A Symmetry of Boundary Functions Method for Solving the Backward Time-Fractional Diffusion Problems
Abstract
1. Introduction
2. A Method of Symmetry of Boundary Functions
- (a)
 - For any two , (closure property).
 - (b)
 - for any (associativity).
 - (c)
 - There is a unique zero element , such that (zero element).
 - (d)
 - For every there is a unique element , such that (inverse element).
 
3. The Recovery of Source Term
4. Testing Inverse Source Problems
5. Backward Time-Fractional Diffusion Problems
5.1. First Method
5.2. Second Method
5.3. Third Method
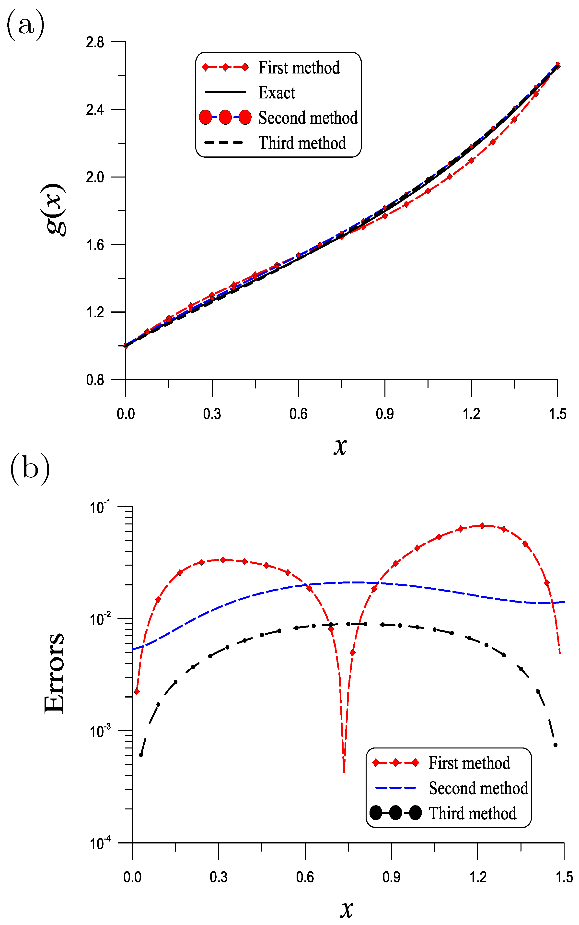
6. Testing Backward Time-Fractional Diffusion Problems
7. Conclusions
- Introduced the group symmetry boundary functions methods for solving the inverse source and backward problems of time-fractional diffusion equations.
 - Owing to good properties of the boundary functions, we can solve the inverse problems with a few bases such that without using the regularization technique to obtain good results.
 - We developed three novel group symmetry methods to solve the backward time-fractional diffusion problems to achieve an accurate recovery of the initial temperature, which spent a little CPU time and were robust against large noise.
 
Author Contributions
Funding
Data Availability Statement
Conflicts of Interest
References
- Gu, Y.T.; Zhuang, P.; Liu, F. An advanced implicit meshless approach for the non-linear anomalous subdiffusion equation. Comput. Model. Eng. Sci. 2010, 56, 303–333. [Google Scholar]
 - Gorenflo, R.; Mainardi, F. Random walk models for space fractional diffusion processes. Fract. Calc. Appl. Anal. 1998, 1, 167–191. [Google Scholar]
 - Metzler, R.; Klafter, J. The restaurant at the end of the random walk: Recent developments in the description of anomalous transport by fractional dynamics. J. Phys. A Math. Gen. 2004, 37, 161–208. [Google Scholar] [CrossRef]
 - Ye, H.; Ding, Y. Dynamical analysis of a fractional-order HIV model. Comput. Model. Eng. Sci. 2009, 49, 255–268. [Google Scholar]
 - Kou, C.; Yan, Y.; Liu, J. Stability analysis for fractional differential equations and their applications in the models of HIV-1 infection. Comput. Model. Eng. Sci. 2009, 39, 301–318. [Google Scholar]
 - Sivaprasad, R.; Venkatesha, S.; Manohar, C.S. Identification of dynamical systems with fractional derivative damping models using inverse sensitivity analysis. Comput. Mater. Contin. 2009, 9, 179–208. [Google Scholar]
 - Caputo, M. Linear models of dissipation whose Q is almost frequency independent, II. Geophys. J. R. Astron. Soc. 1967, 13, 529–539. [Google Scholar] [CrossRef]
 - Caputo, M.; Mainardi, F. A new dissipation model based on memory mechanism. Pure Appl. Geophys. 1971, 91, 134–147. [Google Scholar] [CrossRef]
 - Liu, C.S. The fictitious time integration method to solve the space- and time-fractional Burgers equations. Comput. Mater. Contin. 2010, 15, 221–240. [Google Scholar]
 - Kirane, M.; Malik, A.S. Determination of an unknown source term and the temperature distribution for the linear heat equation involving fractional derivative in time. Appl. Math. Comput. 2011, 218, 163–170. [Google Scholar] [CrossRef][Green Version]
