Topological Phase Transitions Driven by Sn Doping in (Mn1−xSnx)Bi2Te4
Abstract
1. Introduction
2. Materials and Methods
3. Results and Discussion
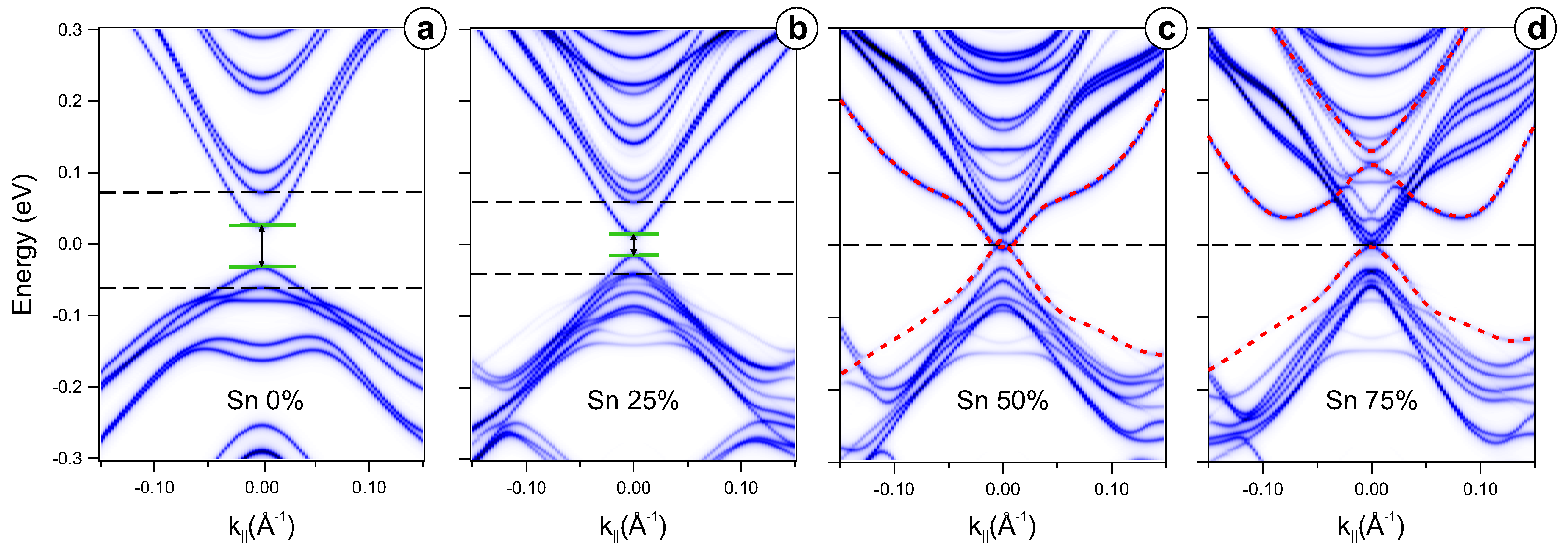
3.1. Infinite Crystal Calculations
3.2. Experimental Results
3.3. Surface Calculations
4. Conclusions
Supplementary Materials
Author Contributions
Funding
Institutional Review Board Statement
Informed Consent Statement
Data Availability Statement
Acknowledgments
Conflicts of Interest
References
- Qi, X.L.; Hughes, T.L.; Zhang, S.C. Topological field theory of time-reversal invariant insulators. Phys. Rev. B 2008, 78, 195424. [Google Scholar] [CrossRef]
 - Qi, X.L.; Zhang, S.C. Topological insulators and superconductors. Rev. Mod. Phys. 2011, 83, 1057–1110. [Google Scholar] [CrossRef]
 - Chang, C.Z.; Zhang, J.; Feng, X.; Shen, J.; Zhang, Z.; Guo, M.; Li, K.; Ou, Y.; Wei, P.; Wang, L.L.; et al. Experimental Observation of the Quantum Anomalous Hall Effect in a Magnetic Topological Insulator. Science 2013, 340, 167–170. [Google Scholar] [CrossRef] [PubMed]
 - Tokura, Y.; Yasuda, K.; Tsukazaki, A. Magnetic topological insulators. Nat. Rev. Phys. 2019, 1, 126–143. [Google Scholar] [CrossRef]
 - Chang, C.; Zhao, W.; Kim, D.; Zhang, H.; Assaf, B.; Heiman, D.; Zhang, S.; Liu, C.; Chan, M.; Moodera, J. High-precision realization of robust quantum anomalous Hall state in a hard ferromagnetic topological insulator. Nat. Mater. 2015, 14, 473–477. [Google Scholar] [CrossRef]
 - Fu, L.; Kane, C.L. Superconducting Proximity Effect and Majorana Fermions at the Surface of a Topological Insulator. Phys. Rev. Lett. 2008, 100, 096407. [Google Scholar] [CrossRef]
 - Moore, J.E. The birth of topological insulators. Nature 2010, 464, 194–198. [Google Scholar] [CrossRef]
 - Otrokov, M.M.; Klimovskikh, I.I.; Bentmann, H.; Estyunin, D.A.; Zeugner, A.; Aliev, Z.S.; Gaß, S.; Wolter, A.U.B.; Koroleva, A.V.; Shikin, A.M.; et al. Prediction and observation of an antiferromagnetic topological insulator. Nature 2019, 576, 416. [Google Scholar] [CrossRef]
 - Zhang, D.; Shi, M.; Zhu, T.; Xing, D.; Zhang, H.; Wang, J. Topological axion states in the magnetic insulator MnBi2Te4 with the quantized magnetoelectric effect. Phys. Rev. Lett. 2019, 122, 206401. [Google Scholar] [CrossRef]
 - Li, J.; Li, Y.; Du, S.; Wang, Z.; Gu, B.L.; Zhang, S.C.; He, K.; Duan, W.; Xu, Y. Intrinsic magnetic topological insulators in van der Waals layered MnBi2Te4-family materials. Sci. Adv. 2019, 5, eaaw5685. [Google Scholar] [CrossRef]
 - Gong, Y.; Guo, J.; Li, J.; Zhu, K.; Liao, M.; Liu, X.; Zhang, Q.; Gu, L.; Tang, L.; Feng, X.; et al. Experimental realization of an intrinsic magnetic topological insulator. Chin. Phys. Lett. 2019, 36, 076801. [Google Scholar] [CrossRef]
