Tuning the Cu/Ce Ratio for Improved Benzene Oxidation over Gold-Promoted Alumina-Supported CuO-CeO2
Abstract
1. Introduction
2. Materials and Methods
2.1. Catalyst Preparation
2.2. Catalyst Characterization
2.3. Catalytic Activity Measurements
3. Results
3.1. Sample Characterization
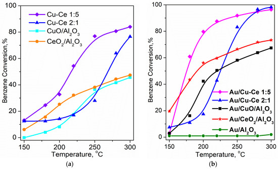
3.2. Catalytic Activity in Benzene Oxidation
4. Discussion
5. Conclusions
Supplementary Materials
Author Contributions
Funding
Data Availability Statement
Conflicts of Interest
References
- Guo, Y.; Wen, M.; Li, G.; An, T. Recent advances in VOC elimination by catalytic oxidation technology onto various nanoparticles catalysts: A critical review. Appl. Catal. B Environ. 2021, 281, 119447. [Google Scholar] [CrossRef]
- Brummer, V.; Teng, S.Y.; Jecha, D.; Skryja, P.; Vavrcikova, V.; Stehlik, P. Contribution to cleaner production from the point of view of VOC emissions abatement: A review. J. Cleaner Prod. 2022, 361, 132112. [Google Scholar] [CrossRef]
- Kamal, M.S.; Razzak, S.A.; Hossain, M.M. Catalytic oxidation of volatile organic compounds (VOCs) A review. Atmos. Environ. 2016, 140, 117–134. [Google Scholar] [CrossRef]
- He, C.; Cheng, J.; Zhang, X.; Douthwaite, M.; Pattisson, S.; Hao, Z. Recent advances in the catalytic oxidation of volatile organic compounds: A review based on pollutant sorts and sources. Chem. Rev. 2019, 119, 4471–4568. [Google Scholar] [CrossRef] [PubMed]
- Gelles, T.; Krishnamurthy, A.; Adebayo, B.; Rownaghi, A.; Rezaei, F. Abatement of gaseous volatile organic compounds: A material perspective. Catal. Today 2020, 350, 3–18. [Google Scholar] [CrossRef]
- Li, J.; Liu, H.; Deng, Y.; Liu, G.; Chen, Y.; Yang, J. Emerging nanostructured materials for the catalytic removal of volatile organic compounds. Nanotechnol. Rev. 2016, 5, 147–181. [Google Scholar] [CrossRef]
- Trovarelli, A. Catalytic properties of ceria and CeO2-containing materials. Catal. Rev. Sci. Eng. 1996, 38, 439–520. [Google Scholar] [CrossRef]
- Vita, A. Catalytic applications of CeO2-based materials. Catalysts 2020, 10, 576. [Google Scholar] [CrossRef]
- Montini, T.; Melchionna, M.; Monai, M.; Fornasiero, P. Fundamentals and catalytic applications of CeO2-based materials. Chem. Rev. 2016, 116, 5987–6041. [Google Scholar] [CrossRef]
- Yang, C.; Lu, Y.; Zhang, L.; Kong, Z.; Yang, T.; Tao, L.; Zou, Y.; Wang, S. Defect engineering on CeO2-based catalysts for heterogeneous catalytic applications. Small Struct. 2021, 2, 2100058. [Google Scholar] [CrossRef]
- Konsolakis, M. The role of copper-ceria interactions in catalysis science: Recent theoretical and experimental advances. Appl. Catal. B Environ. 2016, 198, 49–66. [Google Scholar] [CrossRef]
- Konsolakis, M.; Lykaki, M. Recent advances on the rational design of non-precious metal oxide catalysts exemplified by CuOx/CeO2 binary system: Implications of size, shape and electronic effects on intrinsic reactivity and metal-support interactions. Catalysts 2020, 10, 160. [Google Scholar] [CrossRef]
