Abstract
We investigate the existence of solutions for a system of m-singular sum fractional q-differential equations in this work under some integral boundary conditions in the sense of Caputo fractional q-derivatives. By means of a fixed point Arzelá–Ascoli theorem, the existence of positive solutions is obtained. By providing examples involving graphs, tables, and algorithms, our fundamental result about the endpoint is illustrated with some given computational results. In general, symmetry and q-difference equations have a common correlation between each other. In Lie algebra, q-deformations can be constructed with the help of the symmetry concept.
Keywords:
Caputo q-derivative; singular sum fractional q-differential; fixed point; equations; Riemann–Liouville q-integral MSC:
34A08; 34B16; 39A13
1. Introduction
There are many definitions of fractional derivatives that have been formulated according to two basic conceptions: one of a global (classical) nature and the other of a local nature. Under the first formulation, the fractional derivative is defined as an integral, Fourier, or Mellin transformation, which provides its non-local property with memory. The second conception is based on a local definition through certain incremental ratios. This global conception is associated with the appearance of the fractional calculus itself and dates back to the pioneering works of important mathematicians, such as Euler, Laplace, Lacroix, Fourier, Abel, and Liouville, until the establishment of the classical definitions of Riemann–Liouville and Caputo.
Until relatively recently, the study of these fractional integrals and derivatives was limited to a purely mathematical context; however, in recent decades, their applications in various fields of natural Sciences and technology, such as fluid mechanics, biology, physics, image processing, or entropy theory, have revealed the great potential of these fractional integrals and derivatives [1,2,3,4,5,6,7,8,9]. Furthermore, the study from the theoretical and practical point of view of the elements of fractional differential equations has become a focus for interested researchers [10,11,12,13,14,15].
The q-difference equations (qDifEqs) were first proposed by Jackson in 1910 [16]. After that, qDifEqs were investigated in various studies [17,18,19,20,21,22,23,24]. On the contrary, integro-differential equations (InDifEqs) have been recently studied via various fractional derivatives and formulations based on the original idea of qDifEqs (see [25,26,27,28,29,30,31,32]). The concept of symmetry and q-difference equations are connected to each other while theoretically investigating the differential equation symmetries.
The solution existence and uniqueness for the fractional qDifEqs were investigated in 2012 by Ahmad et al. as: with boundary conditions (B.Cs):
where , , are real numbers, for and [20]. The q-integral problem was studied in in 2013 by Zhao et al. as:
with B.Cs: and almost ∀, where , , , , is positive real number, and is the q-derivative of Riemann–Liouville (RL) and the real values continuous map u defined on [24]. The problem:
was investigated in 2014 by Ahmad et al. with B.Cs:
and
where , is the Caputo fractional q-derivative (CpFqDr), , represents the RL integral with , f and g are given continuous functions, and are real constants, and for [19]. The solutions’ existence was studied in 2019 by Samei et al. for some multi-term q-integro-differential equations with non-separated and initial B.Cs ([23]).
Inspired by all previous works, we investigate in this work the positive solutions for the singular fractional q-differential equation (SFqDEqs) as follows:
with the B.Cs: , and , where , is the RL q-integral of order for the given function: u, here , , , , , , is continuous, that is, h is singular at , and represents the CpFqDr of order , .
2. Essential Preliminaries
Assume that and . Define [16]. The power function: with is written as:
for and , where x and y are real numbers and ([17]). In addition, for and , we obtain:
If , then it is obvious that . The q-Gamma function is expressed by
where ([16]). We know that . The value of the q-Gamma function, , for input values q and z with counting the sentences’ number n in summation by simplification analysis. A pseudo-code is constructed for estimating q-Gamma function of order n. The q-derivative of function w, is expressed as:
and ([17]). In addition, the higher order q-derivative of a function w is defined by for all , where ([17,18]). The q-integral of a function f defined on is expressed as:
for , provided that the series is absolutely convergent ([17,18]). If a in , then we have:
if the series exists. The operator is given by and for and ([17,18]). It is proven that and whenever w is continuous at ([17,18]). The fractional RL type q-integral of the function w on J for is defined by , and
for and ([22,33]). In addition, the CpFqDr of a function w is expressed as:
where and ([22]). It is proven that
where ([22]).
Some essential notions and lemmas are now presented as follows: In our work, and are denoted by and , respectively, where .
Lemma 1
([34]). If with , then
where n is the smallest integer , and is some real number.
Here, we restate the well-known Arzelá–Ascoli theorem. Assume that is a sequence of bounded and equicontinuous real valued functions on . Then, S has a uniformly convergent subsequence. We need the following fixed point theorem in our main result:
Lemma 2
([35]). Assume that is a Banach space, is a cone, and , are two bounded open balls of centered at the origin with . Assume that is a completely continuous operator such that either for all and for all , or for each and for . Then, Ω has a fixed point in .
3. Main Results
Differential Equation
Let us now present our fundamental lemma as follows:
Lemma 3.
The is a solution for the q-differential equation with the B.Cs: , and if is a solution for the q-integral equation
where
for , , the function , and with .
Proof.
