Next Article in Journal
Optimization Design and Parameter Analysis of a Wheel with Array Magnets
Next Article in Special Issue
Solitary Solutions for the Stochastic Fokas System Found in Monomode Optical Fibers
Previous Article in Journal
Numerical Modeling of Peridynamic Richards’ Equation with Piecewise Smooth Initial Conditions Using Spectral Methods
Previous Article in Special Issue
Exact Solutions for the Generalized Atangana-Baleanu-Riemann Fractional (3 + 1)-Dimensional Kadomtsev–Petviashvili Equation
 
 
Font Type:
Arial Georgia Verdana
Font Size:
Aa Aa Aa
Line Spacing:
Column Width:
Background:
Article

Two-Fluid Classical and Momentumless Laminar Far Wakes †

1
School of Computer Science and Applied Mathematics, University of the Witwatersrand, Johannesburg 2050, South Africa
2
DSI-NRF Centre of Excellence for Mathematical and Statistical Sciences, University of the Witwatersrand, Johannesburg 2000, South Africa
*
Author to whom correspondence should be addressed.
Dedicated to the University of the Witwatersrand, Johannesburg, on its Centenary, 1922–2022.
Symmetry 2023, 15(5), 961; https://doi.org/10.3390/sym15050961
Submission received: 28 February 2023 / Revised: 14 April 2023 / Accepted: 18 April 2023 / Published: 23 April 2023

Abstract

Two-dimensional two-fluid classical and momentumless laminar far wakes are investigated in the boundary layer approximation. The velocity deficit satisfies a linear diffusion equation and the continuity equation in the upper and lower parts of the wakes. By using the multiplier method, conservation laws for the system of partial differential equations (PDEs) in the upper and lower parts of the wake are derived. Lie point symmetries associated with the conserved vectors for the classical and momentumless wakes are obtained. The conserved quantity for the two-fluid classical wake is the total drag on the obstacle, which is rederived. A new conserved quantity for the two-fluid momentumless wake is obtained, which satisfies the condition that the total drag on the obstacle is zero. Using the conserved quantities, it is shown that the equation of the interface is y = k x 1 2 , where k is a constant and x and y are Cartesian coordinates with origin at the trailing edge of the obstacle. New invariant solutions for the two-fluid classical and momentumless wakes with k = 0 are found. Both solutions depend on the dimensionless parameter χ = ( ρ 1 μ 1 ) / ( ρ 2 μ 2 ) where suffices 1 and 2 refer to the upper and lower parts of the wake. For the special case in which the kinematic viscosity ratio ν 2 / ν 1 = 1 , two further solutions for the two-fluid momentumless wake are derived with k = ± 6 .

1. Introduction

There have been recent advances in the application of conservation laws and Lie symmetry methods to one-fluid jet and far wake flows. The aim of this paper is to apply these new methods to the two-fluid far wake downstream of a fixed and a self-propelled slender body aligned with the flow and generate new invariant solutions. Two-phase fluid flow has many applications in science, engineering, and industry, for example, in oil and gas flow and in the flow of air on water.
When the body is fixed, the wake is referred to as a classical wake. The wake behind a self-propelled body is referred to as a momentumless wake. Both wakes are free shear flows with a region of sharp change along the centre line and are formulated mathematically using boundary layer theory. For the far wake, terms of second order in smallness are neglected. Seminal research on the two-fluid classical and momentumless far wakes has been done by Herczynski, Weidman, and Burde [1], who generalised the coordinate expansion made by Goldstein [2] to include an expansion of the displacement of the interface between the two fluids.
A conserved quantity is required to complete the mathematical formulation of problems of jet and wake flows. The conserved quantity is needed to determine fully the form of the similarity solution, as well as the boundary of a turbulent jet or wake. These physical quantities cannot be determined from the boundary conditions which are homogeneous. Naz, Mason, and Mahomed [3] showed how the conserved quantities in laminar jet flows can be derived in a systematic way by first finding the conservation laws for the boundary layer partial differential equation describing the jet. The method was extended to two-dimensional laminar for wakes by Kokela, Mason, and Hutchinson [4]. A conserved quantity was obtained by integrating a conservation law across the jet or wake and by imposing the boundary conditions for that wake or jet. For the classical wake, it gives, in a systematic way, the drag on the body. For the momentumless wake, the conserved quantity was derived by Birkhoff and Zorantello [5]. A comparison of the different methods for deriving conservation laws was given by Naz, Mohamed, and Mason [6]. The most fundamental is the direct method in which the definition of a conservation law is expanded for assumed forms of the conserved vector. In this paper, the multiplier method introduced by Steudel [7] will be used to derive conservation laws.
Kara and Mahomed [8,9] showed how a Lie point symmetry can be associated with a conserved vector. The components of a conserved vector are the density and flux terms of a conservation law. The Lie point symmetry associated with a conserved vector is easier to calculate than the Lie point symmetry of the corresponding partial differential equation because the order of the derivative in the conserved vector is one less than the order of the partial differential equation. The prolongation formulae are therefore simpler and the calculations can be done manually. The associated Lie point symmetry was used to reduce the partial differential equation to an ordinary differential equation. By the Double Reduction Theorem of Sjöberg [10], the ordinary differential equation can be integrated at least one time because the conserved quantity was used to calculate the Lie point symmetry.
The approach of calculating conservation laws and associated Lie point symmetries has been taken recently to solve jet and far wake problems. In jet flow, the Lie point symmetry associated with the elementary conserved vector was used in [11] to obtain the numerical solution of an axisymmetric turbulent free jet using a shooting method with the conserved quantity as target and in [12,13] to obtain analytical solutions in parametric form for the two-dimensional free and liquid jets of a power law fluid. In [14], the conservation laws of a two-dimensional turbulent thermal free jet were calculated by the multiplier method and the associated Lie point symmetries were used to generate invariant analytical and numerical solutions. In [15], a two-dimensional turbulent classical far wake was considered and the Lie point symmetry associated with the elementary conserved vector was obtained and used to generate analytical solutions. In [16], the two-dimensional turbulent far wake downstream of a self-propelled body was considered. The conserved vector was calculated by the direct method, and analytical solutions generated by the associated Lie point symmetries were obtained.
In this paper, new solutions will be investigated for the two-dimensional two-fluid classical and momentumless far wakes of a symmetrical slender body aligned with the flow. Both fluids are incompressible. This problem was first considered by Herczynski et al. [1]. A thorough investigation will be made of the conditions at the interface between the two fluids. Conservation laws for the system of partial differential equations for each fluid will be derived using the multiplier method. Conserved quantities for the two-fluid classical and momentumless far wakes will be derived. The Lie point symmetries associated with the conserved vectors for each fluid will be obtained in terms of stream functions using the theory of Kara and Mahomed [8,9]. The general form of the invariant solution for each fluid generated by the associated Lie point symmetry will be calculated and with the aid of the interface conditions the invariant solution for the two-fluid classical and momentumless far wakes will be investigated.
Two-fluid free shear flows generally depend on the dimensionless parameter
χ = ρ 1 μ 1 ρ 2 μ 2 ,
where ρ 1 , μ 1 and ρ 2 , μ 2 are the density and shear viscosity in each fluid [1]. Examples include the two-fluid planar jet, the two-fluid classical wake, and the two-fluid planar mixing layer [1,17]. An exception is the two-fluid momentumless wake derived by Herczynski et al. [1]. In this paper, a new conserved quantity for the two-fluid momentumless far wake, based on the requirement that the total drag on the symmetrical self-propelled body vanishes, is derived, and new solutions for the two-fluid momentumless far wake are obtained. It was found that these new solutions depend on the parameter χ .
In Section 2, the boundary layer equations for the two-fluid planar far wake are formulated and the boundary and interface conditions are stated. In Section 3, the multiplier method is used to derive conservation laws for the system of PDEs for each fluid and the conserved quantities for the classical and momentumless two-fluid far wakes are derived. In Section 4, the classical two-fluid wake is considered. The Lie point symmetry associated with the conserved vector for each fluid is derived and the invariant solution for each fluid is obtained. Using the boundary and interface conditions, the invariant solution for the classical two-fluid far wake is calculated. Similarly, in Section 5, three invariant solutions for the two-fluid far wake, being a self-propelled body, are derived. Finally, the conclusions are summarised in Section 6.

