Abstract
The dynamics of a particle in 3:1 tesseral resonance with the dwarf planet Haumea is analysed. This resonance, three rotations of the primary per orbital period of the particle, is located inside the region where Haumea’s ring was observed. Thus, determining the effect of this resonance on a particle’s orbit reveals its relationship to the orbits that follow the particles of the ring. To analyse the effect, we propose four models of anisotropy; two of them are a reduced representation of the distribution of the mass of Haumea that we use to determine the centre of the resonance by means of the Hamiltonian formulation. After this, we analyse the effects of the four models on the resonance orbit by using the Lagrange planetary equations technique. The results show that the resonance centre has a high eccentricity value, meaning that a particle in 3:1 resonance with Haumea does not remain confined to the region that we consider to be the ring region.
1. Introduction
One of the objects of interest in the Kuiper belt is the dwarf planet Haumea. The estimated mass of this celestial body is kg distributed on the triaxial ellipsoid of semi-axes: km, km, and km with a rotation period of 3.9155 h [1]. It has two moons, Namaka and Hi’iaka in orbits with a semi-major axis of 25,667 km and 49,880 km, respectively [2]. The planet also has a dust ring in its equatorial plane with a nominal semi-major axis km and a mean width of 70 km [1]. In the region where the ring was observed, the orbit of the 3:1 tesseral resonance is located, three rotations of Haumea per orbit period. This resonance is our object of study.
In the ring region, the perturbing force generated by the Haumea anisotropy modelled by the harmonic coefficients and is the dominant force when compared with the perturbation generated by the solar radiation pressure and with the perturbation of the two moons and the Sun [3]. The perturbation of these two harmonic coefficients was analysed by using the Poincare section method, and the result was quasi-periodic orbits in the ring region [4]. In this work and in this region, the dynamic structure is determined by the quasi-periodic orbits with zero initial eccentricity, and as a result the semi-major axis oscillates with an amplitude of 30 km around its initial condition. In contrast, orbits in 3:1 tesseral resonance with Haumea had an oscillation with an amplitude of approximately 600 km and the resonant angle an oscillation around of or .
In the equatorial region—between 2000 km and 2500 km from the centre of mass of Haumea, the region in which the ring was observed—the effect of the harmonic coefficient is an order of magnitude greater than the effect of the coefficient , and the latter is of the same order of magnitude as the effect of [5]. The authors of this work concluded that in order to have a stable ring configuration, the resonant angle of the 3:1 resonance must be in circulation. By analysing the effect of Haumea anisotropy by the N-body simulation method, a region of stable orbits in the neighbourhood of the 3:1 resonance orbit was presented [6]; determining this region and calculating the Roche radius, the authors of the cited work conclude that the existence of the ring is possible only around this resonance. In the ring region, the secular effect of the coefficient counteracts the secular perturbation provided by the moon Namaka [7].
The information provided by the aforementioned works motivates us to analyse the orbit that follows a particle in 3:1 tesseral resonance with Haumea, in order to determine if the permanence of the particles in the ring region is due to being in 3:1 tesseral resonance with the planet. For this, we apply two approaches that together provide a broad overview of the problem.
The first approach will be through the Ideal Resonance Problem, which determines the isolated effect of the cosine with the greatest effect in the neighbourhood of the orbit in resonance, or resonant cosine, through the Hamiltonian formulation [8]. In this problem, the reduced model (RM) of Haumea’s anisotropy is used in order to determine the centre of resonance. However, the study of this model is not enough to obtain decisive conclusions. Therefore, we will also analyse the dynamics in the orbit of such resonance under models that include the effect of the other terms that set up the spherical harmonic in question, the near-reduced model (NRM). For this, we apply the method of variation of orbital elements, also known as Lagrange’s Planetary Equations [9]. The comparison of the variation of the orbital elements between the MR and the NRM will be made to determine the influence of the resonant cosine on the particle dynamics.
This article is organized into five sections. In Section 2, we propose four models of primary anisotropy and the Hamiltonian formulation used to determine some of the resonance characteristics. In Section 3, we present the results. We present some considerations about the results obtained in Section 4, followed by the conclusions in Section 5.
2. Methodology
2.1. Perturbing Function
The dynamics of a particle orbiting Haumea (primary) is affected by different perturbing forces; however, in the ring region, the anisotropy of the gravitational potential of the primary body is the dominant force of perturbation [3]. In the present work, we chose the classical expression of the potential developed in spherical harmonics [10]. This planet is modelled by a homogeneous triaxial ellipsoid [1] and, in bodies with this symmetry the harmonic coefficients are null. Moreover, the coefficients where the difference is odd [11]. Under these conditions, the harmonic of degree n and order m, with n and m an even number, written in the orbital elements is given by:
where
and
with , w is summed from zero to the min() and c is taken over all values such that the binomial coefficients are not identically zero.
In the perturbing function, is the gravitational parameter, R is the mean equatorial radius, is the harmonic coefficient, and is the sidereal time. The Keplerian elements: a, e, I, , and are respectively the semi-major axis of the orbit, eccentricity, inclination, and longitude of the ascending node, and the argument of the periapsis. f is the true anomaly.
Assuming the spherical primary, the 3:1 tesseral resonance, three rotations of the primary body per orbital period of the particle, can be expressed in the following form: where ℓ is the mean anomaly. Alternatively, in terms of angular frequency, where and are the mean orbital motion and spin of the primary, respectively. The semi-major axis of the orbit that satisfies this last equation can be obtained from Kepler’s third law, , which we will call the Keplerian semi-axis.
Following the classical notation [10], in the case of non-spherical primary bodies, the tesseral resonance occurs when the following equation is satisfied [12]:
.