 - Jin, B.; Rundell, W. An inverse problem for a one-dimensional time-fractional diffusion problem. Inv. Prob. 2012, 28, 075010. [Google Scholar] [CrossRef]
 - Wang, J.G.; Zhou, Y.B.; Wei, T. Two regularization methods to identify a space-dependent source for the time-fractional diffusion equation. Appl. Numer. Math. 2013, 68, 39–57. [Google Scholar] [CrossRef]
 - Zhang, Z.Q.; Wei, T. Identifying an unknown source in time-fractional diffusion equation by a truncation method. Appl. Math. Comput. 2013, 219, 5972–5983. [Google Scholar] [CrossRef]
 - Wei, T.; Wang, J. A modified quasi-boundary value method for an inverse source problem of the time-fractional diffusion equation. Appl. Numer. Math. 2014, 78, 95–111. [Google Scholar] [CrossRef]
 - Tuan, N.H.; Long, L.D.; Nguyen, V.T. Regularized solution of an inverse source problem for a time fractional diffusion equation. Appl. Math. Model. 2016, 40, 8244–8264. [Google Scholar]
 - Tuan, N.H.; Nane, E. Inverse source problem for time-fractional diffusion with discrete random noise. Stat. Prob. Lett. 2017, 120, 126–134. [Google Scholar] [CrossRef]
 - Ruan, Z.; Wang, Z. Identification of a time-dependent source term for a time fractional diffusion problem. Appl. Anal. 2017, 96, 1638–1655. [Google Scholar] [CrossRef]
 - Sun, H.G.; Chang, A.; Zhang, Y.; Chen, W. A review on variable-order fractional differential equations: Mathematical foundations, physical models, numerical methods and applications. Frac. Calc. Appl. Anal. 2019, 22, 27–59. [Google Scholar] [CrossRef]
 - Li, H.; Wu, Y. Artificial boundary conditions for nonlinear time fractional Burgers’ equation on unbounded domains. Appl. Math. Lett. 2021, 120, 107277. [Google Scholar] [CrossRef]
 - Chen, L.; Lü, S.; Xu, T. Fourier spectral approximation for time fractional Burgers equation with nonsmooth solutions. Appl. Numer. Math. 2021, 169, 164–178. [Google Scholar] [CrossRef]
 - Li, C.; Li, D.; Wang, Z. L1/LDG method for the generalized time-fractional Burgers equation. Math. Comput. Simul. 2021, 187, 357–378. [Google Scholar] [CrossRef]
 - Ali, I.; Haq, S.; Aldosary, S.F.; Nisar, K.S.; Ahmad, F. Numerical solution of one- and two-dimensional time-fractional Burgers equation via Lucas polynomials coupled with Finite difference method. Alex. Eng. J. 2022, 61, 6077–6087. [Google Scholar] [CrossRef]
 - Zhang, Q.; Sun, C.; Fang, Z.-W.; Sun, H.-W. Pointwise error estimate and stability analysis of fourth-order compact difference scheme for time-fractional Burgers’ equation. Appl. Math. Comput. 2022, 418, 126824. [Google Scholar] [CrossRef]
 - Qiao, L.; Tang, B. An accurate, robust, and efficient finite difference scheme with graded meshes for the time-fractional Burgers’ equation. Appl. Math. Lett. 2022, 128, 107908. [Google Scholar] [CrossRef]
 - Shen, J.-Y.; Ren, J.; Chen, S. A second-order energy stable and nonuniform time-stepping scheme for time fractional Burgers’ equation. Comput. Math. Appl. 2022, 123, 227–240. [Google Scholar] [CrossRef]
 - Singh, B.K.; Gupta, M. Trigonometric tension B-spline collocation approximations for time fractional Burgers’ equation. J. Ocean Eng. Sci. 2022, in press. [CrossRef]