2. Mathematical Model

Consider the two-fluid laminar far wake behind a symmetric slender planar body of finite length at the interface between the two fluids and aligned with the flow. The fluids are immiscible and incompressible and the flow is laminar. A Cartesian coordinate system is introduced with origin at the trailing edge of the body. The mainstream velocity U 0 is the same for both fluids. The index i = 1 corresponds to the upper fluid and index i = 2 to the lower fluid. The x- and y-components of the fluid velocities, pressures, densities, kinematic viscosities, and shear viscosities are denoted by u i , v i , p i , ρ i , ν i , and μ i , where ν i = μ i / ρ i and for stability, ρ 2 > ρ 1 . The unknown interface between the two fluids is y = ϕ ( x ) and the total drag on the body due to the two fluids is D. The two-fluid wake flow is illustrated in Figure 1.
The two-fluid flow is steady and therefore
u i = u i ( x , y ) , v i = v i ( x , y ) , p i = p i ( x , y ) .
The x- and y-components of the steady-state Navier–Stokes equation and the conservation of mass equation are
u i u i x + v i u i y = 1 ρ i p i x + ν i 2 u i x 2 + 2 u i y 2 ,
u i v i x + v i v i y = 1 ρ i p i x + ν i 2 v i x 2 + 2 v i y 2 g ,
u i x + v i y = 0 ,
where i = 1 , 2 and g is the body force due to gravity per unit mass, which is in the y direction. Equations (3) to (5) are rewritten in dimensionless variables defined in terms of the upper fluid,
x * = x L , y * = R e 1 2 y L , u i * = u i U 0 , v i * = R e 1 2 v i U 0 , p i * = p i ρ i U 0 2 ,
where L is the characteristic length of the two-fluid boundary layer and the Reynolds number is
R e = U 0 L ν 1 .
We also introduce the Froude number
F = U 0 g L .
Equations (3) to (5) become
u i * u i * x * + v i * u i * y * = ρ 1 ρ i p i * x * + 1 R e ν i ν 1 2 u i * x * 2 + ν i ν 1 2 u i * y * 2 ,
1 R e u i * v i * x * + 1 R e v i * v i * y * = ρ 1 ρ i p i * y * + 1 R e ν i ν 1 2 v i * y * 2 1 F 2 R e ,
u i * x * + v i * y * = 0 .
We consider flows such that
1 F 2 R e 1 R e ,
that is, provided F R e 1 4 which will be satisfied provided U 0 is sufficiantly large.
Neglecting terms of order 1 / R e , Equations (9) and (10) reduce to
u i * u i * x * + v i * u i * y * = ρ 1 ρ i p i * x * + ν i ν 1 2 u i * y * 2 ,
p i * y * = 0 .
Thus, p i * = p i * ( x ) , and since the mainstream velocity U 0 is constant, from Euler’s equation in the mainstream,
d p i d x ( x ) = 0 .
Therefore, the boundary layer equations for the two-fluid wake are
u i * u i * x * + v i * u i * y * = ν i ν 1 2 u i * y * 2
and the conservation of mass Equation (11). The boundary conditions are
u 1 * ( x * , ) = 1 , u 1 * y * ( x * , ) = 0 ,
u 2 * ( x * , ) = 1 , u 2 * y * ( x * , ) = 0 .
Finally, we derive the matching conditions at the interface y = ϕ ( x ) . In dimensionless variables the interface is
y * = ϕ * ( x * ) where ϕ * ( x * ) = R e 1 2 L ϕ ( x ) .
The tangential velocity components must match at the interface because the two fluids are viscous. The normal velocity components must also match. Hence
u 1 * ( x * , ϕ * ) = u 2 * ( x * , ϕ * ) ,
v 1 * ( x * , ϕ * ) = v 2 * ( x * , ϕ * ) .
The tangential components of the stress vector, t 1 ( i ) , and the normal components of the stress vector, t 2 ( i ) , must match at the interface. Hence
t 1 * ( 1 ) ( x * , ϕ * ) = t 1 * ( 2 ) ( x * , ϕ * ) ,
t 2 * ( 1 ) ( x * , ϕ * ) = t 2 * ( 2 ) ( x * , ϕ * ) .
Now from Cauchy’s formula and the Navier–Poisson law for a viscous incompressible fluid
t 1 ( i ) = τ 21 ( i ) = μ i u i y + v i x ,
t 2 ( i ) = τ 22 ( i ) = p i + 2 μ i v i y .
Expressed in dimensionless variables, (24) and (25) become
t 1 * ( 1 ) = τ 21 * ( i ) = μ i μ 1 1 R e 1 2 u i * y * + 1 R e 3 2 v i * x * ,
t 2 * ( 1 ) = τ 22 * ( i ) = p i * + 2 R e μ i μ 1 v i * y * .
Terms of order R e 3 2 are neglected in (26). Substituting (26) and (27) gives the matching conditions
u 1 * y * ( x * , ϕ * ) = μ 2 μ 1 u 2 * y * ( x * , ϕ * ) ,
2 R e μ 2 μ 1 v 2 * y * ( x * , ϕ * ) v 1 * y * ( x * , ϕ * ) = p 2 * ( x * , ϕ * ) p 1 * ( x * , ϕ * ) .
The problem is now formulated in terms of the velocity deficit w i ( x , y ) , defined by
u i ( x , y ) = U 0 w i ( x , y ) .
Expressed in dimensionless variables
u i * ( x * , y * ) = 1 w i * ( x * , y * ) .
We also have
v i * ( x * , y * ) = 0 + v i * ( x * , y * ) ,
p i * ( x * , y * ) = 0 + p i * ( x * , y * ) .
For the far wake, w i * , v i * , and p i * are small and their squares and products can be neglected. The PDEs (11) and (16), the boundary conditions (17) and (18), and the interface conditions (20), (21), (28) and (29) are expressed in terms of the velocity deficit. The problem can be stated as follows.
Partial differential equations:
w i * x * = ν i ν 1 2 w i * y * 2 ,
w i * x * + v i * y * = 0 .
Boundary conditions:
w 1 * ( x * , ) = 0 , w 1 * y * ( x * , ) = 0 ,
w 2 * ( x * , ) = 0 , w 2 * y * ( x * , ) = 0 .
Interface conditions:
w 1 * ( x * , ϕ * ) = w 2 * ( x * , ϕ * ) ,
v 1 * ( x * , ϕ * ) = v 2 * ( x * , ϕ * ) ,
w 1 * y * ( x * , ϕ * ) = μ 2 μ 1 w 2 * y * ( x * , ϕ * ) ,
2 R e μ 2 μ 1 v 2 * y * ( x * , ϕ * ) v 1 * y * ( x * , ϕ * ) = p 2 * ( x * , ϕ * ) p 1 * ( x * , ϕ * ) .
Equation (41) gives the pressure difference across the interface once the problem has been solved. By applying the Principle of Archimedes, Herczynski et al. [1] derived a further condition for the pressure difference,
p 2 ( x , ϕ ( x ) ) p 1 ( x , ϕ ( x ) ) = ( ρ 1 ρ 2 ) g ϕ ( x ) .
Expressed in dimensionless variables, (42) is
p 2 * ( x * , ϕ * ) p 1 * ( x * , ϕ * ) = 1 F 2 R e ρ 2 ρ 1 1 ϕ * .
The formulations (34) to (41) in dimensionless variables agrees with the formulation of Herczynski et al. [1] in physical variables. It applies for both the classical wake and the wake behind a self-propelled body. The two problems differ in their conservation laws and conserved quantity.
In the remainder of the paper, the star will be suppressed to simplify the notation, with it being understood that dimensionless quantities are being used.

3. Conservation Laws, Conserved Vectors, and Conserved Quantities

Conservation laws and the corresponding conserved vectors for the system of PDEs (34) and (35) will first be obtained. The conserved quantity for the two-fluid classical wake and the two-fluid momentumless wake will be derived.