Let us first assume that is a solution for the equation with the B.Cs. By using Lemma 1, we obtain:
and by using the condition , we have
Indeed,
and thus
Note that and
On the other hand,
Hence,
Therefore, we have
where
whenever and
whenever . Hence, is an integral equation’s solution. By simple review, we can see that is a solution for the equation with the B.Cs whenever is an integral equation’s solution. □
Remark 1.
By applying some simple calculations, one can show that for each . Now, let us define the operator Ω on the Banach space by
It is easy to check that is a fixed point of the operator Ω if is a solution for Equation (1).
Consider together the supremum norm and cone, P is the set of all such that ∀. Suppose that is the singular function at in the Equation (1) and is the q-Green function in Lemma 3. Now, define the self operator on P by
for all . At present, we can provide our first main result on the solution’s existence for problem (1) under some assumptions.
Theorem 1.
Problem (1) has a unique solution if the following conditions hold.
- I.
- There exists a continuous function such thatfor .
- II.
- There exists , and positive constant k such thatfor each andfor each u, v belang to P.
Proof.
Note that,
for all . Now, put
and define . Clearly, B is a bounded and closed subset of , and thus B is complete. If , then we obtain:
∀ and thus
Indeed, , and therefore a restriction of on B is an operator on B. Let u, . Then, we obtain
for all . Take
Since , we obtain , and therefore is a contraction. Thus, has a unique fixed point in B. By employing Lemma 3, the problem (1) has a unique solution in B. □
Lemma 4.
Suppose that there exists such that the map is a continuous map on J. If is the q-Green function (3) in Lemma 3, then
is also a continuous map on J. The self-operator Ω is completely continuous whenever there exists such that the map is a continuous map on .
Proof.
Since the map is continuous and , we obtain
where ,
Indeed, . Note that, is continuous in . First, suppose that and . By continuity , there exists such that
Thus, we have:
This implies that . At present, in the next case, we assume that and . Thus, we obtain:
On the other hand,
and therefore . By applying in a similar way, we conclude that
whenever and . Now, we prove that the self-operator is completely continuous. Assume that . Since the function is continuous, there exist such that
for each u, with . Thus, we obtain
Therefore, is continuous. Let be bounded. Choose such that for each . Since the function is continuous on , the function: is also continuous on . Select such that for all , and t belongs to . Thus,
for each , and thus
This implies that is bounded. Assume that and with . Then, we obtain
Thus,
In other cases, one can prove a similar result. Hence, is equicontinuous. Now, by applying the Arzelà–Ascoli theorem, is compact, and therefore is completely continuous. □
Theorem 2.
The problem (1) has at least one positive solution whenever the hypothesis as follows holds:
- I.
- There exists such that the map is a continuous map on J.
- II.
- There exists and with such that and for each and , respectively, where
Proof.
We take the set and of all such that
and
respectively. Since and , we have:
Since and , and
therefore, . If , then
∀, and also
Hence, on . If , then
for . Thus, on . Since the self-operator defined on P is completely continuous and is a closed subset of P, the restriction is completely continuous. At present, by employing Lemma 2, has a fixed point in . By simple review, we can see that the fixed point of is a positive solution for problem (1). □
4. Illustrative Examples with Application
Some illustrative examples are provided in this section to validate our original results. At the same time, a computational technique is constructed for testing the problem (1) and (2). A simplified analysis is also studied for executing the q-Gamma function’s values. As a result, a pseudo-code that describes our simplified method is presented for calculating the q-Gamma function of order n in Algorithm A1 (for more details, see the following online resources: https://en.wikipedia.org/wiki/Q-gamma_function and https://www.dm.uniba.it/members/garrappa/software, accessed on 10 March 2021).
When the analytical solution is impossible to find for certain problems, we need to find the numerical approximation with a tiny step h via the implicit trapezoidal PI rule, which usually shows excellent accuracy [36]. Our numerical experiments were performed with the help of MATLAB software. Some additional supporting information are provided in Appendix A of this paper including some algorithms of the proposed method (see Algorithms A1–A5), and Table A1, Table A2 and Table A3 present various numerical experiments to provide additional support to the validity of our results in this work.
Example 1.
Consider the SFqDEq with the B.C:
for all and .
In Problem (1), define
Define the continuous map:
such that
that is, h is singular at . In addition to, Table 1 shows that
holds for each q.
Table 1.
Numerical experiment for calculating , in Example 1 for .