- Delimaris, D.; Ioannides, T. VOC oxidation over CuO-CeO2 catalysts prepared by a combustion method. Appl. Catal. B Environ. 2009, 89, 295–302. [Google Scholar] [CrossRef]
- Piumetti, M.; Bensaid, S.; Andana, T.; Russo, N.; Pirone, R.; Fino, D. Cerium-copper oxides prepared by solution combustion synthesis for total oxidation reactions: From powder catalysts to structured reactors. Appl. Catal. B Environ. 2017, 205, 455–468. [Google Scholar] [CrossRef]
- Hou, J.; Hua, J.; Chang, L.; Wang, J.; Zeng, Z.; Wu, D.; Cui, X.; Bao, W.; Yao, J. Synergistic effects between highly dispersed CuOx and the surface Cu-[Ox]-Ce structure on the catalysis of benzene combustion. J. Catal 2022, 408, 9–23. [Google Scholar] [CrossRef]
- Saqer, S.M.; Kondarides, D.I.; Verykios, X.E. Catalytic oxidation of toluene over binary mixtures of copper, manganese and cerium oxides supported on γ-Al2O3. Appl. Catal. B Environ. 2011, 103, 275–286. [Google Scholar] [CrossRef]
- Menon, U.; Poelman, H.; Bliznuk, V.; Galvita, V.V.; Poelman, D.; Marin, G.B. Nature of the active sites for the total oxidation of toluene by CuO-CeO2/Al2O3. J. Catal. 2012, 295, 91–103. [Google Scholar] [CrossRef]
- Tsoncheva, T.; Issa, G.; Blasco, T.; Dimitrov, M.; Popova, M.; Hernández, S.; Kovacheva, D.; Atanasova, G.; López Nieto, J.M. Catalytic VOCs elimination over copper and cerium oxide modified mesoporous SBA-15 silica. Appl. Catal. A Gen. 2013, 453, 1–12. [Google Scholar] [CrossRef]
- Sumrunronnasak, S.; Chanlek, N.; Pimpha, N. Improved CeCuOx catalysts for toluene oxidation prepared by aqueous cationic surfactant precipitation method. Mater. Chem. Phys. 2018, 216, 143–152. [Google Scholar] [CrossRef]
- Zeng, Y.; Wang, Y.; Song, F.; Zhang, S.; Zhong, Q. The effect of CuO loading on different method prepared CeO2 catalyst for toluene oxidation. Sci. Total Environ. 2020, 712, 135635. [Google Scholar] [CrossRef]
- Li, L.; Zhang, C.; Chen, F.; Xiang, Y.; Yan, J.; Chu, W. Facile fabrication of hollow structured Cu-Ce binary oxides and their catalytic properties for toluene combustion. Catal. Today 2021, 376, 239–246. [Google Scholar] [CrossRef]
- Zeng, Y.; Haw, K.G.; Wang, Z.; Wang, Y.; Zhang, S.; Hongmanorom, P.; Zhong, Q.; Kawi, S. Double redox process to synthesize CuO–CeO2 catalysts with strong Cu-Ce interaction for efficient toluene oxidation. J. Hazard. Mater. 2021, 404, 124088. [Google Scholar] [CrossRef] [PubMed]
- Song, B.; Li, C.; Du, X.; Li, S.; Zhang, Y.; Lyu, Y.; Zhou, Q. Superior performance of Cu-Ce binary oxides for toluene catalytic oxidation: Cu-Ce synergistic effect and reaction pathways. Fuel 2021, 306, 121654. [Google Scholar] [CrossRef]
- Yun, J.; Wu, L.; Hao, Q.; Teng, Z.; Gao, X.; Dou, B.; Bin, F. Non-equilibrium plasma enhanced oxygen vacancies of CuO/CeO2 nanorod catalysts for toluene oxidation. J. Environ. Chem. Eng. 2022, 10, 107847. [Google Scholar] [CrossRef]
- Zhou, G.; Lan, H.; Gao, T.; Xie, H. Influence of Ce/Cu ratio on the performance of ordered mesoporous CeCu composite oxide catalysts. Chem. Eng. J. 2014, 246, 53–63. [Google Scholar] [CrossRef]
