Multiple Alternatives of Offset Boosting in a Symmetric Hyperchaotic Map
Abstract
1. Introduction
- (1)
- A new control knob is found, which can control the interval and direction of attractor self-reproduction.
- (2)
- Various alternatives of offset boosting are systematically explored, which include initially controlled offset boosting, parameter-oriented offset boosting and competitive offset boosting.
- (3)
- Competitive offset boosting is firstly discussed, where the newly introduced constants show the function of offset boosting determining the direction of the shifted attractor in the phase space, and as a result, based on the constant, the bipolar and unipolar chaotic signals can be switched accordingly.
- (4)
- Periodic windows are caught by the plot of the bifurcation diagram, which poses a great threat to engineering applications. However, competitive offset boosting can be easily applied to cross this interval and reach hyperchaos.
- (5)
- An STM32-based circuit implementation is constructed to prove two different offset boosting regimes. PRNG is employed to demonstrate the practical application of the proposed map.
2. A 2D Hyperchaotic Map
2.1. Model Description
2.2. Bifurcation Analysis
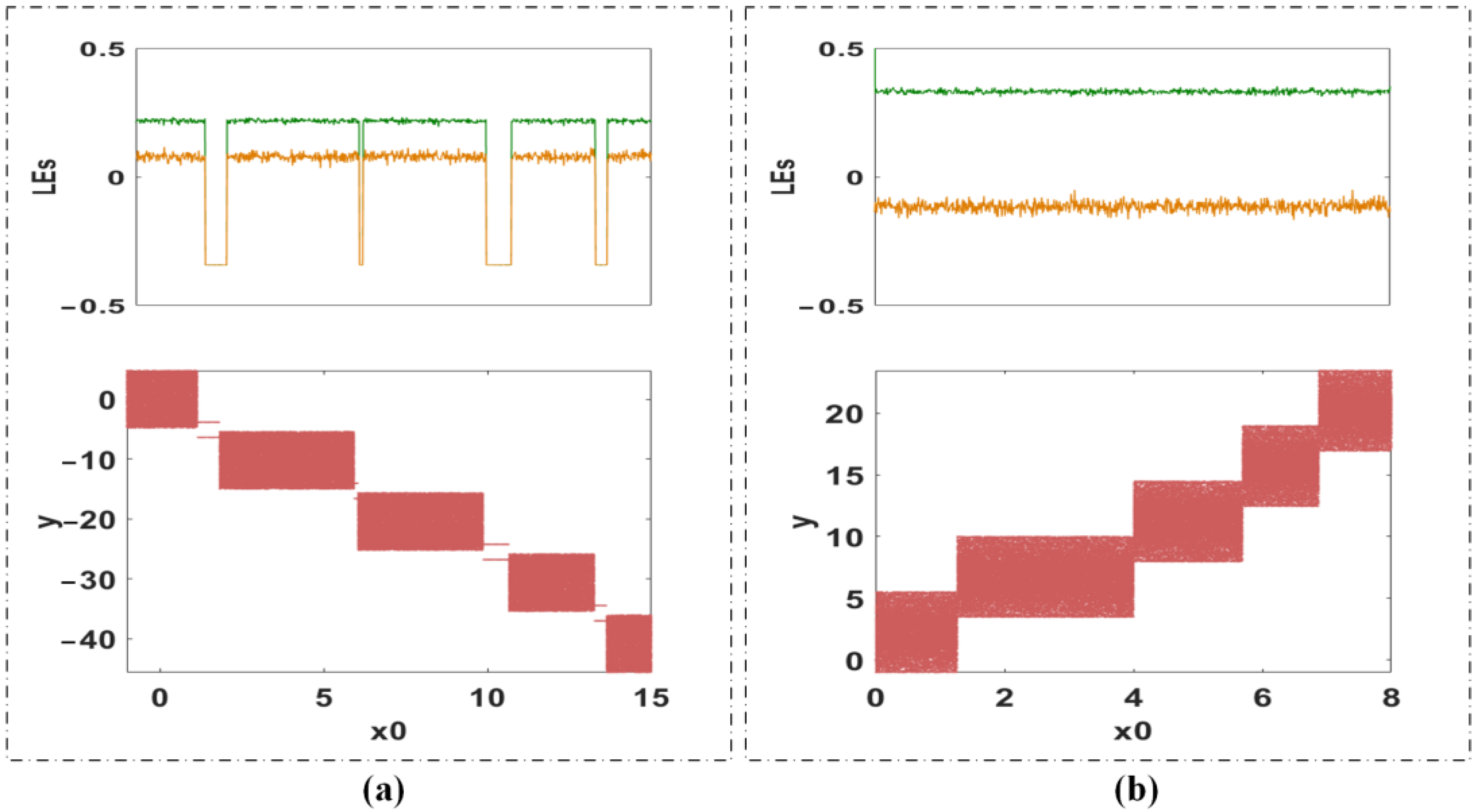
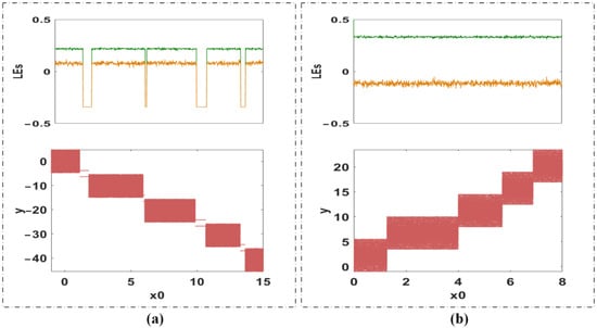
3. Multiple Alternatives of Offset Boosting
3.1. Initially Controlled Offset Boosting
3.2. Parameter-Oriented Offset Boosting
3.3. Competitive Offset Boosting
4. Hardware Implementation and Application
4.1. Hardware Implementation Based on STM32
4.2. Application in PRNG
5. Discussion and Conclusions
Author Contributions
Funding
Institutional Review Board Statement
Informed Consent Statement
Data Availability Statement
Conflicts of Interest
References
- Sheng, S.; Wen, H.; Xie, G.; Li, Y. The Reappearance of Poetic Beauty in Chaos. Symmetry 2022, 14, 2445. [Google Scholar] [CrossRef]
- Wang, N.; Li, C.; Bao, H.; Chen, M.; Bao, B. Generating multi-scroll Chua’s attractors via simplified piecewise-linear Chua’s diode. IEEE Trans. Circuits Syst. I Reg. Pap. 2019, 66, 4767–4779. [Google Scholar] [CrossRef]
- Li, Y.; Li, C.; Zhao, Y.; Liu, S. Memristor-type chaotic mapping. Chaos 2022, 32, 021104. [Google Scholar] [CrossRef] [PubMed]
- Li, C.; Lei, T.; Liu, Z. Offset parameter cancellation produces countless coexisting attractors. Chaos 2022, 32, 121104. [Google Scholar] [CrossRef] [PubMed]