3.1. Conservation Laws and Conserved Vectors

The multiplier method [6,7] was used to derive conservation laws and corresponding conserved vectors for the system of boundary layer equations, (34) and (35), describing the upper and lower wakes. When deriving conservation laws and Lie point symmetries, x , y , w i , v i , and all partial derivatives of w i and v i with respect to x and y are treated as independent variables and the subscript notation is used for partial differentiation. When w i and v i are treated as functions of independent variables x and y, the notation w i x , v i y , is used. Equations (34) and (35) in subscript notation are
w i x = ν i ν 1 w i y y ,
w i x + v i y = 0 .
A conservation law for the system (44) and (45) satisfies
D x T i 1 + D y T i 2 | ( 44 ) , ( 45 ) = 0
where
D x = D 1 = x + w i x w i + v i x v i + w i x x w i x + w i y x w i y + v i x x v i x + v i y x v i y +
D y = D 2 = y + w i y w i + v i y v i + w i x y w i x + w i y y w i y + v i x y v i x + v i y y v i y +
and T i 1 , T i 2 are the components of the conserved vector T i = ( T i 1 , T i 2 ) . The multipliers Λ 1 and Λ 2 satisfy
Λ 1 w i x ν i ν 1 w i y y + Λ 2 ( w i x + v i y ) = D x T i 1 + D y T i 2
for all functions w i ( x , y ) and v i ( x , y ) . We will choose
Λ 1 = Λ 1 ( x , y , w i , v i ) , Λ 2 = Λ 2 ( x , y , w i , v i ) .
Partial derivatives of w i and v i could be included in the dependence of Λ 1 and Λ 2 on the fluid variables in order to look for higher order conservation laws, but we find that it is sufficient to consider multipliers of the form (50) to derive conserved vectors for the two-fluid wake.
The Euler operators E w i and E v i annihilate the divergence expressions on the right hand side of (49), where
E w i = w i D x w i x D y w i y + D x 2 w i x x + D x D y w i x y + D y 2 w i y y
E v i = v i D x v i x D y v i y + D x 2 v i x x + D x D y v i x y + D y 2 v i y y
The determining equations for Λ 1 and Λ 2 therefore are
E w i Λ 1 w i x ν i ν 1 w i y y + Λ 2 ( w i x + v i y ) = 0 ,
E v i Λ 1 w i x ν i ν 1 w i y y + Λ 2 ( w i x + v i y ) = 0 .
When fully expanded, Equations (53) and (54) are
ν i ν 1 Λ 1 w i w i y y + Λ 2 w i v i y + Λ 2 x + Λ 2 v i v i x Λ 1 x Λ 1 v i v i x ν i ν 1 [ 2 Λ 1 y 2 + 2 Λ 1 w i y w i y + 2 Λ 1 v i y v i y + Λ 1 w i w i y y + 2 Λ 1 y w i w i y + 2 Λ 1 w i 2 w i y 2 + 2 Λ 1 v i w i w i y v i y + Λ 1 v i v i y y + 2 Λ 1 y v i v i y + 2 Λ 1 w i v i v i y w i y + 2 Λ 1 v i 2 v i y 2 ] = 0
and
Λ 1 v i w i x ν i ν 1 Λ 1 v i w i y y Λ 2 v i w i x Λ 2 y Λ 2 w i w i y = 0 .
The partial derivatives of w i ( x , y ) and v i ( x , y ) with respect to x and y are independent because (49) holds for all functions w i ( x , y ) and v i ( x , y ) and not only for solutions of (44) and (45). Equations (55) and (56) can therefore be separated by equating the coefficients of the partial derivatives of w i and v i and their powers and products. Separating first, (55) gives the following results:
w i y : 2 Λ 1 y w i = 0 , w i y 2 : 2 Λ 1 w i 2 = 0 ,
w i y y : Λ 1 w i = 0 , v i x : Λ 2 v i Λ 1 v i = 0 ,
v i y : Λ 2 w i 2 ν i ν 1 2 Λ 1 y v i = 0 , v i y 2 : 2 Λ 1 v i 2 = 0 ,
v i y y : Λ 1 v i = 0 , v i y w i y : 2 Λ 1 w i v i = 0 ,
Remainder : Λ 2 x Λ 1 x ν i ν 1 2 Λ 1 y 2 = 0 .
Hence
Λ 1 = Λ 1 ( x , y ) , Λ 2 = Λ 2 ( x , y ) .
Equation (56) reduces to
Λ 2 y = 0 .
Hence
Λ 1 = Λ 1 ( x , y ) , Λ 2 = Λ 2 ( x ) ,
where Λ 1 ( x , y ) and Λ 2 ( x ) satisfy (61).
In order to make progress we look for a multiplier, Λ 1 , that is independent of x, that is Λ 1 = Λ 1 ( y ) . Equation (61) takes the form
d Λ 2 d x ( x ) = ν i ν 1 d 2 Λ 1 d y 2 ( y ) .
By the technique of separation of variables, each side must be a constant, 2 a 1 . Hence
Λ 1 ( y ) = ν 1 ν i a 1 y 2 + a 2 y + a 3 , Λ 2 ( x ) = 2 a 1 x + a 4
where a 2 , a 3 , and a 4 are constants. Thus, from (49)
a 1 ν 1 ν i y 2 + a 2 y + a 3 w i x ν i ν 1 w i y y + ( 2 a 1 x + a 4 ) ( w i x + v i y ) = D x T i 1 + D y T i 2
for arbitrary functions w i ( x , y ) and v i ( x , y ) .
We next determine the conserved vector T = ( T 1 , T 2 ) . Now
a 1 ν 1 ν i y 2 + a 2 y + a 3 w i x ν i ν 1 w i y y + ( 2 a 1 x + a 4 ) ( w i x + v i y ) = a 1 ν 1 ν i y 2 w i x ν i ν 1 w i y y + 2 x ( w i x + v i y ) + a 2 y w i x ν i ν 1 w i y y + a 3 w i x ν i ν 1 w i y y + a 4 [ w i x + v i y ] = a 1 D x ν 1 ν i y 2 w i 2 x w i + D y ( y 2 w i y + 2 y w i + 2 x v i ) + a 2 D x ( y w i ) + D y ν i ν 1 y w i y + ν i ν 1 w i + a 3 D x ( w i ) + D y ν i ν 1 w i y + a 4 [ D x ( w i ) + D y ( v i ) ] = D x a 1 ν 1 ν i y 2 w i 2 x w i + a 2 ( y w i ) + a 3 ( w i ) + a 4 ( w i ) + D y a 1 ( y 2 w i y + 2 y w i + 2 x v i ) + a 2 ν i ν 1 y w i y + ν i ν 1 w i + a 3 ν i ν 1 w i y + a 4 ( v i ) .
Equation (68) is satisfied for arbitrary functions w i ( x , y ) and v i ( x , y ) . When w i and v i are solutions of the system (44) and (45), then (68) becomes
D x a 1 ν 1 ν i y 2 w i 2 x w i + a 2 ( y w i ) + a 3 ( w i ) + a 4 ( w i ) + D y [ a 1 ( y 2 w i y + 2 y w i + 2 x v i ) + a 2 ν i ν 1 y w i y + ν i ν 1 w i + a 3 ν i ν 1 w i y + a 4 ( v i ) ] | ( 44 ) , ( 45 ) = 0 .
Hence, the conserved vector for the system of PDEs (44) and (45) derived from the multipliers (66) is of the form
T i 1 = a 1 ν 1 ν i y 2 w i 2 x w i + a 2 ( y w i ) + a 3 ( w i ) + a 4 ( w i ) ,
T i 2 = a 1 ( y 2 w i y + 2 y w i + 2 x v i ) + a 2 ν i ν 1 y w i y + ν i ν 1 w i + a 3 ν i ν 1 w i y + a 4 ( v i ) .
The conserved vector is a linear combination of the following four conserved vectors obtained by setting all a i = 0 , except one, in turn.
a 1 0 : T i 1 = ν 1 ν i y 2 w i 2 x w i , T i 2 = y 2 w i y + 2 y w i + 2 x v i ,
a 2 0 : T i 1 = y w i , T i 2 = ν i ν 1 ( y w i y + w i ) ,
a 3 0 : T i 1 = w i , T i 2 = ν i ν 1 w i y ,
a 4 0 : T i 1 = w i , T i 2 = v i .
The general conserved vector for the system of PDEs (44) and (45) is a linear combination of the four conserved vectors (72) to (75). The conserved vector (72) generates the conserved quantity for the two-fluid momentumless wake while the conserved vector (74) generates the conserved quantity for the two-fluid classical wake. The conserved vector (75) describes conservation of mass in the two-fluid wake. The physical significance of the conserved vector (73) is not understood at present.

3.2. Conserved Quantity for the Two-Fluid Classical Wake

Instead of regarding the conserved vectors as functions of x , y , w , v , they are now treated as (different) functions of the independent variables x and y. Equation (4) becomes
T i 1 x + T i 2 y = 0 .
The conserved quantity for the two-fluid classical wake is derived from the conserved vector (74) and the interface condition for the shear stress (40). Substituting (74) into (76) gives
w i x = ν i ν 1 2 w i y 2 .
Consider first the lower fluid. Integrate (77) with respect to y from y = to y = ϕ ( x ) and apply the formula for differentiation under the integral sign [18] and the boundary condition (37). This gives
d d x ϕ ( x ) w 2 ( x , y ) d y w 2 ( x , ϕ ( x ) ) d ϕ d x = ν 2 ν 1 w 2 y ( x , ϕ ( x ) ) .
Similarly, for the upper fluid and integrating (77) with respect to y from y = ϕ ( x ) to y = + we obtain
d d x ϕ ( x ) w 1 ( x , y ) d y + w 1 ( x , ϕ ( x ) ) d ϕ d x = w 1 y ( x , ϕ ( x ) ) .
The terms on the right hand side of (78) and (79) are first order in smallness and cannot be neglected. It is because of these terms that there is not a conserved quantity for the upper fluid and a conserved quantity for the lower fluid. Substituting (78) and (79) for w 2 y ( x , ϕ ( x ) ) and w 1 y ( x , ϕ ( x ) ) into the interface condition, (40) removes the first order terms. By imposing the interface condition (38), we obtain
d d x ρ 2 ρ 1 ϕ ( x ) w 2 ( x , y ) d y + ϕ ( x ) w 1 ( x , y ) d y = ρ 2 ρ 1 1 w 1 ( x , ϕ ( x ) ) d ϕ d x .
Let
R c ( ϕ , w 1 ) = ρ 2 ρ 1 1 w 1 ( x , ϕ ( x ) ) d ϕ d x .
The quantity R c ( ϕ , w 1 ) is second order in smallness since ϕ ( x ) is small and is identically zero when the interface is along the x-axis. Second order terms have already been neglected in the derivation of Equation (34). Neglecting R c ( ϕ , w 1 ) gives
D * = ρ 2 ρ 1 ϕ ( x ) w 2 ( x , y ) d y + ϕ ( x ) w 1 ( x , y ) d y
is a constant independent of x where D * is the dimensionless drag on the obstacle. The conserved quantity (82) was used by Herczynski et al. [1].

3.3. Conserved Quantity for the Two-Fluid Momentumless Wake

For the two-fluid momentumless wake behind a self-propelled body, the total drag on the body is zero:
D * = ρ 2 ρ 1 ϕ ( x ) w 2 ( x , y ) d y + ϕ ( x ) w 1 ( x , y ) d y = 0 .
The conserved quantity for the two-fluid momentumless wake is derived from the conserved vector (72) and the condition (83). When (72) is substituted into (76) we obtain, with the aid of (45),
ν 1 ν i x ( y 2 w i ) 2 w i + y ( y 2 w i y + 2 y w i ) = 0 .
Consider first the lower fluid and integrate (84) with respect to y from y = to y = ϕ ( x ) . Assume the stronger boundary conditions than (37) that
y 2 w 2 y ( x , y ) | y = = 0 , y w 2 ( x , y ) | y = = 0
and apply the theorem for differentiation under the integral sign [18]. This gives
ϕ ( x ) w 2 ( x , y ) d y = ν 1 2 ν 2 d d x ϕ ( x ) y 2 w 2 ( x , y ) d y ν 1 2 ν 2 w 2 ( x , ϕ ( x ) ) ϕ 2 ( x ) d ϕ d x 1 2 w 2 y ( x , ϕ ( x ) ) ϕ 2 ( x ) + w 2 ( x , ϕ ( x ) ) ϕ ( x ) .
Proceeding similarly for the upper fluid and assuming that
y 2 w 1 y ( x , y ) | y = + = 0 , y w 1 ( x , y ) | y = + = 0
it is found that
ϕ ( x ) w 1 ( x , y ) d y = 1 2 d d x ϕ ( x ) y 2 w 1 ( x , y ) d y + 1 2 w 1 ( x , ϕ ( x ) ) ϕ 2 ( x ) d ϕ d x + 1 2 w 1 y ( x , ϕ ( x ) ) ϕ 2 ( x ) w 1 ( x , ϕ ( x ) ) ϕ ( x ) .
The integrals on the left hand side of (86) and (88) are first order in smallness and cannot be neglected. They are the reason why there is not a conserved quantity for the lower fluid wake and a conserved quantity for the upper fluid wake. These first order terms are eliminated by using the property that the total drag on the self-propelled body is zero. By substituting (86) and (88) in condition (83), it can be verified that
d d x ρ 2 ρ 1 ν 1 ν 2 ϕ ( x ) y 2 w 2 ( x , y ) d y + ϕ ( x ) y 2 w 1 ( x , y ) d y = R M ( ϕ , w 1 , w 2 )
where
R M ( ϕ , w 1 , w 2 ) = ρ 2 ρ 1 w 2 ( x , ϕ ( x ) ) w 1 ( x , ϕ ( x ) ) ϕ ( x ) ϕ ( x ) d ϕ d x 2 + ρ 2 ρ 1 w 2 y ( x , ϕ ( x ) ) w 1 y ( x , ϕ ( x ) ) ϕ 2 ( x ) .
The function R M ( ϕ , w 1 , w 2 ) depends only on terms of second order in smallness. If R M ( ϕ , w 1 , w 2 ) is neglected then
K * = ρ 2 ρ 1 ν 1 ν 2 ϕ ( x ) y 2 w 2 ( x , y ) d y + ϕ ( x ) y 2 w 1 ( x , y ) d y
is a dimensionless constant independent of x. The constant K * is the conserved quantity for the two-fluid momentumless wake. It differs in the first term from the conserved quantity (in dimensionless form)
K = ρ 2 ρ 1 ϕ ( x ) y 2 w 2 ( x , y ) d y + ϕ ( x ) y 2 w 1 ( x , y ) d y
derived by Herczynski et al. [1], which does not satisfy the condition (83) that the total drag on the self-propelled body is zero.
The quantity R M ( ϕ , w 1 , w 2 ) can be simplified using the interface conditions (38) and (40) to
R M ( ϕ , w 1 ) = ρ 2 ρ 1 1 w 1 ( x , ϕ ( x ) ) ϕ ( x ) ϕ ( x ) d ϕ d x 2 + ν 1 ν 2 1 w 1 y ( x , ϕ ( x ) ) ϕ 2 ( x ) .
It is identically zero when the interface is along the x-axis. It will be investigated further in Section 5 after the solutions for the two-fluid momentumless wake have been derived.
The conserved quantities (82) and (91) are required in Section 4 and Section 5 to complete the solution for the classical and momentumless two-fluid wakes.