- Kim, S.C. The catalytic oxidation of aromatic hydrocarbons over supported metal oxide. J. Hazard. Mater. 2002, 91, 285–299. [Google Scholar] [CrossRef]
- Hu, C.; Zhu, Q.; Jiang, Z.; Zhang, Y.; Wang, Y. Preparation and formation mechanism of mesoporous CuO-CeO2 mixed oxides with excellent catalytic performance for removal of VOCs. Microporous Mesoporous Mater. 2008, 113, 427–434. [Google Scholar] [CrossRef]
- Hu, C.; Zhu, Q.; Chen, L.; Wu, R. CuO-CeO2 binary oxide nanoplates: Synthesis, characterization, and catalytic performance for benzene oxidation. Mater. Res. Bull. 2009, 44, 2174–2180. [Google Scholar] [CrossRef]
- Jung, W.Y.; Lim, K.T.; Hong, S.S. Catalytic combustion of benzene over CuO-CeO2 mixed oxides. J. Nanosci. Nanotechnol. 2014, 14, 8507–8511. [Google Scholar] [CrossRef]
- Tabakova, T.; Kolentsova, E.; Dimitrov, D.; Ivanov, K.; Manzoli, M.; Venezia, A.M.; Karakirova, Y.; Petrova, P.; Nihtianova, D.; Avdeev, G. CO and VOCs catalytic oxidation over alumina supported Cu-Mn catalysts: Effect of Au or Ag deposition. Topics Catal. 2017, 60, 110–122. [Google Scholar] [CrossRef]
- Haruta, M. Gold as a catalyst in the 21st century: Preparation, working mechanism and applications. Gold Bull. 2004, 37, 27–36. [Google Scholar] [CrossRef]
- Bond, G.C.; Louis, C.; Thompson, D.T. Catalysis by Gold; Imperial College Press: London, UK, 2006. [Google Scholar]
- Scire, S.; Liotta, L.F. Supported gold catalysts for the total oxidation of volatile organic compounds. Appl. Catal. B Environ. 2012, 125, 222–246. [Google Scholar] [CrossRef]
- Barakat, T.; Rooke, J.C.; Genty, E.; Cousin, R.; Siffert, S.; Su, B.L. Gold catalysts in environmental remediation and water-gas shift technologies. Energy Environ. Sci. 2013, 6, 371–391. [Google Scholar] [CrossRef]
- Centeno, M.A.; Paulis, M.; Montes, M.; Odriozola, J.A. Catalytic combustion of volatile organic compounds on Au/CeO2/Al2O3 and Au/Al2O3 catalysts. Appl. Catal. A Gen. 2002, 234, 65–78. [Google Scholar] [CrossRef]
- Andreeva, D.; Nedyalkova, R.; Ilieva, L.; Abrashev, M.V. Nanosize gold-ceria catalysts promoted by vanadia for complete benzene oxidation. Appl. Catal. A Gen. 2003, 246, 29–38. [Google Scholar] [CrossRef]
- Lai, S.Y.; Qiu, Y.; Wang, S. Effects of the structure of ceria on the activity of gold/ceria catalysts for the oxidation of carbon monoxide and benzene. J. Catal. 2006, 237, 303–313. [Google Scholar] [CrossRef]
- Ilieva, L.; Petrova, P.; Liotta, L.F.; Sobczak, J.W.; Lisowski, W.; Kaszkur, Z.; Munteanu, G.; Tabakova, T. Gold catalysts on Y-doped ceria supports for complete benzene oxidation. Catalysts 2016, 6, 99. [Google Scholar] [CrossRef]
- Gaálová, J.; Topka, P. Gold and ceria as catalysts for VOC abatement: A review. Catalysts 2021, 11, 789. [Google Scholar] [CrossRef]
- Ivanov, K.; Kolentsova, E.N.; Dimitrov, D.Y. Alumina supported copper-manganese catalysts for combustion of exhaust gases: Effect of preparation method. Int. J. Chem. Mol. Eng. 2015, 9, 311–320. [Google Scholar]