The angle is called the resonant angle. In the harmonic , the resonant angle referring to the 3:1 resonance is such that and . In this work, the resonant cosine and therefore the resonant term in this harmonic, as well as in the harmonic , is obtained through the following steps.
- We replace the true anomaly with the expression [9]:
- We expand to order four on the eccentricity.
- We associate like terms in terms of resonant cosines.
As a result, the resonant term of our interest in is given by
where and . In , we get
We can see that the 3:1 resonance at the and harmonics is actually the 6:2 tesseral resonance. In , the angle of this resonance is . In it, we have implying that the minimum exponent on the eccentricity is eight. Therefore, in orbits with low eccentricity, the effect of the respective resonant term is small compared to the two resonant terms presented above. For this reason, we did not include the effect of the harmonic in the analysis.
In the next section, we will analyse the effect of Haumea anisotropy on the dynamics of a particle. Such anisotropy will be represented from “submodels”, in order to estimate the most prominent disturbing effect in the studied orbit. The proposed models are:
- Reduced Model 1 (RM1): + + ;
- Reduced Model 2 (RM2): + + + ;
- Near-Reduced Model 1 (NRM1): + ; and
- Near-Reduced Model 2 (NRM2): + + .
The term is the Keplerian term or non-disturbing potential. , and is the secular part of the harmonics and in their classical form [9]:
where , and
The dynamics provided by the RM1 and RM2 models will be initially analysed qualitatively through the Hamiltonian formulation. Subsequently, we will analyse the variation of the eccentricity, the semi-major axis of the orbit and the resonant angle generated by each of the four models through Lagrange’s planetary equations. This will allow us to estimate the effect of tesseral resonance on the particle’s orbit.
The effects of the periodic terms of the zonal harmonics are not included in this work because the orbits analysed are orbits near to the equatorial region, in which .
2.2. Hamiltonian Function of the Reduced Model
A qualitative analysis of the 3:1 resonance, represented in the reduced models, will be performed by using the Hamiltonian formulation in order to determine the eccentricity value of the resonance centre and the resonant angle libration regime.
The Hamiltonian function of the reduced system is given by
where the Keplerian term is the specific energy of the non-perturbed orbit. is the secular part of the model and is the amplitude of the resonant cosine. The variables L, G, and H are the Delaunay variables which, in terms of the Keplerian elements, are given by
In this set, L, G and H are the conjugate moments of the angular variables l, g, and h, respectively. The system modelled by the function (10) is non-conservative, because the angle explicitly contains the temporal variable in ℓ and in . To have a conservative system, we define the variable and extend the phase space of the function [13]. After that, the reduced system results in
The second term of this function is the Coriolis term, due to the introduction of the rotating system. In order to have a dynamical system with one degree of freedom, we perform a canonical transformation on the function . In this work, we chose the canonical Mathieu transformation [14], defining the following variables:
and the differential form
Combining the terms of this last equation, we get
The variables and are cyclic variables, that is, and are constants. So, we can set and get the Hamiltonian
From this function we will determine the singular points of the dynamics of the reduced model: the resonance centre and the saddle points. Moreover, we will determine the libration and circulation regimes of the resonant angle. The angle is in circulation if it covers the closed interval and its period is given by . In the Delaunay variables, the time derivative of the resonant angle, is given by
To determine the period of the angle, we don’t consider the resonant cosine of the reduced model, because with this term the period oscillates around the value provided by the Expression (13), so will call it the mean period. For this same reason, we do not consider the resonant cosine in the resonance condition expressed in the Equation (4) that, in the Hamiltonian formalism, is given by
If we fix the inclination value in the last expression, we obtain a range of semi-major axes that we will call critical semi-axes.
3. Results
In this work, Haumea is modelled by a homogeneous triaxial ellipsoid with semi-axes km, km, and km, a rotation period of 3.9155 h and mass of kg [1]. Some authors take the mean equatorial radius of the planet as [4] or [3]. We chose , as in [5]. With this value of R, the harmonic coefficients of the triaxial ellipsoid considered here [11], takes the values
Haumea’s ring has a nominal semi-axis km and a width of approximately 70 km [1]. The orbit of 3:1 tesseral resonance has a Keplerian semi-axis km. In this work, we consider the equatorial region to be the ring region, with an inner and outer radius of 2000 km and 2500 km, respectively, from the planet’s centre of mass. With these data, our objective is to determine whether a particle in 3:1 tesseral resonance with Haumea remains confined in the ring region.
3.1. The Resonance in the Reduced Model 1
In the reduced model 1, and in the equatorial region, the tesseral resonance condition expressed in the Equation (14) results in
The real values of a and e, with (0, 0.11), which satisfy Equation (15) form the curve shown in Figure 1. In it, we observe that the two variables increase their value together.
Figure 1.
Critical semi-major axis of the resonance 3:1 in the reduced model 1.
Choosing in Equation (15), we obtain the critical semi-major axis km. If we add the resonant term to the Equation (14), the difference of the resulting critical semi-major axis with respect to is of the order of km. This small difference is the second reason because we do not include the resonant terms in the determination of the critical semi-major axis, in the reduced models and in the near-reduced models.
As an example, we present the phase space of orbits with (Figure 2). This phase space is similar for any of the critical semi-major axes in the range determined above (Figure 1). The closed curves constitute the libration regime of the resonant angle. In the vicinity of the resonance centre, the two variables simultaneously present the lowest amplitude oscillation. In this phase space, we observe that the centre is at , and by symmetry, also at . Remembering that , by the canonical transformation done, then the centre of resonance in RM1 is at 180°.
Figure 2.
Phase space of the resonance 3:1 of the orbits with semi-major axis km in the reduced model 1.