4. Invariant Solution for the Two-Fluid Classical Wake

The Lie point symmetry associated with the conserved vector for the upper wake and the Lie point symmetry associated with the conserved vector for the lower wake will be derived. The two associated Lie point symmetries will then be used to generate the invariant solution for the two-fluid classical wake. The problem will be formulated in terms of the stream function for each wake.
Since the conservation of mass equation, (35), is satisfied for each wake, a stream function ψ i ( x , y ) can be introduced for each wake defined by
w i = ψ i y , v i = ψ i x .
Equation (35) is identically satisfied. Expressed in terms of the stream function, Equations (34) to (41) become:
Partial differential equation
2 ψ i x y = ν i ν 1 3 ψ i y 3 .
Boundary conditions
ψ 1 y ( x , ) = 0 , 2 ψ 1 y 2 ( x , ) = 0 ,
ψ 2 y ( x , ) = 0 , 2 ψ 2 y 2 ( x , ) = 0 .
Interface conditions
ψ 1 y ( x , ϕ ) = ψ 2 y ( x , ϕ ) ,
ψ 1 x ( x , ϕ ) = ψ 2 x ( x , ϕ ) ,
2 ψ 1 y 2 ( x , ϕ ) = μ 2 μ 1 2 ψ 2 y 2 ( x , ϕ ) ,
2 R e μ 2 μ 1 2 ψ 2 x y ( x , ϕ ) 2 ψ 1 x y ( x , ϕ ) = p 2 ( x , ϕ ) p 1 ( x , ϕ ) .
The conserved vectors, (74), for the upper wake and the lower wake for the classical two-fluid wake, expressed in terms of the stream function, are
T i 1 = ψ i y , T i 2 = ν i ν 1 ψ i y y , i = 1 , 2 .
In order to simplify the notation, in the following calculations the index i will be suppressed in all quantities except in the ratio ν i ν 1 and in the interface conditions. The results apply to both the upper and lower wakes.

4.1. Associated Lie Point Symmetries

The Lie point symmetry
X = ξ 1 ( x , y , ψ ) x + ξ 2 ( x , y , ψ ) y + η ( x , y , ψ ) ψ
is associated with the conserved vector T = ( T 1 , T 2 ) provided
X ( T s ) + T s D k ( ξ k ) T k D k ( ξ s ) = 0
where
D 1 = D x = x + ψ x ψ + ψ x x ψ x + ψ y x ψ y + ,
D 2 = D y = y + ψ y ψ + ψ x y ψ x + ψ y y ψ y + .
Equation (104) consists of the two components
s = 1 : X ( T 1 ) + T 1 D 2 ( ξ 2 ) T 2 D 2 ( ξ 1 ) = 0 ,
s = 2 : X ( T 2 ) + T 2 D 1 ( ξ 1 ) T 1 D 1 ( ξ 2 ) = 0 .
The Lie point symmetry X is prolongated to sufficiently high order to operate on the partial derivatives in the conserved vector.
Consider first the component (107). Now, from (102)
X ( T 1 ) = ζ 2
where
ζ 2 = D 2 ( η ) ψ k D 2 ( ξ k ) .
When expanded fully, Equation (107) becomes
η y + η ψ ψ y ξ 1 y ψ x ξ 1 ψ ψ x ψ y ν i ν 1 ξ 1 y ψ y y + ξ 1 ψ ψ y ψ y y = 0 .
Separating (111) according to the partial derivatives of ψ and their products gives
η y = 0 , η ψ = 0 , ξ 1 y = 0 , ξ 1 ψ = 0
and therefore
ξ 1 = ξ 1 ( x ) , ξ 2 = ξ 2 ( x , y , ψ ) , η = η ( x ) .
Consider next the second component (108) with (113) for X. Now
X ( T 2 ) = ν i ν 1 ζ 22
where the prolongation ζ 22 is defined by [19]
ζ 22 = D 2 ( ζ 2 ) ψ 2 k D 2 ( ξ k )
and ζ 2 is given by (110). When expanded in full, (108) becomes
ν i ν 1 2 ξ 2 y 2 ψ y + 2 2 ξ 2 y ψ ψ y 2 + 2 ξ 2 ψ 2 ψ y 3 + 2 ξ 2 y ψ y y + 3 ξ 2 ψ ψ y ψ y y d ξ 1 d x ψ y y ξ 2 x ψ y ξ 2 ψ ψ x ψ y = 0 .
Separating (116) by ψ x ψ y gives
ξ 2 ψ = 0
and therefore ξ 2 = ξ 2 ( x , y ) . By separating the remaining terms in (116) we obtain
ψ y y : 2 ξ 2 y ( x , y ) = d ξ 1 d x ( x ) ,
ψ y : ν i ν 1 2 ξ 2 y 2 = ξ 2 x .
Differentiating (118) with respect to y yields
2 ξ 2 y 2 = 0
and therefore from (119), ξ 2 = ξ 2 ( y ) . Equation (118) is now separable in the variables x and y and therefore
ξ 1 ( x ) = 2 c 1 x + c 2 , ξ 2 ( y ) = c 1 y + c 3 , η = η ( x ) .
We consider the general case in which c 1 0 . We can divide X by c 1 or equivalently set c 1 = 1 . Hence
X = ( 2 x + c 2 ) x + ( y + c 3 ) y + η ( x ) x
where η ( x ) is an arbitrary function.
Equation (122) is the Lie point symmetry associated with the conserved vector in the upper wake and in the lower wake. The constants c 2 and c 3 and the function η ( x ) are different in each part of the two-fluid classical wake.

4.2. General Form of the Invariant Solution

Now, ψ = Ψ ( x , y ) is an invariant solution of the PDE (95) generated by the Lie point symmetry (122) provided
X ( ψ Ψ ( x , y ) ) | ψ = Ψ ( x , y ) = 0 ,
that is provided
( 2 x + c 2 ) Ψ x + ( y + c 3 ) Ψ y = η ( x ) .
The differential equations of the characteristic curves of (124) are
d x 2 x + c 2 = d y y + c 3 = d Ψ η ( x ) .
Two independent solutions are
y + c 3 x + 1 2 c 2 1 2 = a 1 , Ψ ( x , y ) G ( x ) = a 2 ,
where a 1 and a 2 are constants and
G ( x ) = x η ( x ) d x ( 2 x + c 2 ) .
The general solution of the first order PDE (124) is a 2 = F ( a 1 ) where F is an arbitrary function. Hence
ψ ( x , y ) = F ( ξ ) + G ( x )
where
ξ = y + c 3 x + 1 2 c 2 1 2 .
We chose the origin of the coordinate ξ in the upper and lower wakes to be at y = 0 . Hence c 3 = 0 . Additionally, a singularity, if it exists, will be at the obstacle x = 0 . Hence, c 2 = 0 and
ξ = y x 1 2 .
The coordinate ξ and the Lie point symmetry (122) are the same in the upper and lower wakes.
The conserved quantity (82) for the two-fluid classical wake when expressed in terms of the invariant solution (128) and (130) is
D * = ρ 2 ρ 1 ϕ ( x ) x 1 2 d F 2 d ξ d ξ + ϕ ( x ) x 1 2 d F 1 d ξ d ξ .
For D * to be a constant independent of x, it is sufficient that
ϕ ( x ) x 1 2 = k
where k is a constant. The equation of the interface is
ϕ ( x ) = k x 1 2
and on the interface, ξ = k . The conserved quantity becomes
D * = ρ 2 ρ 1 k d F 2 d ξ d ξ + k d F 1 d ξ d ξ .
We now rewrite the velocity components (94) and Equations (95) to (101) in terms of the invariant solution (128) and (130):
Velocity components
w i ( x , y ) = x 1 2 d F i d ξ ,
v i ( x , y ) = 1 2 x ξ d F i d ξ + d G i d x .
Ordinary differential equation (ODE)
2 ν i ν 1 d 3 F i d ξ 3 + d d ξ ξ d F i d ξ = 0 .
Boundary conditions
d F 1 d ξ ( ) = 0 , d 2 F 1 d ξ 2 ( ) = 0 ,
d F 2 d ξ ( ) = 0 , d 2 F 2 d ξ 2 ( ) = 0 .
Interface conditions
d F 1 d ξ ( k ) = d F 2 d ξ ( k ) ,
d G 1 d x = d G 2 d x ,
d 2 F 1 d ξ 2 ( k ) = μ 2 μ 1 d 2 F 2 d ξ 2 ( k ) ,
1 R e 1 μ 2 μ 1 d F 1 d ξ ( k ) x 3 2 = p 2 ( x , ϕ ( x ) ) p 1 ( x , ϕ ( x ) ) .
Equation (143) was simplified with the aid of (140) and (142).
From (127) with c 2 = 0 ,
d G 1 d x = 1 2 x η 1 ( x ) , d G 2 d x = 1 2 x η 2 ( x )
and therefore from the interface condition (141), η 1 ( x ) = η 2 ( x ) = η ( x ) . The Lie point symmetry (122) is therefore the same in the upper wake and lower wake,
X = 2 x x + y y + η ( x ) ψ .
Additionally, from the interface condition (141),
G 1 ( x ) = G 2 ( x ) + G 0 ,
where G 0 is a constant. Since an arbitrary constant in the stream function (128) does not contribute to the velocity components, we can take G 0 = 0 and therefore
ψ i ( x , y ) = F i ( ξ ) + G ( x ) .