 - Shafiq, M.; Abbas, M.; Abdullah, F.A.; Majeed, A.; Abdeljawad, T.; Alqudah, M.A. Numerical solutions of time fractional Burgers’ equation involving Atangana–Baleanu derivative via cubic B-spline functions. Results Phys. 2022, 34, 105244. [Google Scholar] [CrossRef]
 - Zhang, Y.; Feng, M. A local projection stabilization virtual element method for the time-fractional Burgers equation with high Reynolds numbers. Appl. Math. Comput. 2023, 436, 127509. [Google Scholar] [CrossRef]
 - Peng, X.; Xu, D.; Qiu, W. Pointwise error estimates of compact difference scheme for mixed-type time-fractional Burgers’ equation. Math. Comput. Simul. 2023, 208, 702–726. [Google Scholar] [CrossRef]
 - Elbadri, M. An approximate solution of a time fractional Burgers’ equation involving the Caputo-Katugampola fractional derivative. Partial Differ. Equ. Appl. Math. 2023, 8, 100560. [Google Scholar] [CrossRef]
 - Wang, Y.; Sun, T. Two linear finite difference schemes based on exponential basis for two-dimensional time fractional Burgers equation. Physica D 2024, 459, 134024. [Google Scholar] [CrossRef]
 - Liaqat, M.I.; Akgül, A. A novel approach for solving linear and nonlinear time-fractional Schrödinger equations. Chaos Solit. Fractals 2022, 162, 112487. [Google Scholar] [CrossRef]
 - Wang, F.; Salama, S.A.; Khater, M.M.A. Optical wave solutions of perturbed time-fractional nonlinear Schrödinger equation. J. Ocean Eng. Sci. 2022, in press. [CrossRef]
 - Ameen, I.G.; Ahmed Taie, R.O.; Ali, H.M. Two effective methods for solving nonlinear coupled time-fractional Schrödinger equations. Alex. Eng. J. 2023, 70, 331–347. [Google Scholar] [CrossRef]
 - Kopcasiz, B.; Yaşar, E. Adaptation of Caputo residual power series scheme in solving nonlinear time fractional Schrödinger equations. Optik 2023, 289, 171254. [Google Scholar] [CrossRef]
 - Devnath, S.; Khan, K.; Akbar, M.A. Numerous analytical wave solutions to the time-fractional unstable nonlinear Schrödinger equation with beta derivative. Partial Differ. Equ. Appl. Math. 2023, 8, 100537. [Google Scholar] [CrossRef]
 - Liu, J.J.; Yamamoto, M. A backward problem for the time-fractional diffusion equation. Appl. Anal. 2010, 89, 1769–1788. [Google Scholar] [CrossRef]
 - Tuan, N.H.; Long, L.D.; Nguyen, V.T. Tikhonov regularization method for a backward problem for the inhomogeneous time-fractional diffusion equation. Appl. Anal. 2016, 97, 842–863. [Google Scholar] [CrossRef]
 - Tuan, N.H.; Long, L.D.; Nguyen, V.T.; Tran, H. On a final value problem for the time-fractional diffusion equation with inhomogeneous source. Inv. Prob. Sci. Eng. 2016, 25, 1367–1395. [Google Scholar] [CrossRef]
 - Al-Jamal, M.F. A backward problem for the time-fractional diffusion equation. Math. Meth. Appl. Sci. 2017, 40, 2466–2474. [Google Scholar] [CrossRef]
 - Hào, D.N.; Liu, J.; Duc, N.V.; Thang, N.V. Stability results for backward time-fractional parabolic equations. Inv. Prob. 2019, 35, 125006. [Google Scholar]
 - Li, Y.; Zhang, H. Landweber iterative regularization method for an inverse initial value problem of diffusion equation with local and nonlocal operators. Appl. Math. Sci. Eng. 2023, 31, 2194644. [Google Scholar] [CrossRef]
 - Podlubny, I. Fractional Differential Equations; Academic Press: San Diego, CA, USA, 1999. [Google Scholar]