- Kolentsova, E.N.; Dimitrov, D.Y.; Ivanov, K.I.; Tabakova, T.T.; Karakirova, Y.G.; Tenchev, K.K.; Avdeev, G.V. CO and VOCs oxidation over alumina supported Cu-Mn catalysts modified by cerium. Bulg. Chem. Commun. 2017, 49, 59–66. [Google Scholar]
- Bortolotti, M.; Lutterotti, L.; Lonardelli, I. ReX: A computer program for structural analysis using powder diffraction data. J. Appl. Cryst. 2009, 42, 538–539. [Google Scholar] [CrossRef]
- Yu, Y.; Takei, T.; Ohashi, H.; He, H.; Zhang, X.; Haruta, M. Pretreatments of Co3O4 at moderate temperature for CO oxidation at −80 °C. J. Catal. 2009, 267, 121–128. [Google Scholar] [CrossRef]
- Wolski, L.; Sobczak, I.; Ziolek, M. Development of multifunctional gold, copper, zinc, niobium containing MCF catalysts—Surface properties and activity in methanol oxidation. Microporous Mesoporous Mater. 2017, 243, 339–350. [Google Scholar] [CrossRef]
- Guzmán, C.; Del Angel, G.; Gómez, R.; Galindo, F.; Zanella, R.; Torres, G.; Angeles-Chavez, C.; Fierro, J.L.G. Gold particle size determination on Au/TiO2-CeO2 catalysts by means of carbon monoxide, hydrogen chemisorption and transmission electron microscopy. J. Nano Res. 2009, 5, 13–23. [Google Scholar] [CrossRef]
- Yang, Z.; Wang, Q.; Wei, S. The synergistic effects of the Cu-CeO2(111) catalysts on the adsorption and dissociation of water molecules. Phys. Chem. Chem. Phys. 2011, 13, 9363–9373. [Google Scholar] [CrossRef]
- Sudarsanam, P.; Hillary, B.; Amin, M.H.; Rockstro, N.; Bentrup, U.; Brückner, A.; Bhargava, S.K. Heterostructured copper–ceria and iron–ceria nanorods: Role of morphology, redox, and acid properties in catalytic diesel soot combustion. Langmuir 2018, 34, 2663–2673. [Google Scholar] [CrossRef]
- Zhu, J.K.; Gao, Q.M.; Chen, Z. Preparation of mesoporous copper cerium bimetal oxides with high performance for catalytic oxidation of carbon monoxide. Appl. Catal. B Environ. 2008, 81, 236–243. [Google Scholar] [CrossRef]
- Shim, J.O.; Na, H.S.; Jha, A.; Jang, W.J.; Jeong, D.W.; Nah, I.W.; Jeon, B.H.; Rohp, H.S. Effect of preparation method on the oxygen vacancy concentration of CeO2-promoted Cu/Al2O3 catalysts for HTS reactions. Chem. Eng. J. 2016, 306, 908–915. [Google Scholar] [CrossRef]
- Ilieva, L.; Ivanov, I.; Petrova, P.; Munteanu, G.; Karakirova, Y.; Sobczak, J.W.; Lisowski, W.; Anghel, E.M.; Kaszkur, Z.; Tabakova, T. Effect of Y-doping on the catalytic properties of CuO/CeO2 catalysts for water-gas shift reaction. Int. J. Hydrog. Energy 2020, 45, 26286–26299. [Google Scholar] [CrossRef]
- Ratnasamy, P.; Srinivas, D.; Satyanarayana, C.V.V.; Manikandan, P.; Kumaran, R.S.S.; Sachin, M.; Shetti, V.N. Influence of the support on the preferential oxidation of CO in hydrogen-rich steam reformates over the CuO–CeO2–ZrO2 system. J. Catal. 2004, 221, 455–465. [Google Scholar] [CrossRef]
- Yao, H.C.; Yao, Y.F.Y. Ceria in automotive exhaust catalysts: I. Oxygen storage. J. Catal. 1984, 86, 254–265. [Google Scholar] [CrossRef]