- Chen, M.; Ren, X.; Wu, H.; Xu, Q.; Bao, B. Periodically varied initial offset boosting behaviors in a memristive system with cosine memductance. Front. Inf. Technol. Electron. Eng. 2019, 20, 1706–1716. [Google Scholar] [CrossRef]
- Gu, H.; Li, C.; Li, Y.; Ge, X.; Lei, T. Various patterns of coexisting attractors in a hyperchaotic map. Nonlinear Dyn. 2023, 1–12. [Google Scholar] [CrossRef]
- Ma, M.; Xiong, K.; Li, Z.; Sun, Y. Dynamic behavior analysis and synchronization of memristor-coupled heterogeneous discrete neural networks. Mathematics 2023, 11, 375. [Google Scholar] [CrossRef]
- Zhang, Y.; Xu, Y.; Yao, Z.; Ma, J. A feasible neuron for estimating the magnetic field effect. Nonlinear Dyn. 2020, 102, 1849–1867. [Google Scholar] [CrossRef]
- Wang, S.; Wang, C.; Xu, C. An image encryption algorithm based on a hidden attractor chaos system and the Knuth–Durstenfeld algorithm. Opt. Lasers Eng. 2020, 128, 105995. [Google Scholar] [CrossRef]
- Panda, A.K.; Ray, K.C. A coupled variable input LCG method and its VLSI architecture for pseudorandom bit generation. IEEE Trans. Instrum. Meas. 2019, 69, 1011–1019. [Google Scholar] [CrossRef]
- Kong, S.; Li, C.; Jiang, H.; Zhao, Y.; Wang, Y. Asymmetry Evolvement and Controllability of a Symmetric Hyperchaotic Map. Symmetry 2021, 13, 1039. [Google Scholar] [CrossRef]
- Lei, T.; Zhou, Y.; Fu, H.; Huang, L.; Zang, H. Multistability dynamics analysis and digital circuit implementation of entanglement-chaos symmetrical memristive system. Symmetry 2022, 14, 2586. [Google Scholar] [CrossRef]
- Bao, H.; Hua, Z.; Wang, N.; Zhu, L.; Chen, M.; Bao, B. Initials-boosted coexisting chaos in a 2D sine map and its hardware implementation. IEEE Trans. Ind. Informat. 2020, 17, 1132–1140. [Google Scholar] [CrossRef]
- Sprott, J.C.; Jafari, S.; Khalaf, A.J.M.; Kapitaniak, T. Megastability: Coexistence of a countable infinity of nested attractors in a periodically-forced oscillator with spatially-periodic damping. Eur. Phys. J.-Spec. Top. 2017, 226, 1979–1985. [Google Scholar] [CrossRef]
- Zhang, S.; Li, C.; Zheng, J.; Wang, X.; Zeng, Z.; Peng, X. Generating any number of initial offset-boosted coexisting Chua’s double-scroll attractors via piecewise-nonlinear memristor. IEEE Trans. Ind. Electron. 2021, 69, 7202–7212. [Google Scholar] [CrossRef]
- Jafari, S.; Pham, V.T.; Golpayegani, S.M.R.H.; Moghtadaei, M.; Kingni, S.T. The relationship between chaotic maps and some chaotic systems with hidden attractors. Int. J. Bifurc. Chaos 2016, 26, 1650211. [Google Scholar] [CrossRef]
