials by Convolution Sums. Symmetry. 2024; 16(6):764. https://doi.org/10.3390/sym16060764
Chicago/Turabian StyleGuan, Wenchao, Zhicheng Wang, Leqi Xue, and Yueen Hou. 2024. "A Fast Method for the Off-Boundary Evaluation of Laplace Layer Potentials by Convolution Sums" Symmetry 16, no. 6: 764. https://doi.org/10.3390/sym16060764
APA StyleGuan, W., Wang, Z., Xue, L., & Hou, Y. (2024). A Fast Method for the Off-Boundary Evaluation of Laplace Layer Potentials by Convolution Sums. Symmetry, 16(6), 764. https://doi.org/10.3390/sym16060764