To obtain the eccentricity value of the centre, we apply the maximum and minimum definition of the calculus of several variables, from which the zero, of the function (where is the partial derivative with respect to e) is the value of eccentricity of the resonance centre.
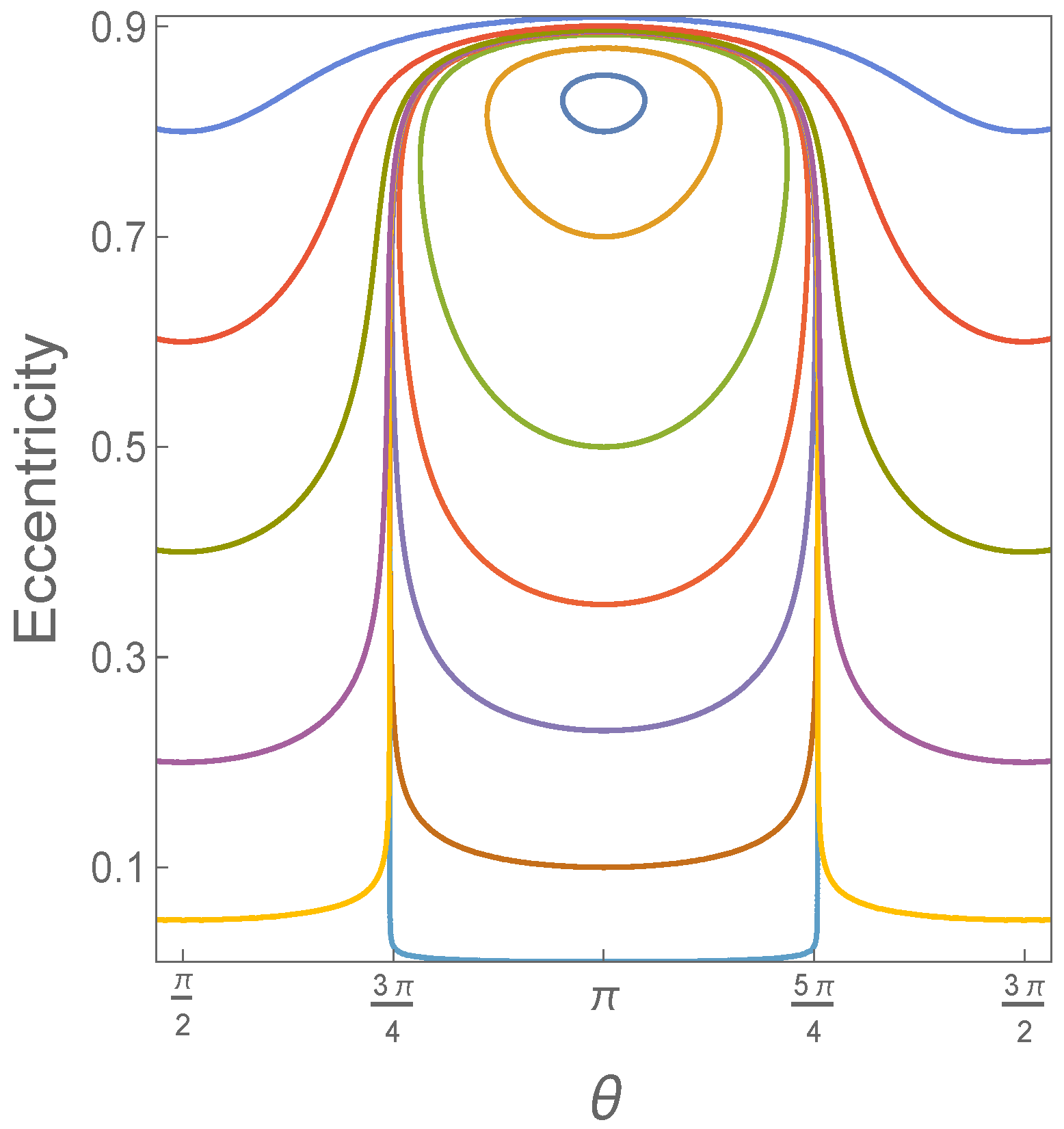
The contour curve (Figure 3) shows the eccentricity value of the centre in each of the critical semi-major axes of the range presented above. In this figure, we see that the centre of resonance is located at a high value of eccentricity, , and its value increases when the semi-major axis moves away from the system’s centre of mass.
Figure 3.
Eccentricity value of the centre of the resonance 3:1 in the reduced model 1.
Determining the eccentricity value of the centre in this model does not provide enough information about the effect of the resonance on particle dynamics, as RM1 is the simplest model analysed here. Therefore, we will analyse the resonance under the reduced model 2 which, compared to the MR1, provides better quality information about the 3:1 tesseral resonance.
3.2. The Resonance in the Reduced Model 2
Including the secular effect of , the equation for determining the range of critical semi-major axis in RM2 results in
.
The superposition of secular effects in this model, for orbits where , results in a critical semi-major axis approximately 4 km smaller compared to the one presented in the previous case, as observed in Figure 4. In this figure, we see again that the critical semi-major axis moves away from the centre of mass of the system as the eccentricity increases its value.
Figure 4.
Critical semi-axis of the resonance 3:1 in the reduced model 2.
Choosing in Equation (16), the resulting critical semi-major axis is km. In Figure 5, we present the phase space of orbits with . We can see, easily, that the centre of the resonance has shifted at an angle of with respect to that observed in RM1. In RM2, the centre is at and , consequently at , and its eccentricity value is .
Figure 5.
Phase space of the resonance 3:1 of the orbits with semi-major axis km in the reduced model 2.