 - Aliev, Z.S.; Amiraslanov, I.R.; Nasonova, D.I.; Shevelkov, A.V.; Abdullayev, N.A.; Jahangirli, Z.A.; Orujlu, E.N.; Otrokov, M.M.; Mamedov, N.T.; Babanly, M.B.; et al. Novel ternary layered manganese bismuth tellurides of the MnTe-Bi2Te3 system: Synthesis and crystal structure. J. Alloy Compd. 2019, 789, 443–450. [Google Scholar] [CrossRef]
 - Estyunin, D.; Klimovskikh, I.I.; Shikin, A.M.; Schwier, E.; Otrokov, M.; Kimura, A.; Kumar, S.; Filnov, S.; Aliev, Z.S.; Babanly, M.; et al. Signatures of temperature driven antiferromagnetic transition in the electronic structure of topological insulator MnBi2Te4. APL Mater. 2020, 8, 021105. [Google Scholar] [CrossRef]
 - Shikin, A.M.; Estyunin, D.; Klimovskikh, I.I.; Filnov, S.; Schwier, E.; Kumar, S.; Miyamoto, K.; Okuda, T.; Kimura, A.; Kuroda, K.; et al. Nature of the Dirac gap modulation and surface magnetic interaction in axion antiferromagnetic topological insulator MnBi2Te4. Sci. Rep. 2020, 10, 13226. [Google Scholar] [CrossRef]
 - Shikin, A.M.; Estyunin, D.; Zaitsev, N.L.; Glazkova, D.; Klimovskikh, I.I.; Filnov, S.; Rybkin, A.G.; Schwier, E.; Kumar, S.; Kimura, A.; et al. Sample-dependent Dirac-point gap in MnBi2Te4 and its response to applied surface charge: A combined photoemission and ab initio study. Phys. Rev. B 2021, 104, 115168. [Google Scholar] [CrossRef]
 - Shikin, A.; Makarova, T.; Eryzhenkov, A.; Usachov, D.; Estyunin, D.; Glazkova, D.; Klimovskikh, I.; Rybkin, A.; Tarasov, A. Routes for the topological surface state energy gap modulation in antiferromagnetic MnBi2Te4. Phys. B Condens. Matter 2023, 649, 414443. [Google Scholar] [CrossRef]
 - Shikin, A.; Estyunin, D.; Zaitsev, N.; Glazkova, D.; Klimovskikh, I.; Fil’nov, S.; Rybkin, A.; Kokh, K.; Tereshchenko, O.; Zvezdin, K.; et al. Modulation of the Dirac Point Band Gap in the Antiferromagnetic Topological Insulator MnBi2Te4 due to the Surface Potential Gradient Change. J. Exp. Theor. Phys. 2022, 134, 103–111. [Google Scholar] [CrossRef]
 - Hao, Y.J.; Liu, P.; Feng, Y.; Ma, X.M.; Schwier, E.F.; Arita, M.; Kumar, S.; Hu, C.; Zeng, M.; Wang, Y.; et al. Gapless surface Dirac cone in antiferromagnetic topological insulator MnBi2Te4. Phys. Rev. X 2019, 9, 041038. [Google Scholar] [CrossRef]
 - Chen, Y.; Xu, L.; Li, J.; Li, Y.; Wang, H.; Zhang, C.; Li, H.; Wu, Y.; Liang, A.; Chen, C.; et al. Topological electronic structure and its temperature evolution in antiferromagnetic topological insulator MnBi2Te4. Phys. Rev. X 2019, 9, 041040. [Google Scholar] [CrossRef]