4.3. Invariant Solution for the Two-Fluid Classical Wake

Clearly, the ODE (137) can be integrated at least once. This is an example of the Double Reduction Theorem [10], which states that if the form of the invariant solution is determined by a conserved vector of the PDE then the reduced ODE can be integrated at least once.
We integrated the ODE (137) once with respect to ξ and imposed the boundary conditions (138) and (139). It is necessary to assume the stronger boundary conditions
ξ d F 1 d ξ | ξ = + = 0 , ξ d F 2 d ξ | ξ = = 0 .
This gives
2 ν i ν 1 d 2 F i d ξ 2 + ξ d F i d ξ = 0
which is a first order ODE in d F i d ξ . Hence
d F i d ξ = B i exp ν 1 4 ν i ξ 2
where B i is a constant. The assumption (148) is clearly satisfied by (150). Since w i ( x , y ) and v i ( x , y ) , given by (135) and (136), depend on d F i d ξ and are independent of F i ( ξ ) it is not necessary to integrate (150) further.
The interface conditions (140) and (142) become
B 1 exp 1 4 k 2 = B 2 exp ν 1 4 ν 2 k 2 ,
k B 1 exp 1 4 k 2 = k ρ 2 ρ 1 B 2 exp 1 4 ν 1 ν 2 k 2 .
Eliminating B 2 gives
k 1 ρ 2 ρ 1 B 1 exp 1 4 k 2 = 0 .
We consider two fluids with ρ 1 ρ 2 . Additionally, B 1 0 because if B 1 = 0 then from (151), B 2 = 0 and w 1 = 0 and w 2 = 0 . Hence
k = 0
and from (151)
B 1 = B 2 = B .
Since k = 0 , it follows from (133) that
ϕ ( x ) = 0 .
The interface is therefore the x-axis. In the derivation of the conserved quantity (82), R c ( ϕ ( x ) , w 1 ) was neglected. However, R c ( ϕ ( x ) , w 1 ) = 0 since ϕ ( x ) = 0 . The total drag D * is therefore independent of x without approximation.
The constant B cannot be obtained from the boundary conditions (138) and (139) which are identically satisfied. It is obtained from the conserved quantity (134). Substituting (150) into (134) gives
D * = B ρ 2 ρ 1 I 1 + I 2
where
I 1 = 0 exp 1 4 ν 1 ν 2 ξ 2 d ξ = ν 2 ν 1 1 2 π ,
I 2 = 0 exp 1 4 ξ 2 d ξ = π
and we used
Γ ( n ) = 0 u n 1 exp ( u ) d u , Γ 1 2 = π ,
where Γ ( n ) is the Gamma function [18]. Hence
B = D * π ρ 2 ρ 1 ν 2 ν 1 1 2 + 1
which may be expressed in terms of the parameter [1]
χ = ρ 1 μ 1 ρ 2 μ 2
as
B = D * χ 1 2 π 1 + χ 1 2 .
The velocity deficit is, from (135) and (150),
w i ( x , y ) = B x 1 2 exp ν 1 4 ν i y 2 x
and
w i y ( x , y ) = B 2 ν 1 ν i y x exp ν 1 4 ν i y 2 x .
The turning point of the velocity deficit is therefore on the interface. Additionally, from (136) and (150),
v i ( x , y ) = B 2 y 2 x 3 2 exp ν 1 4 ν i y 2 x + d G d x .
However, on the interface between two fluids, the normal component of velocity vanishes. Hence
v i ( x , 0 ) = d G d x = 0
and therefore G ( x ) = G 0 where G 0 is a constant. However, a constant in the stream function (147) does not contribute to the velocity. We therefore set G 0 = 0 . Additionally, from definition (127)
d G d x = η ( x ) 2 x = 0
and therefore η ( x ) = 0 . The Lie point symmetry (135) generates the solution reduces to
X = 2 x x + y y .

4.4. Results for the Two-Fluid Classical Wake

The x-component of the fluid velocity is
u i ( x , y ) = 1 w i ( x , y ) = 1 D π 1 + ρ 2 ρ 1 ν 2 ν 1 1 2 1 x 1 2 exp ν 1 4 ν i y 2 x .
The density ratio ρ 2 ρ 1 affects only the amplitude of the velocity deficit and not the effective width of the two-fluid wake. Since
exp ν 1 4 ν i y 2 x < e 1 = 0.3678 for ν 1 4 ν i y 2 x > 1
the effective width W i of each part of the two-fluid wake is
W i = 2 ν i ν 1 1 2 x 1 2
and therefore
W 2 W 1 = ν 2 ν 1 1 2 .
In Figure 2, the velocity u i ( x , y ) is plotted against y at x = 2 for ρ 2 ρ 1 = 10 and ν 2 ν 1 = 25 . We see that the effective width of the lower wake is approximately five times greater than that of the upper wake, in agreement with the ratio (173).
The condition (143) for the pressure difference across the interface becomes using (150), (161), and k = 0 ,
p 2 ( x , 0 ) p 1 ( x , 0 ) = 1 R e 1 μ 2 μ 1 D π 1 + ρ 2 ρ 1 ν 2 ν 1 1 2 x 3 2 .
Since terms of order 1 R e are neglected, it follows that
p 2 ( x , 0 ) = p 1 ( x , 0 )
and that the pressure is continuous across the interface. This agrees with (43), derived by Herczynski et al. [1], since ϕ ( x ) = 0 .

5. Invariant Solution for the Two-Fluid Momentumless Wake

Invariant solutions for the two-fluid momentumless wake will now be investigated by using the same procedure as described in Section 4 for the two-fluid classical wake. The conserved vectors (72) for the upper and lower wakes of the two-fluid momentumless wake, expressed in terms of the stream function defined by (94), are
T i 1 = ν 1 ν i y 2 ψ i y 2 x ψ i y , T i 2 = y 2 ψ i y y + 2 y ψ i y + 2 x ψ i x .
The index i will again be suppressed in all quantities, except in the ratio ν i ν 1 and in the interface conditions.

5.1. Associated Lie Point Symmetries

The Lie point symmetry is given by (103). Consider first condition (107). Using (176) for T 1 ,
X ( T 1 ) = 2 ξ 1 ψ y + 2 ν 1 ν i y ξ 2 ψ y + ν 1 ν i y 2 2 x ζ 2
where the prolongation coefficient ζ 2 is given by (110). When expanded fully and after cancellation of terms, (107) is
2 ξ 1 ψ y + 2 ν 1 ν i y ξ 2 ψ y + ν 1 ν i y 2 η y + η ψ ψ y ξ 1 y ψ x ξ 1 ψ ψ x ψ y 2 x η y + η ψ ψ y + y 2 ξ 1 y ψ y y + ξ 1 ψ ψ y ψ y y 2 y ξ 1 y ψ y + ξ 1 ψ ψ y 2 = 0 .
Separating (178) by the independent partial derivatives ψ y ψ y y and ψ y y gives
ξ 1 ψ = 0 , ξ 1 y = 0
and therefore ξ 1 = ξ 1 ( x ) . Separating (178) by ψ y yields
2 ξ 1 + 2 ν 1 ν i y ξ 2 + ν 1 ν i y 2 2 x η ψ = 0 .
Finally, the remaining terms independent of partial derivatives of ψ are
ν 1 ν i y 2 2 x η y = 0
and hence η = η ( x , ψ ) .
Hence, for the first component (107)
ξ 1 = ξ 1 ( x ) , ξ 2 = ξ 2 ( x , y , ψ ) , η = η ( x , ψ ) ,
which are related by condition (180).
Consider the next condition (108), where the Lie point symmetry X is given (182) subject to (180). Using (176) for T 2 ,
X ( T 2 ) = 2 ξ 1 ψ x 2 y ξ 2 ψ y y + 2 ξ 2 ψ y + 2 x ζ 1 + 2 y ζ 2 y 2 ζ 22 ,
where the prolongation coefficients ζ 2 and ζ 22 are defined by (110) and (115) and
ζ 1 = D 1 ( η ) ψ k D 1 ( ξ k ) .
Condition (108) is expanded and separated according to the powers and products of the independent partial derivatives of ψ :
ψ y ψ y y : ξ 2 ψ = 0 ,
ψ y y : 2 y ξ 2 + 2 y 2 ξ 2 y y 2 η ψ y 2 d ξ 1 d x = 0 ,
ψ x ψ y : ξ 2 ψ = 0 ,
ψ y 3 : 2 ξ 2 ψ 2 = 0 ,
ψ y 2 : 2 y ξ 2 ψ y 2 2 η ψ 2 + 2 y 2 2 ξ 2 y x = 0 ,
ψ y : 2 ξ 2 2 y ξ 2 y + y 2 2 ξ 2 y 2 ν 1 ν i y 2 ξ 2 x + 2 y d ξ 1 d x + 2 y η ψ = 0 ,
ψ x : ξ 1 ( x ) + x η ψ = 0 ,
Remainder : η x = 0 ,
where the Remainder is independent of the partial derivatives of ψ .
It follows from (185) that ξ 2 = ξ 2 ( x , y ) and from (192) that η = η ( ψ ) . Hence, from (189)
η ( ψ ) = a 1 ψ + a 2
where a 1 and a 2 are constants and from (191),
ξ 1 ( x ) = a x .
By substituting (193) and (194) for ξ 1 ( x ) and η ( x ) into condition (180) it is found that
ξ 2 = 1 2 a 1 y .
It is readily verified that the remaining two conditions, (186) and (193), are identically satisfied. Hence
X = a 1 x x 1 2 a 1 y y + ( a 1 ψ + a 2 ) ψ .
We consider the general case in which a 1 0 and rewrite X as
X = 2 x x + y y 2 ( ψ + c ) ψ
where c = a 2 a 1 is an arbitrary constant.
Equation (197) is the Lie point symmetry associated with the conserved vectors (176) in the upper and lower wakes. The constant c is different in each part of the two-fluid dimensionless wake. Unlike (122) the two-fluid classical wake, the Lie point symmetry (197) does not contain an arbitrary function.