- Laachir, A.; Perrichon, V.; Bardi, A.; Lamotte, J.; Catherine, E.; Lavalley, J.C.; El Fallah, J.; Hilaire, L.; Le Normand, F.; Quemere, E.; et al. Reduction of CeO2 by hydrogen. J. Chem. Soc. Faraday. Trans. 1991, 7, 1601–1609. [Google Scholar] [CrossRef]
- Avgouropoulos, G.; Ioannides, T. Effect of synthesis parameters on catalytic properties of CuO-CeO2. Appl. Catal. B Environ. 2006, 67, 1–11. [Google Scholar] [CrossRef]
- Mrabet, D.; Abassi, A.; Cherizol, R.; Do, T.-O. One-pot solvothermal synthesis of mixed Cu-Ce-Ox nanocatalysts and their catalytic activity for low temperature CO oxidation. Appl. Catal. A Gen 2012, 447–448, 60–66. [Google Scholar] [CrossRef]
- Sun, S.; Mao, D.; Yu, J. Enhanced CO oxidation activity of CuO/CeO2 catalyst prepared by surfactant-assisted impregnation method. J. Rare Earths 2015, 33, 1268–1274. [Google Scholar] [CrossRef]
- Li, Y.; Fu, Q.; Flytzani-Stephanopoulos, M. Low-temperature water-gas shift reaction over Cu- and Ni-loaded cerium oxide catalysts. Appl. Catal. B Environ. 2000, 27, 179–191. [Google Scholar] [CrossRef]
- Lykaki, M.; Pachatouridou, E.; Carabineiro, S.A.C.; Iliopoulou, E.; Andriopoulou, C.; Kallithrakas-Kontos, N.; Boghosian, S.; Konsolakis, M. Ceria nanoparticles shape effects on the structural defects and surface, chemistry: Implications in CO oxidation by Cu/CeO2 catalysts. Appl. Catal. B Environ. 2018, 230, 18–28. [Google Scholar] [CrossRef]
- Zeng, S.; Bai, X.; Wang, X.; Yu, W.; Liu, Y. Valence state of active copper in CuOx/CeO2 catalysts for CO oxidation. J. Rare Earths 2006, 24, 177–181. [Google Scholar] [CrossRef]
- Martınez-Arias, A.; Fernandez-Garcıa, M.; Soria, J.; Conesa, J.C. Spectroscopic study of a Cu/CeO2 catalyst subjected to redox treatments in carbon monoxide and oxygen. J. Catal. 1999, 182, 367–377. [Google Scholar] [CrossRef]
- Liu, Y.; Mao, D.; Yu, J.; Zheng, Y.; Guo, X. Facile preparation of highly active and stable CuO-CeO2 catalysts for low-temperature CO oxidation via direct solvothermal method. Catal. Sci. Technol. 2020, 10, 8385–8395. [Google Scholar] [CrossRef]
- Andreeva, D.; Idakiev, V.; Tabakova, T.; Ilieva, L.; Falaras, P.; Bourlinos, A.; Travlos, A. Low-temperature water-gas shift reaction over Au/CeO2 catalysts. Catal. Today 2002, 72, 51–57. [Google Scholar] [CrossRef]
- Tabakova, T.; Ilieva, L.; Petrova, P.; Venezia, A.M.; Avdeev, G.; Zanella, R.; Karakirova, Y. Complete benzene oxidation over mono and bimetallic Au-Pd catalysts supported on Fe-modified ceria. Chem. Eng. J. 2015, 260, 133–141. [Google Scholar] [CrossRef]
- Wang, A.; Liu, X.Y.; Mou, C.Y.; Zhang, T. Understanding the synergistic effects of gold bimetallic catalysts. J. Catal. 2013, 308, 258–271. [Google Scholar] [CrossRef]
- Grzelak, K.; Sobczak, I.; Yang, C.-M.; Ziolek, M. Gold-copper catalysts supported on SBA-15 with long and short channels—Characterization and the use in propene oxidation. Catal. Today 2020, 356, 155–164. [Google Scholar] [CrossRef]