 - Swatek, P.; Wu, Y.; Wang, L.L.; Lee, K.; Schrunk, B.; Yan, J.; Kaminski, A. Gapless Dirac surface states in the antiferromagnetic topological insulator MnBi2Te4. Phys. Rev. B 2020, 101, 161109. [Google Scholar] [CrossRef]
 - Garnica, M.; Otrokov, M.; Aguilar, P.C.; Klimovskikh, I.; Estyunin, D.; Aliev, Z.; Amiraslanov, I.; Abdullayev, N.; Zverev, V.; Babanly, M.; et al. Native point defects and their implications for the Dirac point gap at MnBi2Te4 (0001). Quantum Mater. 2022, 7, 1–9. [Google Scholar] [CrossRef]
 - Deng, Y.; Yu, Y.; Shi, M.Z.; Guo, Z.; Xu, Z.; Wang, J.; Chen, X.H.; Zhang, Y. Quantum anomalous Hall effect in intrinsic magnetic topological insulator MnBi2Te4. Science 2020, 367, 895–900. [Google Scholar] [CrossRef]
 - Lee, S.H.; Zhu, Y.; Wang, Y.; Miao, L.; Pillsbury, T.; Yi, H.; Kempinger, S.; Hu, J.; Heikes, C.A.; Quarterman, P.; et al. Spin scattering and noncollinear spin structure-induced intrinsic anomalous Hall effect in antiferromagnetic topological insulator MnBi2Te4. Phys. Rev. Res. 2019, 1, 012011. [Google Scholar] [CrossRef]
 - Riberolles, S.X.M.; Zhang, Q.; Gordon, E.; Butch, N.P.; Ke, L.; Yan, J.Q.; McQueeney, R.J. Evolution of magnetic interactions in Sb-substituted MnBi2Te4. Phys. Rev. B 2021, 104, 064401. [Google Scholar] [CrossRef]
 - Chen, B.; Fei, F.; Zhang, D.; Zhang, B.; Liu, W.; Zhang, S.; Wang, P.; Wei, B.; Zhang, Y.; Zuo, Z.; et al. Intrinsic magnetic topological insulator phases in the Sb doped MnBi2Te4 bulks and thin flakes. Nat. Commun. 2019, 10, 4469. [Google Scholar] [CrossRef] [PubMed]
 - Glazkova, D.A.; Estyunin, D.A.; Klimovskikh, I.I.; Makarova, T.P.; Tereshchenko, O.E.; Kokh, K.A.; Golyashov, V.A.; Koroleva, A.V.; Shikin, A.M. Electronic Structure of Magnetic Topological Insulators Mn(Bi1−xSbx)2Te4 with Various Concentration of Sb Atoms. JETP Lett. 2022, 115, 286–291. [Google Scholar] [CrossRef]
 - Qian, T.; Yao, Y.T.; Hu, C.; Feng, E.; Cao, H.; Mazin, I.I.; Chang, T.R.; Ni, N. Magnetic dilution effect and topological phase transitions in (Mn1-xPbx)Bi2Te4. Phys. Rev. B 2022, 106, 045121. [Google Scholar] [CrossRef]
 - Zhu, J.; Naveed, M.; Chen, B.; Du, Y.; Guo, J.; Xie, H.; Fei, F. Magnetic and electrical transport study of the antiferromagnetic topological insulator Sn-doped MnBi2Te4. Phys. Rev. B 2021, 103, 144407. [Google Scholar] [CrossRef]
 - Li, Y.; Huang, C.; Wang, G.; Hu, J.; Duan, S.; Xu, C.; Lu, Q.; Jing, Q.; Zhang, W.; Qian, D. Topological Dirac surface states in ternary compounds GeBi2Te4, SnBi2Te4 and Sn0.571Bi2.286Se4*. Chin. Phys. B 2021, 30, 127901. [Google Scholar] [CrossRef]