5.2. General Form of the Invariant Solution

An invariant solution ψ = Ψ ( x , y ) of the PDE (95) generated by the Lie point symmetry (197) satisfies the condition (123), which takes the form
2 x Ψ x + y Ψ y = 2 ( Ψ + c ) .
The differential equations of the characteristic curves of (198) are
d x 2 x = d y y = d Ψ 2 ( Ψ + c ) .
Two independent solutions of (199) are
y x 1 2 = b 1 , x ( Ψ + c ) = b 2 ,
where b 1 and b 2 are constants. The general solution of the PDE (198) is b 2 = F ( b 1 ) where F is an arbitrary function. Hence
ψ ( x , y ) = 1 x F ( ξ ) c , ξ = y x 1 2 .
Since an additive constant in a stream function does not contribute to the velocity components, we take c = 0 . The Lie point symmetry (197) and the similarity variable ξ are therefore the same in the upper and lower parts of the wake.
The conserved quantity (91), expressed in terms of the invariant solution (201), is
K * = ρ 2 ρ 1 ν 1 ν 2 ϕ ( x ) x 1 2 ξ 2 d F 2 d ξ d ξ + ϕ ( x ) x 1 2 ξ 2 d F 1 d ξ d ξ .
For K * to be a constant independent of x, it is sufficient that
ϕ ( x ) x 1 2 = k
where k is a constant. The equation of the interface is again
ϕ ( x ) = k x 1 2 .
The interface ξ = k and the conserved quantity become
K * = ρ 2 ρ 1 ν 1 ν 2 k ξ 2 d F 2 d ξ d ξ + k ξ 2 d F 1 d ξ d ξ .
The velocity components (94) and the conditions (95) to (101) are now expressed in terms of the invariant solution (201).
Velocity components:
w i ( x , y ) = x 3 2 d F i d ξ ,
v i ( x , y ) = 1 2 x 2 2 F i ( ξ ) + ξ d F i d ξ .
Partial differential equation:
2 ν i ν 1 d 3 F i d ξ 3 + d d ξ ξ d F i d ξ + 2 d F i d ξ = 0 .
Boundary conditions:
d F 1 d ξ ( ) = 0 , d 2 F 1 d ξ 2 ( ) = 0 ,
d F 2 d ξ ( ) = 0 , d 2 F 2 d ξ 2 ( ) = 0 .
Interface conditions:
d F 1 d ξ ( k ) = d F 2 d ξ ( k ) ,
F 1 ( k ) = F 2 ( k ) ,
d 2 F 1 d ξ 2 ( k ) = μ 2 μ 1 d 2 F 2 d ξ 2 ( k ) ,
3 R e 1 μ 2 μ 1 d F 1 d ξ ( k ) x 5 2 = p 2 ( x , ϕ ( x ) ) p 1 ( x , ϕ ( x ) ) .
The interface condition (214) was simplified using (211) and (213). The Lie point symmetry, which generates the invariant solution for the upper and lower wakes, is the scaling symmetry
X = 2 x x + y y 2 ψ ψ .

5.3. Invariant Solutions for the Two-Fluid Momentumless Wake

The differential Equation (208) can be integrated at least one time, which is another example of the Double Reduction Theorem [10]. Integrating (208) yields
2 ν i ν 1 d 2 F i d ξ 2 + ξ d F i d ξ + 2 F i = A i
where A i is a constant. As well as the boundary conditions (209) and (210), further boundary conditions at ξ = ± are required. It will be verified that the solution satisfies the extra boundary conditions. It will be assumed that there is no entrainment of fluid by the wake at ξ = ± , which implies that
v i ( x , ± ) = 0
where the + sign applies for i = 1 and the − sign for i = 2 . Then, from (207)
2 F i ( ± ) + lim ξ ± ξ d F i d ξ = 0 .
By imposing also the boundary conditions (209) and (210), it follows that A i = 0 .
By multiplying (216) by ξ it can be expressed in the form
2 ν i ν 1 d d ξ ξ d F i d ξ d F i d ξ + d d ξ ξ 2 F i = 0
which can be integrated to give
ξ d F i d ξ F i ( ξ ) + ν 1 2 ν i ξ 2 F i = E i
where E i is a constant. We assume that separately
F i ( ± ) = 0 and lim ξ ± ξ d F i d ξ ( ξ ) = 0 ,
which implies (218) and further that
lim ξ ± ξ 2 F i ( ξ ) = 0 .
Hence E i = 0 and (220) takes the form
d F i d ξ = 1 ξ ν 1 2 ν i ξ F i
which is variable-separable. It is found that
F i ( ξ ) = B i ξ exp ν 1 4 ν i ξ 2
where B i is a constant. It is readily verified that the boundary conditions (218), (221), and (222) are identically satisfied by the solution (224). Unlike the classical wake, for the momentumless wake, v i ( x , y ) depends on F i ( ξ ) which therefore needs to be calculated. The constant B i cannot be obtained from the boundary conditions, which are identically satisfied by (224).
The interface conditions (211) to (214) become
B 1 1 1 2 k 2 B 2 1 ν 1 2 ν 2 k 2 exp 1 4 1 ν 1 ν 2 k 2 = 0 ,
k B 1 B 2 exp 1 4 1 ν 1 ν 2 k 2 = 0 ,
k B 1 ( 6 k 2 ) B 2 μ 2 μ 1 6 ν 1 ν 2 k 2 exp 1 4 1 ν 1 ν 2 k 2 = 0 ,
3 R e 1 μ 2 μ 1 B 1 1 1 2 k 2 exp 1 4 k 2 x 5 2 = p 2 ( x , ϕ ( x ) ) p 1 ( x , ϕ ( x ) ) .
There are two cases to consider, k = 0 and k 0 .

5.3.1. Case k = 0

From (204), the interface is the x-axis, ϕ ( x ) = 0 . Equations (226) and (227) are identically satisfied, while (225) reduces to B 1 = B 2 = B . The solution (224) becomes
F i ( ξ ) = B ξ exp ν 1 4 ν i ξ 2 .
The remaining interface condition (228) takes the form
3 R e 1 μ 2 μ 1 B x 5 2 = p 2 ( x , 0 ) p 1 ( x , 0 ) .
The constant B is obtained from the conserved quantity (205). Since k = 0 , it follows that ϕ ( x ) = 0 and therefore from (90) that R M ( ϕ ( x ) , w 1 , w 2 ) = 0 . The quantity K * given by (91) is therefore independent of x without approximation. Substituting (229) into (205) yields
K * = B ρ 2 ρ 1 ν 1 ν 2 I 3 1 2 ν 1 ν 2 I 4 + I 5 + I 6
where
I 3 = 0 ξ 2 exp ν 1 4 ν 2 ξ 2 d ξ = 2 ν 2 ν 1 5 2 π ,
I 4 = 0 ξ 4 exp ν 1 4 ν 2 ξ 2 d ξ = 12 ν 2 ν 1 5 2 π ,
I 5 = 0 ξ 2 exp 1 4 ξ 2 d ξ = 2 π ,
I 6 = 0 ξ 4 exp 1 4 ξ 2 d ξ = 12 π .
The integrals I 3 to I 6 were evaluated by transforming them to Gamma functions defined by (160) and using the properties
Γ ( n ) = ( n 1 ) Γ ( n 1 ) , n > 1 ; Γ 1 2 = π .
Hence
B = K * 4 π ρ 2 ρ 1 ν 2 ν 1 1 2 + 1
which can be expressed as
B = K * χ 1 2 4 π 1 + χ 1 2
where χ is defined by (160).