- Panahi, S.; Sprott, J.C.; Jafari, S. Two simplest quadratic chaotic maps without equilibrium. Int. J. Bifurc. Chaos 2018, 28, 1850144. [Google Scholar] [CrossRef]
- Lin, H.; Wang, C.; Sun, J.; Zhang, X.; Sun, Y.; Iu, H.H. Memristor-coupled asymmetric neural networks: Bionic modeling, chaotic dynamics analysis and encryption application. Chaos Solitons Fractals 2023, 166, 112905. [Google Scholar] [CrossRef]
- Chen, M.; Ren, X.; Wu, H.; Xu, Q.; Bao, B. Interpreting initial offset boosting via reconstitution in integral domain. Chaos Solitons Fractals 2020, 131, 109544. [Google Scholar] [CrossRef]
- Iskakova, K.; Alam, M.M.; Ahmad, S.; Saifullah, S.; Akgül, A.; Yılmaz, G. Dynamical study of a novel 4D hyperchaotic system: An integer and fractional order analysis. Math. Comput. Simul. 2023, 208, 219–245. [Google Scholar] [CrossRef]
- Zhou, X.; Li, C.; Li, Y.; Lu, X.; Lei, T. An amplitude-controllable 3-D hyperchaotic map with homogenous multistability. Nonlinear Dyn. 2021, 105, 1843–1857. [Google Scholar] [CrossRef]
- Liang, Z.; Sun, K.; He, S. Design and dynamics of the multicavity hyperchaotic map based on offset boosting. Eur. Phys. J. Plus 2022, 137, 51. [Google Scholar] [CrossRef]
- Li, Y.; Li, C.; Zhang, S.; Chen, G.; Zeng, Z. A Self-reproduction hyperchaotic map with compound lattice dynamics. IEEE Trans. Ind. Electron. 2022, 69, 10564–10572. [Google Scholar] [CrossRef]
- Lin, H.; Wang, C.; Yu, F.; Xu, C.; Hong, Q.; Yao, W.; Sun, Y. An ex-tremely simple multiwing chaotic system: Dynamics analysis, encryption application, and hardware implementation. IEEE Trans. Ind. Electron. 2021, 68, 12708. [Google Scholar] [CrossRef]
- Peng, Y.; Sun, K.; He, S. A discrete memristor model and its application in henon map. Chaos Solitons Fractals 2020, 137, 109873. [Google Scholar] [CrossRef]
- Zhang, S.; Li, C.; Zheng, J.; Wang, X.; Zeng, Z.; Chen, G. Memristive Autapse-Coupled Neuron Model With External Electromagnetic Radiation Effects. IEEE Trans. Ind. Electron. 2022, 1–9. [Google Scholar] [CrossRef]
- Lai, Q.; Lai, C. Design and implementation of a new hyperchaotic memristive map. IEEE Trans. Circuits Syst. II Express Briefs 2022, 69, 2331–2335. [Google Scholar] [CrossRef]
- He, S.; Natiq, H.; Banerjee, S.; Sun, K. Complexity and chimera states in a network of fractional-order laser systems. Symmetry 2021, 13, 341. [Google Scholar] [CrossRef]