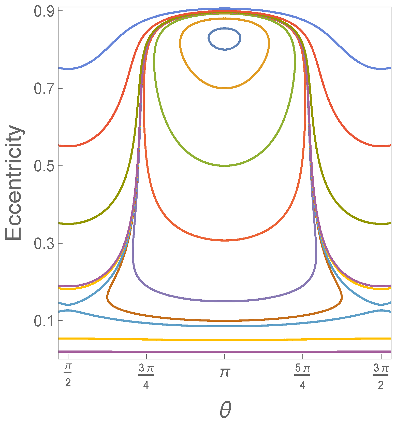
In Figure 6, unlike in the previous case, we see that the eccentricity value of the centre decreases if the critical semi-axis increases. Also, we observed that the eccentricity of the centre in RM2 is smaller than in RM1, due to the difference in sign between the resonant and between the secular terms of the model. Still, the resonance centre remains at a high value for an orbit with in Haumea.
Figure 6.
Eccentricity value of the centre of the resonance 3:1 in the reduce model 2.
As a particular case of interest, we present the phase space of orbits with Keplerian semi-axis, km, of the resonance (Figure 7). The Keplerian semi-axis is also a critical semi-major axis because it is the root of the Equation (16) when . In this case, the resonance centre is at , and . We observe two saddle points, unstable points, at and with eccentricity value equal to 0.134225.
Figure 7.
Phase space of the resonance 3:1 of the orbits with semi-major axis km in the reduced model 2.
In this phase space, the separatrix curve divides the circulation regime of the angle in two—the lower regime and upper regime—and the minimum value of eccentricity that generates this curve is the root of the following equation:
where . This value indicates that for orbits with eccentricity values smaller than it and , the resonant angle is in circulation regardless of its initial condition. Although, the separatrix is not visible in the two previous phase spaces, and consequently the saddle points, it exists and will be observed indirectly in the particle dynamics in the following section.
A note before continuing. If the secular expression of the coefficient in RM1 is obtained by applying step one and two as described in the previous Section 2.1, i.e.,
then the resonance centre is not present in the phase space as shown in Figure 8; that is, the centre would have a negative eccentricity value or greater than 1, resulting in an inconsistency, or simply might not exist.
Figure 8.
Phase space of the resonance 3:1 of the orbits with semi-major axis km in the reduced model 1 with the secular part given by Equation (18).
Once we have determined the characteristics of our interest of the resonance in the two reduced models, we proceed to compare the dynamics of the RM1 and NRM1 models, as well as of the RM2 and NRM2 models, by using Lagrange’s planetary equations. Making this comparison, we can determine whether the resonant term of the reduced model has a greater effect than the other terms that set up the tesseral harmonic of the near-reduced model. Consequently, we can determine the effect of 3:1 tesseral resonance on the dynamic of the particle.
3.3. Effects of the Tesseral Resonance 3:1
In this section, we analyse the dynamics of a particle under the effect of proposed models of Haumea anisotropy by applying the Lagrange planetary equations technique. This system of equations described in the set of orbital elements used here, is given by [9]:
where the function is the disturbing function. This system of equations is not well-defined for equatorial or circular orbits, so we will analyse orbits where 0.01°. The geometric figure that best fits the paths that the ring particles follow is the ellipse [1]. This leads us to define in the case studies, and thus avoid undefined results in the system of equations.
Numerical integration was performed by using the Runge–Kutta–Fehlberg RK4(5)6 method with maximum error of [15], in Python 3.8.10 software (Python Software Foundation, Wilmington, DE, USA).
It is necessary to emphasize that the curves in the phase space are curves in which the semi-major axis of the orbit is constant. However, in the Lagrange planetary equations, . This implies a variation of the eccentricity with different amplitude to that observed in the phase space.
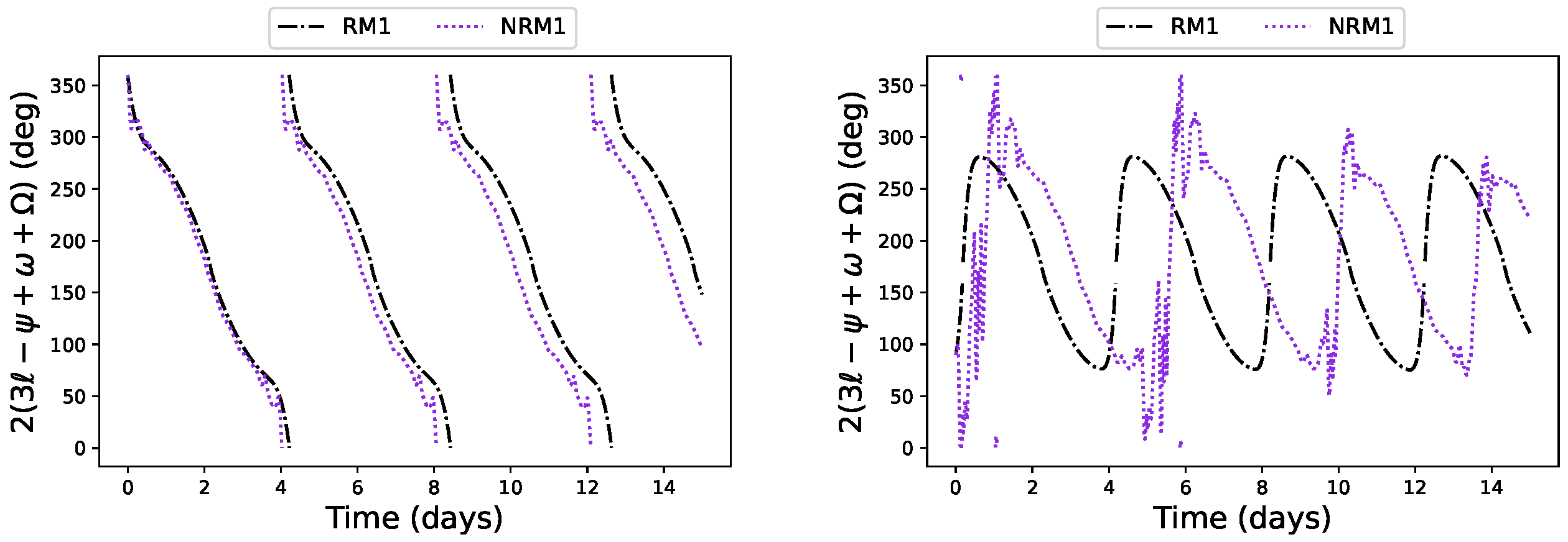
The Coriolis term, , present in the Hamiltonian function (12), is introduced in each of the four models in order to have consistency between the observed in space phase and the following results. The mean period of the angle in orbits with and semi-major axis and in RM1 and RM2, respectively, is shown in Figure 9a. In the Figure 9b,c, the models RM1- and RM2-, where , represent the particle dynamics in the inertial reference system.