5.3.2. Case k 0

Then from (226)
B 1 = B 2 exp 1 4 1 ν 1 ν 2 k 2
and by substituting (239) into (225) we obtain
ν 1 ν 2 1 B 2 = 0 .
Since B 2 0 for a nontrivial solution, it follows that
ν 1 ν 2 = 1
and therefore from (239), B 1 = B 2 = B . The solution (224) becomes
F ( ξ ) = B ξ exp 1 4 ξ 2
which is the same for the upper and lower wakes. The interface condition (227) reduces to
1 μ 2 μ 1 ( 6 k 2 ) B = 0 .
However, since ν 1 = ν 2 ,
μ 2 μ 1 = ρ 2 ρ 1 > 1
for stability. Hence, for B 0 ,
k = ± 6 .
The equation of the interface (204) becomes
ϕ ( x ) = ± 6 x 1 2 .
The remaining interface condition ((228)) assumes the form
6 B R e 1 μ 2 μ 1 exp 3 2 x 5 2 = p 2 ( x , ϕ ( x ) ) p 1 ( x , ϕ ( x ) )
where ϕ ( x ) is given by (246).
The boundary conditions (209) and (210) are identically satisfied by the solution (229). The constant B is obtained from the conserved quantity (205) and takes different values, B + and B , for k = + 6 and k = 6 . Substitute (229) into (205). For k = + 6 ,
K = B + ρ 2 ρ 1 + 1 I 5 1 2 I 6 + ρ 2 ρ 1 1 J 1 1 2 J 2
while for k = 6
K = B ρ 2 ρ 1 + 1 I 5 1 2 I 6 ρ 2 ρ 1 1 J 1 1 2 J 2 ,
where I 5 and I 6 are given by (234) and (235) and
J 1 = 0 6 ξ 2 exp 1 4 ξ 2 d ξ = 2 π erf 3 2 1 2 4 3 2 1 2 exp 3 2 ,
J 2 = 0 6 ξ 4 exp 1 4 ξ 2 d ξ = 12 π erf 3 2 1 2 48 3 2 1 2 exp 3 2 ,
where the error function erf ( x ) is defined as [20]
erf ( x ) = 2 π 0 x exp u 2 d u .
Hence
B + = K 4 π ρ 2 ρ 1 + 1 + ρ 2 ρ 1 1 S ,
B = K 4 π ρ 2 ρ 1 + 1 ρ 2 ρ 1 1 S ,
where
S = erf 3 2 1 2 5 π 3 2 1 2 exp 3 2 = 0.1458 .
Thus B + < 0 and B < 0 .
In the derivation of the conserved quantity (91) for the momentumless wake, R M was neglected. Using (93) for R M and the solution for k = ± 6 , it can be verified that
R M ( ϕ ( x ) , w 1 ( x , ϕ ( x ) ) ) = 2 6 exp 3 2 B ρ 2 ρ 1 1 1 x .
Unlike R C and R M for k = 0 , R M for k = ± 6 is non-zero, but it is small for the far wake with x > > 1 .

5.4. Results for the Two-Fluid Momentumless Wake

There are three cases to analyse— k = 0 and k = ± 6 .

5.4.1. Case k = 0

From (206) and (229), the x-component of the fluid velocity is
v i ( x , y ) = 1 w i ( x , y ) = 1 1 2 ν 1 ν i B x 3 2 2 ν i ν 1 y 2 x exp 1 4 ν 1 ν i y 2 x
where B is given by (237). Since B < 0 we see that u i ( x , 0 ) > 1 . Additionally
u i y ( x , y ) = 1 4 ν 1 ν i 2 B y x 5 2 6 ν i ν 1 y 2 x exp 1 4 ν 1 ν i y 2 x .
In Figure 3, the velocity u i ( x , y ) is plotted against y at x = 2 for ρ 2 ρ 1 = 10 and ν 2 ν 1 = 25 .
From (257), the velocity deficit is zero at points C and M where
y C = 2 x 1 2 , y M = 2 ν 2 ν 1 1 2 x 1 2 .
From (258) the local maxima of the velocity deficit are at points A and N where
y A = 6 x 1 2 , y N = 6 ν 2 ν 1 1 2 x 1 2 .
The magnitudes of the local maxima of the velocity deficit, A D and N P , are equal and given by
A D = N P = 2 | B | exp 3 2 x 3 2 .
The minimum velocity deficit is at y = 0 and its magnitude satisfies
H G = | B | x 3 2 .
The ratio of the magnitude of the velocity deficit at y = 0 to the magnitude at y A and y B is
H G A D = 1 2 exp 3 2 = 2.24
which is independent of both ρ 2 ρ 1 and ν 2 ν 1 .
The effective width of the two fluid momentumless wake does not depend on the density ratio ρ 2 ρ 1 and increases as the viscosity ratio ν 2 ν 1 increases. The magnitudes of the maximum and minimum velocity deficits depend on ρ 2 ρ 1 and ν 2 ν 1 only through B and decrease as ρ 2 ρ 1 and ν 2 ν 1 increase.
The interface condition (228) for the pressure difference becomes setting k = 0 and using (237),
p 2 ( x , 0 ) p 1 ( x , 0 ) = 3 4 R e 1 μ 2 μ 1 K π ρ 2 ρ 1 ν 2 ν 1 1 2 + 1 x 5 2 .
Since terms of order 1 R e are neglected, the pressure is continuous across the interface.

5.4.2. Case k = + 6

The viscosity ratio ν 2 ν 1 = 1 and the interface is at y = + 6 x 1 2 . From (206) and (242),
u i ( x , y ) = 1 w i ( x , y ) = 1 1 2 B + x 3 2 2 y 2 x exp 1 4 y 2 x
and
u i y ( x , y ) = 1 4 B + y x 5 2 6 y 2 x exp y 2 4 x
where B + is given by (253).
In Figure 4, the velocity component u i ( x , y ) is plotted against y at x = 2 for ρ 2 ρ 1 = 10 . The velocity deficit is zero at
y C = 2 x 1 2 , y M = 2 x 1 2 .
The local maximum of the velocity deficit is at
y A = 6 x 1 2 , y N = 6 x 1 2
and
A D = N P = 2 | B + | exp 3 2 x 3 2 .
The minimum velocity deficit is at y = 0 and its magnitude satisfies
H G = | B + | x 3 2 .
The ratio of the magnitude of the velocity deficit at y = 0 to the magnitude at y A and y B is given by (263), as for k = 0 .
The interface between the two fluids is at the turning point A in Figure 4. The magnitude of the maximum and minimum velocity deficits depend on ρ 2 ρ 1 and decrease as ρ 2 ρ 1 increases. The interface condition (228) for the pressure difference becomes on setting k = 6 ,
p 2 ( x , ϕ ( x ) ) p 1 ( x , ϕ ( x ) ) = 6 R e exp 3 2 1 μ 2 μ 1 B + x 5 3 .
Since terms of order 1 R e are neglected, the pressure is continuous across the interface.

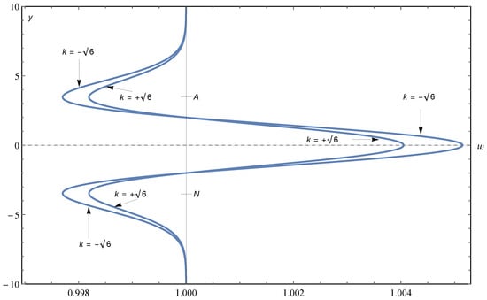
5.4.3. Case k = 6

The interface is at y = 6 x 1 2 . The results for k = 6 apply with B + replaced by B . Since ρ 2 ρ 1 > 1 for stability, B > B + . In Figure 5, the velocity component u i ( x , y ) for k = + 6 and k = 6 are plotted for comparison. For k = 6 , the interface between the two fluids is at the turning point N on the y-axis.

6. Conclusions

Four new solutions for the two-fluid two-dimensional wake were found. For the two-fluid classical wake and one of the two-fluid momentumless wakes there was no deflection of the interface which was along the positive x-axis. The four new solutions are subject to conditions. For the two-fluid classical wake, the solution exists provided ρ 2 ρ 1 1 which is satisfied because ρ 2 > ρ 1 for stability. For the three two-fluid momentumless wakes, the condition of no entrainment of fluid at y = ± was imposed while the wakes with interface y = ± 6 x 1 2 exist provided ν 2 ν 1 = 1 .
The conservation laws for the system of partial differential equations in the upper and lower wakes played a significant part in the solution. The derivation of the conserved vectors for the classical and momentumless wakes as a linear combination of four conserved vectors unified the theory. There is not a conserved quantity for the upper and lower wakes separately because of non-zero interface terms which are eliminated by an additional condition. The conserved quantity for the two-fluid classical wake was derived from the conservation laws and the interface condition for the shear stress while the conserved quantity for the two-fluid momentumless wake was derived from the conservation laws and the condition that the total drag on the obstacle is zero. From the conserved quantity, the general form of the equation of the interface y = k x 1 2 and the constant of integration B were derived.
The four interface conditions also played a significant part in the solution. The interface conditions on the tangential and normal components of the fluid velocity and on the tangential component of the stress determined the value of k in the equation of the interface, while the fourth interface condition on the normal stress determined the pressure difference across the interface.
The derivation of the associated Lie point symmetry required a prolongation only to second order. Since the partial differential equation for the stream function is third order, a prolongation to third order would be required to derive the Lie point symmetry from the invariance condition. It was therefore easier to derive the associated Lie point symmetry which could be done manually. Since the partial differential equation for the stream function was reduced to an ordinary differential equation by an associated Lie point symmetry the resulting ordinary differential equation could be integrated at least once by the Double Reduction Theorem [10]. We saw that the differential equations could be integrated completely and analytical solutions could be derived.
We found that the effective width of the two-fluid wakes depends on the viscosity ratio ν 2 ν 1 and is independent of the density ratio ρ 2 ρ 1 . The maximum and minimum magnitudes of the velocity deficit depend on both ρ 2 ρ 1 and ν 2 ν 1 through the constant B. When ν 2 ν 1 1 the classical and momentumless two-fluid wakes are not symmetrical about the interface, ϕ ( x ) = 0 , but the magnitude of the maximum velocity deficit in the upper and lower halves of the momentumless wake are equal. For all three two-fluid momentumless wakes, the ratio of the magnitude of the velocity deficit at y = 0 to the magnitude at the two local turning points is independent of ρ 2 ρ 1 and ν 2 ν 1 and is approximately 2.24 . The two-fluid classical and momentumless wake for ν 2 ν 1 1 both depend on the parameter χ = ρ 1 μ 1 ρ 2 μ 2 .
The advantages of the methods used can be summarised as follows:
  • The boundary layer and far wake approximations lead to an analytical solution.
  • The multiplier method was a systematic way to derive the conservation laws and unified the theory of the classical and momentumless wakes.
  • The conserved quantities for the two-fluid classical and momentumless wakes could be derived from the conservation laws for the upper and lower parts of the wake and the interface and boudary conditions.
  • The associated Lie point symmetry, which is all that is required to derive the general form of the invariant solution, was easier to calculate than the Lie point symmetry of the partial differential equation and could be obtained manually.
  • The double reduction theorem ensured that the ordinary differential equation obtained by the first reduction could be integrated at least one time.
  • The equation of the interface was obtained from the conserved quantity.
There is scope for future work on the two-fluid wake, which is a relatively new area of investigation. Research has been done on the far wake and on the laminar wake. Two-fluid classical and momentumless near wakes and two-fluid turbulent near and far wakes could be investigated.