- Hua, Z.; Zhou, B.; Zhou, Y. Sine chaotification model for enhancing chaos and its hardware implementation. IEEE Trans. Ind. Electron. 2018, 66, 1273–1284. [Google Scholar] [CrossRef]
- Zhou, Y.; Hua, Z.; Pun, C.M.; Chen, C.P. Cascade chaotic system with applications. IEEE Trans. Cybern. 2014, 45, 2001–2012. [Google Scholar] [CrossRef]
- Ahmad, M.; Al Solami, E.; Wang, X.Y.; Doja, M.N.; Beg, M.S.; Alzaidi, A.A. Cryptanalysis of an image encryption algorithm based on combined chaos for a BAN system, and improved scheme using SHA-512 and hyperchaos. Symmetry 2018, 10, 266. [Google Scholar] [CrossRef]
- Xu, C.; Zhang, W.; Aouiti, C.; Liu, Z.; Yao, L. Bifurcation insight for a fractional-order stage-structured predator–prey system incorporating mixed time delays. Math. Meth. Appl. Sci. 2023, 1–16. [Google Scholar] [CrossRef]
- Gao, X.; Mou, J.; Banerjee, S.; Cao, Y.; Xiong, L.; Chen, X. An effective multiple-image encryption algorithm based on a 3D cube and hyperchaotic map. J. King Saud Univ.-Comput. Inf. Sci. 2022, 34, 1535–1551. [Google Scholar] [CrossRef]
- Xu, C.; Liu, Z.; Li, P.; Yan, J.; Yao, L. Bifurcation mechanism for fractional-order three-triangle multi-delayed neural networks. Neural Process. Lett. 2022, 1–27. [Google Scholar] [CrossRef]
- Xu, C.; Mu, D.; Liu, Z.; Pang, Y.; Liao, M.; Aouiti, C. New insight into bifurcation of fractional-order 4D neural networks incorporating two different time delays. Commun. Nonlinear Sci. 2023, 118, 107043. [Google Scholar] [CrossRef]


















| a | Attractor Type | Lyapunov Exponents |
|---|---|---|
| −2.6 | Hyperchaos | 0.2256, 0.09648 |
| −2.2 | Chaos | 0.1034, −0.0136 |
| −1.96 | Quasi-period | 0, −0.2493 |
| 1.877 | Quasi-period | 0, −0.3204 |
| 2.336 | Periodic points | −0.1134, −0.2626 |
| 2.5 | Chaos | 0.3369, −0.1136 |
| Parameters | a < −1 | a > −1 |
|---|---|---|
| d < 0 | l > 0 | l > 0 |
| PX | NX | |
| NY | PY | |
| d > 0 | l < 0 | l > 0 |
| NX | PX | |
| PY | NY |
| Parameters | a < −1 | −1 < a < 0 | a > 0 |
|---|---|---|---|
| h < 0 | p > 0, q < 0 | p < 0, q > 0 | p < 0, q < 0 |
| PX | NX | NX | |
| NY | PY | NY | |
| h > 0 | p < 0, q > 0 | p > 0, q < 0 | p > 0, q > 0 |
| NX | PX | PX | |
| PY | NY | PY |
| x | y | |
| d | Periodic Offset Boosting | Oscillatory Offset Boosting |
| h | Periodic Offset Boosting | Periodic Offset Boosting |