Figure 9.
In figure (a), we have the average period of the angle in the case of and 0°, in the upper curve and at the bottom . In figure (b), the orbit is such that = 2318.46592 km, , 0°. In (c), = 2314.82430 km, and 0°.
In Figure 9b, we present the behaviour of the resonant angle in the orbit with , and 0°. We see that the period of the angle in RM1 is close to the mean period observed in Figure 9a and that it differs by almost one day with respect to the inertial frame of reference. In Figure 9c, the orbit has initial conditions , , 0°. In it, the angle circulation time in RM2 is close to its mean period, as well as in RM1. Comparing the results in the three figures, the resonant cosines of the reduced models have no significant influence on the angle period in the selected orbits. We observe that the addition of the secular effect of the coefficient results in a decrease in the circulation period of the angle.
For a particle orbiting a primary body, we identify two types of motion. If the variation in the orbital elements is small, generating a quasi-elliptical motion, we say that the particle is in regular motion. Otherwise, we said that the particle is in irregular motion.
3.3.1. Effects of Coefficient
The secular part is the same in both models, RM1 and NRM1. Thus, when we talk about the effect of tesseral resonance, it is about the effect of the resonant term of the RM1. When we talk about the effect of the coefficient , we are referring to the dynamics generated by the effect of the terms that set up the harmonic , NRM1. In the analysed cases, we have km and , and the difference in each of them is the initial condition of eccentricity (0.09, 0.1, 0.15 and 0.25). In each case, we have two orbits. For example, in case 1.1, the first column of Figure 10 has 0° which corresponds to 0°. The orbit with this initial condition of the angle we will call orbit 1. In the second column of the figure, we have 45° or 90°, which we will call orbit 2.
Figure 10.
Both orbits have initial condition: km, , 0°. In the first column or 0°. In the second column 45° or 90°.
The integration time is 15 days, enough time for the resonant angle to return to its initial value.
Case 1.1
In this case, . The resonant angle is in circulation in both models and in both orbits (Figure 10) and in orbit 2 the period is smaller than in orbit 1.
In orbit 1 and RM1, the eccentricity oscillates around 0.08 and the semi-major axis around its initial condition. In the NRM1, the eccentricity has a perturbed sinusoidal behaviour with a tendency to decrease its value. In the NRM1, the semi-major axis oscillates around 2400 km, and the eccentricity on the last day of integration takes the maximum value 0.12. Thus, the Keplerian orbit with and km has periapsis and apoapsis of km and km, respectively. Thus, we conclude that the particle does not remain confined to the ring region.
In orbit 2 and in NRM1, the semi-major axis oscillates around the values acquired in the RM1, and its average value is 2320 km. On the first day and in the same model, NRM1, the eccentricity takes its maximum value 0.12 and its minimum values is near to 0.07. After the first day, the eccentricity takes values less than 0.07. The Keplerian orbit with km and has km and km. Therefore, in orbit 2 and modelling Haumea’s anisotropy with NRM1, we can conclude that the particle remains in the ring region most of the time.
Case 1.2
Here . The behaviour of the particle in the two models in orbit 1 (first column of Figure 11) does not differ significantly from that observed in orbit 1 in the previous case. From this, we deduce that the particle does not remain in the ring region.
Figure 11.
Both orbits have initial condition: km, , 0°. In the first column or 0°. In the second column 45° or 90°.
In orbit 2, the models have different behaviours. In RM1, the angle is in libration in the first nine days with a large amplitude around 180°, the angular value in which the centre of resonance is found (Figure 2). This libration generates an irregular motion, causing the eccentricity to reach the value of 0.6. Even so, the semi-major axis reaches a value of 5000 km. Comparing the results of RM1 in orbit 2, 90°, of the present and previous case, we see that in the interval (0.09, 0.1) of the eccentricity there is a value that generate the separatrix between angle regimes. Continuing in orbit 2, we see that in NRM1 the particle is in regular motion, but this motion is not sufficient for the particle to remain confined to the ring region.
Case 1.3
In this case, . We can see in Figure 12 that, in orbit 1 and in RM1, the angle is in libration around 180° until the 12th day. The eccentricity presents an oscillation of considerable amplitude, reaching an approximate value of 0.65. On the other hand, the NRM1 generates an angle circulation motion with a period of approximately five days. This circulation occurs in the opposite direction of that observed in cases 1.1 and 1.2, indicating that the angle is in the upper circulation regime. In this same model, the eccentricity also reaches a high value of almost 0.65 and the semi-major axis leaves the ring region on the first day.
Figure 12.