Author Contributions

Conceptualization, K.P. and D.P.M.; methodology, K.P. and D.P.M.; validation, K.P. and D.P.M.; formal analysis, K.P. and D.P.M.; investigation, K.P. and D.P.M.; writing—original draft preparation, K.P. and D.P.M.; writing—review and editing, K.P. and D.P.M.; visualization, K.P. and D.P.M.; supervision, D.P.M. All authors have read and agreed to the published version of the manuscript.

Funding

K.P. and D.P.M. received funding from the University of the Witwatersrand, Johannesburg. D.P.M. also received funding from the National Research Foundation, Pretoria, South Africa, under grant number 96270.

Data Availability Statement

Not applicable.

Acknowledgments

We thank Ashleigh Hutchinson and the reviewers for constructive comments on the paper. We also thank the University of the Witwatersrand, Johannesburg, for financial support. D.P.M. thanks the National Research Foundation, Pretoria, South Africa for financial support under grant number 96270.

Conflicts of Interest

The authors declare no conflict of interest.

References

  1. Herczynski, A.; Weidman, P.D.; Burde, G.I. Two-fluid jets and wakes. Phys. Fluids 2004, 16, 1037–1048. [Google Scholar] [CrossRef]
  2. Goldstein, S. On the two-dimensional steady flow of a viscous fluid behind a solid body.―I. Proc. R. Soc. London. Ser. A 1933, 142, 545–562. [Google Scholar]
  3. Naz, R.; Mason, D.P.; Mahomed, F.M. Conservation laws and conserved quantities for laminar two-dimensional and radial jets. Nonlinear Anal. Real World Appl. 2009, 10, 2641–2651. [Google Scholar] [CrossRef]
  4. Kokela, L.N.; Mason, D.P.; Hutchinson, A.J. Conservation laws and conserved quantities for the two-dimensional laminar wake. Int. J. Mod. Phys. B 2016, 30, 1640014. [Google Scholar] [CrossRef]
  5. Birkhoff, G.; Zorantello, E.H. Jets, Wakes and Cavities; Academic Press: New York, NY, USA, 1957. [Google Scholar]
  6. Naz, R.; Mahomed, F.M.; Mason, D.P. Comparison of different approaches to conservation laws for some partial differential equations in fluid mechanics. Appl. Math. Comput. 2008, 205, 212–230. [Google Scholar] [CrossRef]
  7. Steudel, H. Über die Zuordnung zwischen lnvarianzeigenschaften und Erhaltungssätzen. Z. Für Naturforschung A 1962, 17, 129–132. [Google Scholar] [CrossRef]
  8. Kara, A.H.; Mahomed, F.M. Relationship between symmetries and conservation laws. Int. J. Theor. Phys. 2000, 39, 23–40. [Google Scholar] [CrossRef]
  9. Kara, A.H.; Mahomed, F.M. A basis of conservation laws for partial differential equations. J. Nonlinear Math. Phys. 2002, 9, 60–72. [Google Scholar] [CrossRef]
  10. Sjöberg, A. Double reduction of PDEs from the association of symmetries with conservation laws with applications. Appl. Math. Comput. 2007, 184, 608–616. [Google Scholar] [CrossRef]
  11. Mason, D.P.; Hill, D.L. Invariant solution for an axisymmetric turbulent free jet using a conserved vector. Commun. Nonlinear Sci. Numer. Simul. 2013, 18, 1607–1622. [Google Scholar] [CrossRef]
  12. Magan, A.B.; Mason, D.P.; Mahomed, F.M. Analytical solution in parametric form for the two-dimensional free jet of a power-law fluid. Int. J. Non-Linear Mech. 2016, 85, 94–108. [Google Scholar] [CrossRef]
  13. Magan, A.B.; Mason, D.P.; Mahomed, F.M. Analytical solution in parametric form for the two-dimensional liquid jet of a power-law fluid. Int. J. Non-Linear Mech. 2017, 93, 53–64. [Google Scholar] [CrossRef]
  14. Mubai, E.; Mason, D.P. Two-Dimensional Turbulent Thermal Free Jet: Conservation Laws, Associated Lie Symmetry and Invariant Solutions. Symmetry 2022, 14, 1727. [Google Scholar] [CrossRef]
  15. Hutchinson, A.J.; Mason, D.P.; Mahomed, F.M. Solutions for the turbulent classical wake using Lie symmetry methods. Commun. Nonlinear Sci. Numer. Simul. 2015, 23, 51–70. [Google Scholar] [CrossRef]
  16. Hutchinson, A.J.; Mason, D.P. Lie symmetry methods applied to the turbulent wake of a symmetric self-propelled body. Appl. Math. Model. 2016, 40, 3062–3080. [Google Scholar] [CrossRef]
  17. Lock, R.C. The velocity distribution in the laminar boundary layer between parallel streams. Q. J. Mech. Appl. Math. 1951, 4, 42–63. [Google Scholar] [CrossRef]
  18. Gillespie, R.P. Integration; Oliver and Boyd: Edinburgh, UK, 1947; pp. 90–95, 113–116. [Google Scholar]
  19. Ibragimov, N.C. Introduction to Modern Group Analysis; Tay: Singapore, 2000. [Google Scholar]
  20. Sneddon, I.N. Special Functions of Mathematical Physics and Chemistry; Longman Mathematical Texts; Addison-Wesley Longman Ltd.: Boston, MA, USA, 1980; p. 24. [Google Scholar]
Figure 1. Schematic diagram of a two-fluid wake by a slender symmetric body with velocity profile in the far wake. The dotted line is the interface between the two fluids.
Figure 1. Schematic diagram of a two-fluid wake by a slender symmetric body with velocity profile in the far wake. The dotted line is the interface between the two fluids.
Symmetry 15 00961 g001
Figure 2. Velocity component u i ( x , y ) of the classical two-fluid wake, where i = 1 is the upper fluid and i = 2 is the lower fluid, plotted against y at x = 2 for D = 1 , ρ 2 ρ 1 = 10 and ν 2 ν 1 = 25 . The interface is y = 0 .
Figure 2. Velocity component u i ( x , y ) of the classical two-fluid wake, where i = 1 is the upper fluid and i = 2 is the lower fluid, plotted against y at x = 2 for D = 1 , ρ 2 ρ 1 = 10 and ν 2 ν 1 = 25 . The interface is y = 0 .
Symmetry 15 00961 g002
Figure 3. Velocity component u i ( x , y ) for the two-fluid momentumless wake for k = 0 , where i = 1 is the upper fluid and i = 2 is the lower fluid, plotted against y at x = 2 for K = 1 , ρ 2 ρ 1 = 10 and ν 2 ν 1 = 25 . The interface is y = 0 .
Figure 3. Velocity component u i ( x , y ) for the two-fluid momentumless wake for k = 0 , where i = 1 is the upper fluid and i = 2 is the lower fluid, plotted against y at x = 2 for K = 1 , ρ 2 ρ 1 = 10 and ν 2 ν 1 = 25 . The interface is y = 0 .
Symmetry 15 00961 g003
Figure 4. Velocity component u i ( x , y ) for the two-fluid momentumless wake for k = + 6 , where i = 1 is the upper fluid and i = 2 is the lower fluid, plotted against y at x = 2 for K = 1 and ρ 2 ρ 1 = 10 . The interface is y = 6 x 1 2 at point A.
Figure 4. Velocity component u i ( x , y ) for the two-fluid momentumless wake for k = + 6 , where i = 1 is the upper fluid and i = 2 is the lower fluid, plotted against y at x = 2 for K = 1 and ρ 2 ρ 1 = 10 . The interface is y = 6 x 1 2 at point A.
Symmetry 15 00961 g004
Figure 5. Velocity component u i ( x , y ) for the two-fluid momentumless wake for k = + 6 and k = 6 , where i = 1 is the upper fluid and i = 2 is the lower fluid, plotted against y at x = 2 for K = 1 and ρ 2 ρ 1 = 10 . For k = + 6 the interface is at the turning point A while for k = 6 the interface is at the turning point N.
Figure 5. Velocity component u i ( x , y ) for the two-fluid momentumless wake for k = + 6 and k = 6 , where i = 1 is the upper fluid and i = 2 is the lower fluid, plotted against y at x = 2 for K = 1 and ρ 2 ρ 1 = 10 . For k = + 6 the interface is at the turning point A while for k = 6 the interface is at the turning point N.
Symmetry 15 00961 g005
Disclaimer/Publisher’s Note: The statements, opinions and data contained in all publications are solely those of the individual author(s) and contributor(s) and not of MDPI and/or the editor(s). MDPI and/or the editor(s) disclaim responsibility for any injury to people or property resulting from any ideas, methods, instructions or products referred to in the content.

Share and Cite

MDPI and ACS Style

Pillay, K.; Mason, D.P. Two-Fluid Classical and Momentumless Laminar Far Wakes. Symmetry 2023, 15, 961. https://doi.org/10.3390/sym15050961

AMA Style

Pillay K, Mason DP. Two-Fluid Classical and Momentumless Laminar Far Wakes. Symmetry. 2023; 15(5):961. https://doi.org/10.3390/sym15050961

Chicago/Turabian Style

Pillay, Kiara, and David Paul Mason. 2023. "Two-Fluid Classical and Momentumless Laminar Far Wakes" Symmetry 15, no. 5: 961. https://doi.org/10.3390/sym15050961

APA Style

Pillay, K., & Mason, D. P. (2023). Two-Fluid Classical and Momentumless Laminar Far Wakes. Symmetry, 15(5), 961. https://doi.org/10.3390/sym15050961

Note that from the first issue of 2016, this journal uses article numbers instead of page numbers. See further details here.

Article Metrics

Back to TopTop