| No. | Statistical Test Terms | PRNG Generated by x | PRNG Generated by y | ||
|---|---|---|---|---|---|
| Prop | p-Value | Prop | p-Value | ||
| 01 | Frequency | 0.992 | 0.534146 | 0.984 | 0.689019 |
| 02 | Block frequency | 0.984 | 0.804337 | 0.976 | 0.654467 |
| 03 | Cumulative sums | 0.992 | 0.585209 | 0.984 | 0.204076 |
| 04 | Runs | 0.992 | 0.392456 | 1 | 0.178278 |
| 05 | Longest run | 1 | 0.057146 | 1 | 0.437274 |
| 06 | Rank | 0.992 | 0.723129 | 0.992 | 0.242986 |
| 07 | FFT | 0.984 | 0.253551 | 0.992 | 0.090936 |
| 08 | Non-overlapping template | 1 | 0.991468 | 1 | 0.980885 |
| 09 | Overlapping template | 1 | 0.134686 | 0.984 | 0.551026 |
| 10 | Universal | 0.984 | 0.170294 | 1 | 0.324108 |
| 11 | Approximate entropy | 0.968 | 0.204076 | 0.992 | 0.848588 |
| 12 | Random excursions | 1 | 0.162606 | 1 | 0.602458 |
| 13 | Random excursions variant | 1 | 0.275709 | 1 | 0.213309 |
| 14 | Serial | 0.992 | 0.739918 | 0.992 | 0.500934 |
| 15 | Linear complexity | 0.992 | 0.452799 | 1 | 0.324108 |
Disclaimer/Publisher’s Note: The statements, opinions and data contained in all publications are solely those of the individual author(s) and contributor(s) and not of MDPI and/or the editor(s). MDPI and/or the editor(s) disclaim responsibility for any injury to people or property resulting from any ideas, methods, instructions or products referred to in the content. |
© 2023 by the authors. Licensee MDPI, Basel, Switzerland. This article is an open access article distributed under the terms and conditions of the Creative Commons Attribution (CC BY) license (https://creativecommons.org/licenses/by/4.0/).
Share and Cite
Ge, X.; Li, C.; Li, Y.; Zhang, C.; Tao, C. Multiple Alternatives of Offset Boosting in a Symmetric Hyperchaotic Map. Symmetry 2023, 15, 712. https://doi.org/10.3390/sym15030712
Ge X, Li C, Li Y, Zhang C, Tao C. Multiple Alternatives of Offset Boosting in a Symmetric Hyperchaotic Map. Symmetry. 2023; 15(3):712. https://doi.org/10.3390/sym15030712
Chicago/Turabian StyleGe, Xizhai, Chunbiao Li, Yongxin Li, Chuang Zhang, and Changyuan Tao. 2023. "Multiple Alternatives of Offset Boosting in a Symmetric Hyperchaotic Map" Symmetry 15, no. 3: 712. https://doi.org/10.3390/sym15030712
APA StyleGe, X., Li, C., Li, Y., Zhang, C., & Tao, C. (2023). Multiple Alternatives of Offset Boosting in a Symmetric Hyperchaotic Map. Symmetry, 15(3), 712. https://doi.org/10.3390/sym15030712