 - Kuroda, K.; Miyahara, H.; Ye, M.; Eremeev, S.V.; Koroteev, Y.M.; Krasovskii, E.E.; Chulkov, E.V.; Hiramoto, S.; Moriyoshi, C.; Kuroiwa, Y.; et al. Experimental Verification of PbBi2Te4 as a 3D Topological Insulator. Phys. Rev. Lett. 2012, 108, 206803. [Google Scholar] [CrossRef]
 - Arita, M.; Sato, H.; Shimada, K.; Namatame, H.; Taniguchi, M.; Sasaki, M.; Kitaura, M.; Ohnishi, A.; Kim, H.J. Angle resolved photoemission study of GeBi2Te4. In Proceedings of the 12th Asia Pacific Physics Conference (APPC12), Makuhari, Japan, 14–19 July 2013. [Google Scholar] [CrossRef]
 - Okamoto, K.; Kuroda, K.; Miyahara, H.; Miyamoto, K.; Okuda, T.; Aliev, Z.S.; Babanly, M.B.; Amiraslanov, I.R.; Shimada, K.; Namatame, H.; et al. Observation of a highly spin-polarized topological surface state in GeBi2Te4. Phys. Rev. B 2012, 86, 195304. [Google Scholar] [CrossRef]
 - Changdar, S.; Ghosh, S.; Vijay, K.; Kar, I.; Routh, S.; Maheswari, P.K.; Ghorai, S.; Banik, S.; Thirupathaiah, S. Effect on the Electronic and Magnetic Properties of Antiferromagnetic Topological Insulator MnBi2Te4 with Sn Doping. arXiv 2022, arXiv:2207.13595. [Google Scholar]
 - Weinberger, P. Electron Scattering Theory for Ordered and Disordered Matter; International Series of Monographs on Physics; Clarendon Press: Oxford, UK, 1990. [Google Scholar]
 - Liechtenstein, A.I.; Katsnelson, M.I.; Gubanov, V.A. Exchange interactions and spin-wave stiffness in ferromagnetic metals. J. Phys. F Met. Phys. 1984, 14, L125. [Google Scholar] [CrossRef]
 - Ozaki, T. Variationally optimized atomic orbitals for large-scale electronic structures. Phys. Rev. B 2003, 67, 155108. [Google Scholar] [CrossRef]
 - Ozaki, T.; Kino, H. Numerical atomic basis orbitals from H to Kr. Phys. Rev. B 2004, 69, 195113. [Google Scholar] [CrossRef]
 - Ozaki, T.; Kino, H. Efficient projector expansion for the ab initio LCAO method. Phys. Rev. B 2005, 72, 045121. [Google Scholar] [CrossRef]
 - Troullier, N.; Martins, J.L. Efficient pseudopotentials for plane-wave calculations. Phys. Rev. B 1991, 43, 1993. [Google Scholar] [CrossRef]
 - Perdew, J.P.; Burke, K.; Ernzerhof, M. Generalized gradient approximation made simple. Phys. Rev. Lett. 1996, 77, 3865. [Google Scholar] [CrossRef]
 - Han, M.J.; Ozaki, T.; Yu, J. O(N) LDA + U electronic structure calculation method based on the nonorthogonal pseudoatomic orbital basis. Phys. Rev. B 2006, 73, 045110. [Google Scholar] [CrossRef]
 - Dudarev, S.L.; Botton, G.A.; Savrasov, S.Y.; Humphreys, C.; Sutton, A.P. Electron-energy-loss spectra and the structural stability of nickel oxide: An LSDA + U study. Phys. Rev. B 1998, 57, 1505. [Google Scholar] [CrossRef]