 - Samko, S.G.; Kilbas, A.A.; Marichev, O.I. Fractional Integrals and Derivatives: Theory and Applications; Gordon and Breach Science: New York, NY, USA, 1987. [Google Scholar]
 - Langlands, T.A.M.; Henry, B.I. The accuracy and stability of an implicit solution method for the fractional diffusion equation. J. Comput. Phys. 2005, 205, 719–736. [Google Scholar] [CrossRef]
 - Lin, Y.; Xu, C. Finite difference/spectral approximations for the time-fractional diffusion equation. J. Comput. Phys. 2007, 225, 1533–1552. [Google Scholar] [CrossRef]
 - Lin, Y.; Li, X.; Xu, C. Finite difference/spectral approximations for the fractional cable equation. Math. Comput. 2011, 80, 1369–1396. [Google Scholar] [CrossRef]
 - Zeng, F.; Li, C.; Liu, F.; Turner, I. The use of finite difference/element approaches for solving the time-fractional subdiffusion equation. SIAM J. Sci. Comput. 2013, 35, A2976–A3000. [Google Scholar] [CrossRef]
 - Diethelm, K. An algorithm for the numerical solution of differential equations of fractional order. Electron. Trans. Numer. Anal. 1997, 5, 1–6. [Google Scholar]
 - Ford, N.J.; Xiao, J.; Yan, Y. A finite element method for time fractional partial differential equations. Fract. Calc. Appl. Anal. 2011, 14, 454–474. [Google Scholar] [CrossRef]
 - Li, Z.; Liang, Z.; Yan, Y. High-order numerical methods for solving time fractional partial differential equations. J. Sci. Comput. 2017, 71, 785–803. [Google Scholar] [CrossRef]
 - Alperin, J.L.; Bell, R.B. Groups and Representations; Springer: New York, NY, USA, 1995. [Google Scholar]
 







| 0.4 | 0.6 | 0.7 | 0.8 | 0.9 | 1 | |
|---|---|---|---|---|---|---|
| ME | ||||||
| RMSE | ||||||
| Max | 2.13 | 4.49 | 5.98 | 7.67 | 9.57 | 11.68 | 
| 0.2 | 0.5 | 0.8 | 1 | 1.5 | 2 | 3 | |
|---|---|---|---|---|---|---|---|
| ME | 
Disclaimer/Publisher’s Note: The statements, opinions and data contained in all publications are solely those of the individual author(s) and contributor(s) and not of MDPI and/or the editor(s). MDPI and/or the editor(s) disclaim responsibility for any injury to people or property resulting from any ideas, methods, instructions or products referred to in the content.  | 
© 2024 by the authors. Licensee MDPI, Basel, Switzerland. This article is an open access article distributed under the terms and conditions of the Creative Commons Attribution (CC BY) license (https://creativecommons.org/licenses/by/4.0/).
Share and Cite
Liu, C.-S.; Kuo, C.-L.; Chang, C.-W. A Symmetry of Boundary Functions Method for Solving the Backward Time-Fractional Diffusion Problems. Symmetry 2024, 16, 191. https://doi.org/10.3390/sym16020191
Liu C-S, Kuo C-L, Chang C-W. A Symmetry of Boundary Functions Method for Solving the Backward Time-Fractional Diffusion Problems. Symmetry. 2024; 16(2):191. https://doi.org/10.3390/sym16020191
Chicago/Turabian StyleLiu, Chein-Shan, Chung-Lun Kuo, and Chih-Wen Chang. 2024. "A Symmetry of Boundary Functions Method for Solving the Backward Time-Fractional Diffusion Problems" Symmetry 16, no. 2: 191. https://doi.org/10.3390/sym16020191
APA StyleLiu, C.-S., Kuo, C.-L., & Chang, C.-W. (2024). A Symmetry of Boundary Functions Method for Solving the Backward Time-Fractional Diffusion Problems. Symmetry, 16(2), 191. https://doi.org/10.3390/sym16020191
        