The both orbits have initial condition: km, , 0°. In the first column or 0°. In the second column 45° or 90°.
In orbit 2, NRM1 shows an angle libration around 180° with an amplitude close to that generated by RM1 in the first 5 days. The relevant difference between the two models is in relation to the angle period; the difference is almost one day. In both models, the eccentricity exceeds the value of 0.6 and the semi-major axis of the orbit reaches 5000 km.
Case 1.4
In the latter case, the eccentricity initial condition is 0.25. In orbit 1 we see that the two models present the same behaviour in the three variables (Figure 13). The angle is in circulation and the value reached by the eccentricity is about 0.7. In the first period of the angle, the circulation velocity is close in both models, and then this velocity increases in the NRM2 resulting in a decrease in the period compared to the RM1.

Figure 13.
Both orbits have initial condition: km, , 0°. In the first column or 0°. In the second column 45° or 90°.
In orbit 2, we see that the angle is in libration in the two models. The eccentricity exceeds the value of 0.6 on the third day, and the semi-axis remains in the ring region only for the first day.
3.3.2. Effects of the Coefficients and
In this section, we will analyse the dynamics generated by the RM2 and NRM2 models. In the cases presented, the orbits have an initial condition km, 0°. The eccentricity has the initial condition 0.09, 0.1, 0.15, 0.25 and 0.831, one value for each case. Again, the orbit 1 has 0° and orbit 2 has 45° or 90°.
Case 2.1
Here . In the first column of Figure 14, we present the dynamics of the particle in orbit 1. In this orbit and in NRM2, the eccentricity and the semi-major axis obtain values above those provided by RM2. We see that the effect of the two coefficients, and , produces an eccentricity oscillation with a tendency to decrease its maximum value; even so, at the end of the integration its maximum value is greater than 0.1. In the NRM2, the semi-major axis oscillates around 2400 km. With the values obtained by the eccentricity and the semi-major axis of the orbit, as in Case 1.1 and in orbit 1, we conclude that the particle does not remain confined to the ring region.

Figure 14.
Both orbits have initial condition: km, , 0°. In the first column or 0°. In the second column 45° or 90°.
In the second column of the figure, in orbit 2, the resonant angle is in circulation. At integration time, the mean value of the semi-major axis in RM2 can be considered as the mean value of NRM2, which is approximately 2320 km. Most of the time, the eccentricity takes values below 0.08. The mean orbit with km and has km and km. Considering these two distances from the centre of mass of the system, and that the eccentricity most of the time is less than 0.08, with a tendency to decrease their maximum values, we conclude that at some moment the particle will be confined in the ring region.
Case 2.2
In this case, the initial eccentricity value is 0.1. In both orbits (Figure 15), NRM2 shows that the resonant angle is in circulation.

Figure 15.
Both orbits have initial condition: km, , 0°. In the first column, or 0°. In the second column, 45° or 90°.
In orbit 1 and in the NRM2, the eccentricity presents values below 0.12 most of the time and the semi-major axis oscillates around 2380 km, making the particle to be not confined in the ring region. In orbit 2 and in both models, there is a regular motion of the particle. The eccentricity and the semi-major axis has values close to the observed in orbit 2 of the previous case, and the eccentricity especially tends to decrease its maximum values, causing the particle to remain in the ring region most of the time.
Case 2.3
With , in orbit 1 we observe that the angle is in circulation in both models (first column of Figure 16). However, in RM2 the angle is in the lower circulation regime and the particle presents a regular motion. In NRM2 the angle is in the upper circulation regime, so the eccentricity and the semi-major axis of the orbit reaches values above 0.6 and 5000 km, respectively, showing an irregular motion of the particle. The difference between the two models in the present case leads us to conclude that the separatrix eccentricity value in RM2 is greater than in NRM2.
Figure 16.
Both orbits have initial condition: km, , 0°. In the first column, or 0°. In the second column, 45° or 90°.
In orbit 2 (second column of Figure 16), initially both models show a libration of the angle and after eight days it continues in circulation in NRM2. The libration happens around 180°. The two models present very similar values in the three variables, showing that the reduced model considerably represents the dynamics of the particle in this orbit.
Case 2.4
In this case, . In orbit 1 and in both models, the angle is in circulation (Figure 17), and its period in NRM2 decreases compared to that observed in RM2. The eccentricity and semi-major axis present high and close values between the two models, and the semi-major axis of the orbit leaves the ring region on the first day of integration.
Figure 17.
Both orbits have initial condition: km, , 0°. In the first column, or 0°. In the second column, 45° or 90°.
In orbit 2 and in both models, as in Case 2.3, the libration angle is around 180°, the eccentricity exceeds the value of 0.6, and the semi-major axis reaches values above 5000 km.
Case 2.5
In this case, the initial condition of eccentricity in the two orbits is the value of the resonance centre, , in RM2. The integration time is three days, enough time to determine whether the behaviour of the variables in the two models is similar. In orbit 1 and RM2 (first column of Figure 18), the resonant angle oscillates around 0°, agreeing with its location in the phase space of the RM2 (Figure 5). The eccentricity presents an oscillation with small amplitude, and the behaviour is observed in the vicinity of the resonance centre. In NRM2, the eccentricity has a drop to 0.1 and then returns near to its initial condition; the angle presents a libration in the first hours and then remains in circulation with apparent libration. In both models, the semi-major axis of the orbit leaves the ring region at the beginning of integration.
Figure 18.
Both orbits have initial condition: km, , 0°. In the first column, or 0°. In the second column, 45° or 90°.
In orbit 2, where is in the circulation regime, and in both models, the resonant angle is in circulation and the eccentricity shows a small oscillation during the analysed time. The semi-major axis of the orbit in NRM2 closely follows the values obtained in RM2.