 - Ebert, H.; Ködderitzsch, D.; Minár, J. Calculating condensed matter properties using the KKR-Green’s function method—Recent developments and applications. Rep. Prog. Phys. 2011, 74, 096501. [Google Scholar] [CrossRef]
 - Vidal, R.C.; Bentmann, H.; Peixoto, T.R.F.; Zeugner, A.; Moser, S.; Min, C.H.; Schatz, S.; Kißner, K.; Ünzelmann, M.; Fornari, C.I.; et al. Surface states and Rashba-type spin polarization in antiferromagnetic MnBi2Te4(0001). Phys. Rev. B 2019, 100, 121104. [Google Scholar] [CrossRef]
 - Fragkos, S.; Baringthon, L.; Tsipas, P.; Xenogiannopoulou, E.; Le Fèvre, P.; Kumar, P.; Okuno, H.; Reyren, N.; Lemaitre, A.; Patriarche, G.; et al. Topological surface states in epitaxial (SnBi 2Te4)n(Bi 2Te3)m natural van der Waals superlattices. Phys. Rev. Mater. 2021, 5, 014203. [Google Scholar] [CrossRef]
 




Disclaimer/Publisher’s Note: The statements, opinions and data contained in all publications are solely those of the individual author(s) and contributor(s) and not of MDPI and/or the editor(s). MDPI and/or the editor(s) disclaim responsibility for any injury to people or property resulting from any ideas, methods, instructions or products referred to in the content.  | 
© 2023 by the authors. Licensee MDPI, Basel, Switzerland. This article is an open access article distributed under the terms and conditions of the Creative Commons Attribution (CC BY) license (https://creativecommons.org/licenses/by/4.0/).
Share and Cite
Tarasov, A.V.; Makarova, T.P.; Estyunin, D.A.; Eryzhenkov, A.V.; Klimovskikh, I.I.; Golyashov, V.A.; Kokh, K.A.; Tereshchenko, O.E.; Shikin, A.M. Topological Phase Transitions Driven by Sn Doping in (Mn1−xSnx)Bi2Te4. Symmetry 2023, 15, 469. https://doi.org/10.3390/sym15020469
Tarasov AV, Makarova TP, Estyunin DA, Eryzhenkov AV, Klimovskikh II, Golyashov VA, Kokh KA, Tereshchenko OE, Shikin AM. Topological Phase Transitions Driven by Sn Doping in (Mn1−xSnx)Bi2Te4. Symmetry. 2023; 15(2):469. https://doi.org/10.3390/sym15020469
Chicago/Turabian StyleTarasov, Artem V., Tatiana P. Makarova, Dmitry A. Estyunin, Alexander V. Eryzhenkov, Ilya I. Klimovskikh, Vladimir A. Golyashov, Konstantin A. Kokh, Oleg E. Tereshchenko, and Alexander M. Shikin. 2023. "Topological Phase Transitions Driven by Sn Doping in (Mn1−xSnx)Bi2Te4" Symmetry 15, no. 2: 469. https://doi.org/10.3390/sym15020469
APA StyleTarasov, A. V., Makarova, T. P., Estyunin, D. A., Eryzhenkov, A. V., Klimovskikh, I. I., Golyashov, V. A., Kokh, K. A., Tereshchenko, O. E., & Shikin, A. M. (2023). Topological Phase Transitions Driven by Sn Doping in (Mn1−xSnx)Bi2Te4. Symmetry, 15(2), 469. https://doi.org/10.3390/sym15020469
        
                                                