- Galvita, V.V.; Filez, M.; Poelman, H.; Bliznuk, V.; Marin, G.B. The role of different types of CuO in CuO-CeO2/Al2O3 for total oxidation. Catal. Lett. 2014, 144, 32–43. [Google Scholar] [CrossRef]
- Deshpande, S.; Patil, S.; Kuchibhatla, S.V.; Seal, S. Size dependency variation in lattice parameter and valency states in nanocrystalline cerium oxide. Appl. Phys. Lett. 2005, 87, 133113. [Google Scholar]





| Sample | SSA (m2 g−1) | Vpore (cm3 g−1) | Dpore (nm) | DCeO2 (nm) | DCuO (nm) | aCeO2 (Å) |
|---|---|---|---|---|---|---|
| Al2O3 | 219 | 0.40 | 7.0 | - | - | - |
| CuO/Al2O3 | 173 | 0.43 | 9.5 | - | 33.4 | - |
| CeO2/Al2O3 | 159 | 0.36 | 9.4 | 8.8 (3) 1 | - | 5.407 (3) |
| Cu-Ce 2:1 | 156 | 0.29 | 7.3 | 5.4 (3) | 23.0 | 5.434 (5) |
| Cu-Ce 1:5 | 165 | 0.29 | 7.0 | 7.6 (4) | n.d. | 5.413 (1) |
| Au/CuO/Al2O3 | 182 | 0.40 | 9.2 | - | 26.2 | - |
| Au/CeO2/Al2O3 | 161 | 0.36 | 9.4 | 9.0 (1) | - | 5.410 (2) |
| Au/Cu-Ce 2:1 | 159 | 0.28 | 7.1 | 5.4 (5) | n.d. | 5.443 (3) |
| Au/Cu-Ce 1:5 | 176 | 0.28 | 6.5 | 6.3 (2) | n.d. | 5.420 (1) |
| Sample | gII | g⊥ | ΔH (mT) | I (a.u.) |
|---|---|---|---|---|
| CuO/Al2O3 | 2.3317 | 2.0759 | 29.85 | 1140 |
| Cu-Ce 2:1 | 2.3361 | 2.0753 | 29.53 | 1138 |
| Cu-Ce 1:5 | 2.3329 | 2.0751 | 26.18 | 1990 |
| Au/CuO/Al2O3 | 2.3316 | 2.0762 | 29.69 | 1075 |
| Au/Cu-Ce 2:1 | 2.3377 | 2.0751 | 29.38 | 1037 |
| Au/Cu-Ce 1:5 | 2.3342 | 2.0741 | 26.29 | 2482 |
Disclaimer/Publisher’s Note: The statements, opinions and data contained in all publications are solely those of the individual author(s) and contributor(s) and not of MDPI and/or the editor(s). MDPI and/or the editor(s) disclaim responsibility for any injury to people or property resulting from any ideas, methods, instructions or products referred to in the content. |
© 2023 by the authors. Licensee MDPI, Basel, Switzerland. This article is an open access article distributed under the terms and conditions of the Creative Commons Attribution (CC BY) license (https://creativecommons.org/licenses/by/4.0/).
Share and Cite
Tabakova, T.; Petrova, P.; Karakirova, Y.; Avdeev, G.; Kolentsova, E.; Ilieva, L. Tuning the Cu/Ce Ratio for Improved Benzene Oxidation over Gold-Promoted Alumina-Supported CuO-CeO2. Symmetry 2023, 15, 263. https://doi.org/10.3390/sym15020263
Tabakova T, Petrova P, Karakirova Y, Avdeev G, Kolentsova E, Ilieva L. Tuning the Cu/Ce Ratio for Improved Benzene Oxidation over Gold-Promoted Alumina-Supported CuO-CeO2. Symmetry. 2023; 15(2):263. https://doi.org/10.3390/sym15020263
Chicago/Turabian StyleTabakova, Tatyana, Petya Petrova, Yordanka Karakirova, Georgi Avdeev, Elitsa Kolentsova, and Lyuba Ilieva. 2023. "Tuning the Cu/Ce Ratio for Improved Benzene Oxidation over Gold-Promoted Alumina-Supported CuO-CeO2" Symmetry 15, no. 2: 263. https://doi.org/10.3390/sym15020263
APA StyleTabakova, T., Petrova, P., Karakirova, Y., Avdeev, G., Kolentsova, E., & Ilieva, L. (2023). Tuning the Cu/Ce Ratio for Improved Benzene Oxidation over Gold-Promoted Alumina-Supported CuO-CeO2. Symmetry, 15(2), 263. https://doi.org/10.3390/sym15020263