In both orbits, we see that the eccentricity and resonance angle in RM2 show the behaviour observed in the corresponding phase space.
4. Observations about the 3:1 Tesseral Resonance in Haumea
In Haumea, the secular effect of the coefficient causes the critical semi-major axis of the 3:1 tesseral resonance to be greater than its Keplerian semi-axis () by approximately 22 km. When we add the secular effect of , the critical semi-major axis of the resonance is almost 18 km greater than its Keplerian semi-axis, i.e., where and belong to the range of critical semi-major axes in RM2 and RM1, respectively.
The resonance centre in RM1, in the range of critical semi-major axes (2318.4, 2139) km, is located at 180° with eccentricity values in the interval (0.88300, 0.883065). Therefore, if a particle is in 3:1 resonance with Haumea, its acquired maximum eccentricity value is expected to be close to that observed in phase space, as observed in cases 1.3 and 1.4.
In the orbits of cases 1.3 and 1.4, we observed a concordance in the behaviour of the three variables in the two models, except for the angle in orbit 1 of Case 1.3, but this exception is not relevant in the results. The agreement between the models in the mentioned cases shows us the dominant effect of the resonant cosine of the 3:1 resonance on the particle dynamics. In these orbits, we observe an irregular movement of the particle reflected in the considerable amplitude with which the eccentricity varies, exceeding the value 0.6. From the observed, we conclude that a particle in 3:1 tesseral resonance with Haumea, under RM1 or NRM1, does not remain in the ring region.
In Case 1.1, , we see a regular motion of the particle. In both orbits, both models show that the angle is in circulation. In orbit 2, 90°, the semi-major axis oscillates around 2320 km. The eccentricity has a tendency to decrease its value at the time of integration, showing that the particle remains for most of the time in the ring region. In this orbit, we see that the values acquired by the eccentricity and the semi-major axis of the orbit in RM1, are near to the values of these two variables in the near-reduced model, indicating that the reduced model significantly represents the dynamics of the particle in orbit 2.
Other cases were performed with . We observed that the eccentricity and the semi-major axis decrease the amplitude of oscillation when . Therefore, reasoning by induction, we conclude that a particle in orbit with initial condition , 0.01°, 90° and , has its trajectory confined to the ring region. This conclusion is similar to the result presented by [4]. However, the perturbing function and the analysis method are not the same, because in this work the effect of is considered, and the results are obtained by using the Poincare section method. It mentions the following “are indications that the first kind periodic orbits are more strongly connected to the Haumea’s ring than the 3:1 resonance”. Periodic orbits of the first kind are orbits with . In the mentioned work, the angle is in libration around , as in cases 1.3 and 1.4.
Orbit 2 in Case 1.2 provides an indirect observation of the separatrix between the angle regimes. In this orbit, in which and 90°, the two models diverge, because RM1 produces irregular motion and NRM1 produces regular motion. In the reduced model, the eccentricity value that separates the circulation regime from the libration regime is in the interval (0.09, 0.1). In NRM1, the effect of the coefficient causes the eccentricity value of the separatrix to be in the interval (0.1, 0.15).
When we include the secular effect of and the coefficient , MR2, the centre of the resonance is located at the angular value 0° and its eccentricity value in the interval (0.831556, 0.8831570).
In Case 2.5, in which takes the value of the resonance centre at , the behaviour of the eccentricity and the resonant angle agrees with that observed in phase space (Figure 5). That is, in orbit 1 where is in the libration regime, the angle presented libration around 0°, and the eccentricity oscillates with small amplitude around the centre, as expected. However, the same was not observed in NRM2. In orbit 2, the angle’s initial condition is in the circulation regime and the observed behaviour was the same one. In this orbit, the two models present the same behaviour in the three variables and are consistent with the observed in the corresponding phase space.
In the two orbits of Case 2.4, , and both models show an irregularly moving particle. Likewise, in the orbit with and 90° (Case 2.3). In these orbits, we observe that the maximum value of the eccentricity is close to 0.6, as observed in cases 1.3 and 1.4. With this, we conclude that a particle in 3:1 tesseral resonance with Haumea does not remain confined to the ring region.
Comparing cases 1.1 and 2.1, 1.2, and 2.2, we see that the resonant angle in the lower circulation regime has a shorter period in NRM2 compared to NRM1. This is the product of the secular effect of coefficient . In the same regime and in the RM2 and NRM2, the eccentricity and the semi-major axis present the smallest amplitude of oscillation when 90°.
As in the RM1 and NRM1, a particle under the perturbing effect of the coefficients and in orbits of initial conditions , 90° and , may remain confined in the ring region.
Though , we see that the results generated by NRM2 are close to those provided by NRM1 in each of the three variables, except when , which leads us to the conclusion that the effect of the coefficient is considerably greater compared to the effect of the , dominating the particle dynamics. The dominance of the coefficient in the orbits analysed here agrees with the result obtained, although by using different methods than those in the work written by Sanchez et al. [5]. In this work, in the region between 2000 km and 2500 km the coefficient dominates the particle dynamics in comparison to the others’ harmonic coefficients.
The particle dynamics under the RM2 and NRM2 models were also analysed in cases in which the initial condition of the inclination takes two values, 0.001° and 0.025°, and the initial conditions of the other variables continued to be the same as in each of the nine cases presented. The result is that there was no significant difference in the variation of each of the three variables compared with those obtained in each of the cases analysed in the present work.
5. Conclusions
In this work, we analyse the dynamics of a particle in the equatorial orbit of the 3:1 tesseral resonance on the dwarf planet Haumea. Through the Hamiltonian function of the reduced system, we determine that the centre of the 3:1 tesseral resonance is at and at 180° in the MR1, and at and in 0° in the MR2. After that, we analysed, through Lagrange’s planetary equations, the dynamics of the particle in orbit with an initial semi-major axis equal to one of the critical semi-major axis of the 3:1 resonance obtained in each of two reduced models, respectively. In the case of orbits with eccentricity between (0.02, 0.09) and (1.5, 2.5) the reduced models represent, significantly, the particle dynamics, showing the dominance of the resonant term in the particle motion.
In the case of equatorial orbits where , the particle is in 3:1 tesseral resonance with Haumea, and the eccentricity reaches the value of 0.6 and the semi-major axis of the orbit reaches values above 5000 km. In the case of orbits where , the resonant angle is in circulation, and the particle remained during most part of the time in the ring region. Therefore, the tesseral resonance mechanism, resonance 3:1, is not responsible for the existence of the Haumea’s ring, according to the effect of the models analysed here. This result contributes to the search to determine the reason for the permanence of the particles in the ring, as it discards this resonance as a possible cause.
Author Contributions
Conceptualization and methodology: D.A.C.M., D.M.S., A.F.B.A.P. and R.V.d.M.; software, formal analysis, investigation, and writing—original draft preparation, D.A.C.M.; writing—review and editing and supervision, A.F.B.A.P., D.M.S. and R.V.d.M. All authors have read and agreed to the published version of the manuscript.
Funding
This paper has been supported by the RUDN University Strategic Academic Leadership Program.
Data Availability Statement
All data generated or analyzed during this study are included in this published article in the form of figures.
Acknowledgments
This study was financed in part by the Coordenação de Aperfeiçoamento de Pessoal de Nivel Superior—Brasil (CAPES)—Finance Code 001. The authors wish to express their appreciation for the support provided by grants 307724/2017-4, 303102/2019-5 from the National Council for Scientific and Technological Development (CNPq); grants 2016/24561-0 from São Paulo Research Foundation (FAPESP).
Conflicts of Interest
The authors declare no conflict of interest.
References
- Ortiz, J.L.; Santos-Sanz, P.; Sicardy, B.; Benedetti-Rossi, G.; Bérard, D.; Morales, N.; Duffard, R.; Braga-Ribas, F.; Hopp, U.; Ries, C.; et al. The Size, Shape, Density and Ring of the Dwarf Planet Haumea from Stellar Occultation; Macmillam Publishers Limited (Springer Nature): New York, NY, USA, 2017. [Google Scholar]
- Ragozzine, D.; Brown, M.E. Orbits and masses of the satellites of the dwarf planet Haumea (2003 EL61). Astron. J. 2009, 137, 4766. [Google Scholar] [CrossRef]
- Kovacs, T.; Regaly, Z. Dynamics of Haumea’s dust ring. Mon. Not. R. Astron. Soc. 2018, 479, 4560–4565. [Google Scholar] [CrossRef] [Green Version]
- Winter, O.; Borderes-Motta, G.; Ribeiro, T. On the location of the ring around the dwarf planet Haumea. Mon. Not. R. Astron. Soc. 2019, 484, 3765–3771. [Google Scholar] [CrossRef] [Green Version]
- Sanchez, D.M.; Deienno, R.; Prado, A.F.; Howell, K.C. Perturbation Maps and the ring of Haumea. Mon. Not. R. Astron. Soc. 2020, 496, 2085–2097. [Google Scholar] [CrossRef]
- Sumida, I.; Ishizawa, Y.; Hosono, N.; Sasaki, T. N-body Simulations of the Ring Formation Process around the Dwarf Planet Haumea. Astrophys. J. 2020, 897, 21. [Google Scholar] [CrossRef]
- Marzari, F. Ring dynamics around an oblate body with an inclined satellite: The case of Haumea. Astron. Astrophys. 2020, 643, A67. [Google Scholar] [CrossRef]
- Garfinkel, B. On the ideal resonance problem. In Periodic Orbits, Stability and Resonances; Springer: Berlin/Heidelberg, Germany, 1970; pp. 474–481. [Google Scholar]
- Fernandes, S.; Zanardi, M. Fundamentos de Astronáutica e Suas Aplicaçoes; Editora UFABC: Sao Bernardo do Campo, Brazil, 2018; p. 499. [Google Scholar]
- Kaula, W.M. Theory of Satellite Geodesy’; Blaisdell Publ. Co.: Waltham, MA, USA, 1966. [Google Scholar]
- Balmino, G. Gravitational potential harmonics from the shape of an homogeneous body. Celest. Mech. Dyn. Astron. 1994, 60, 331–364. [Google Scholar] [CrossRef]
- Celletti, A.; Gales, C.; Lhotka, C. Resonances in the Earth’s space environment. Commun. Nonlinear Sci. Numer. Simul. 2020, 84, 105185. [Google Scholar] [CrossRef] [Green Version]
- Morbidelli, A. Modern Celestial Mechanics: Aspects of Solar System Dynamics; Taylor & Francis: London, UK; New York, NY, USA, 2002. [Google Scholar]
- Lanczos, C. The Variational Principles of Mechanics; Oxford University Press: London, UK, 1952. [Google Scholar]
- de Iaco Veris, A. Practical Astrodynamics; Springer: Cham, Switzerland, 2018. [Google Scholar]
Publisher’s Note: MDPI stays neutral with regard to jurisdictional claims in published maps and institutional affiliations. |
© 2022 by the authors. Licensee MDPI, Basel, Switzerland. This article is an open access article distributed under the terms and conditions of the Creative Commons Attribution (CC BY) license (https://creativecommons.org/licenses/by/4.0/).




