To numerically show our results, we consider the problem (2) as follows:
Thus,
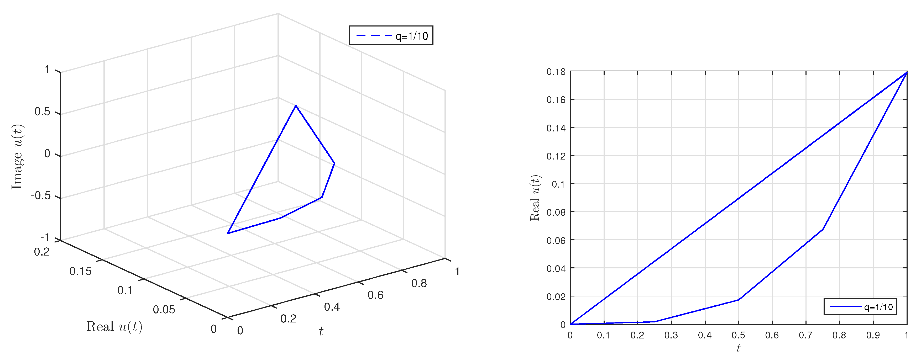
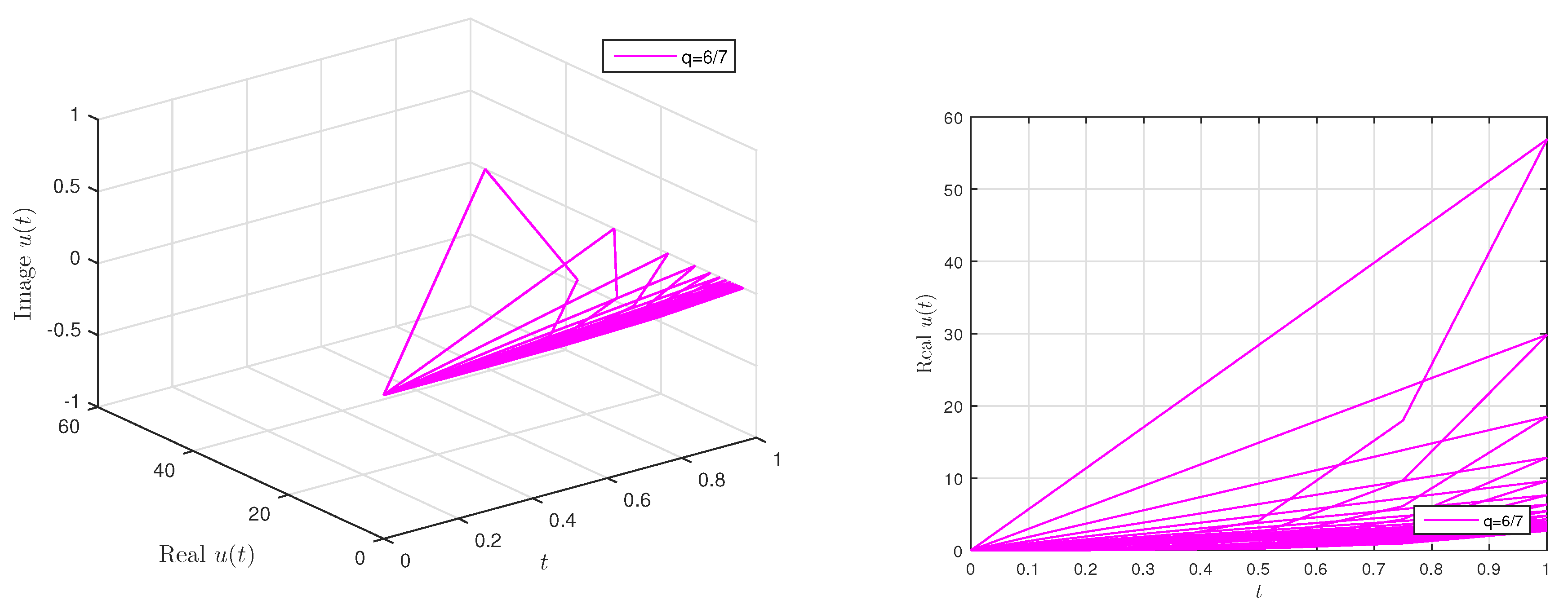
Table 2 shows numerically the values of in Equation (5). In addition, the curve of w.r.t t in Figure 1, Figure 2 and Figure 3 for , , and , respectively (Algorithm A1).
Table 2.
Numerical experiment of Equation (5) in Example 1 for and (Algorithm A1).
We can see that all conditions of Theorem 2 hold. Thus, the fixed point of Ω is a positive solution for problem (4).
Linear motion is the most basic of all motion. According to Newton’s first law of motion, objects that do not experience any net force will continue to move in a straight line with a constant velocity until they are subjected to a net force. In the next example, we consider an application to examine the validity of our theoretical results on the fractional order representation of the motion of a particle along a straight line.
Example 2.
We consider a constrained motion of a particle along a straight line restrained by two linear springs with equal spring constants (stiffness coefficient) under an external force and fractional damping along the t-axis (Figure 4).
Figure 4.
A particle along a straight line restrained by two linear springs with equal spring constants.
The springs, unless subjected to force, are assumed to have free length (unstretched length) and resist a change in length. The motion of the system along the t-axis is independent of the initial spring tension. The springs are anchored on the t-axis at and , and the vibration of the particle in this example is restricted to the t-axis only.
The vibration of the system is represented by a system of equations with the first equation having similar form of a simple harmonic oscillator, which cannot produce instability. Hence, the existence solution of the system depends on the following equation represented as the SFqDEq with the B.C:
for all , . Here, θ and ν are constants, and L is the unstretched length of the spring. In Problem (1),
Define the continuous map:
for , such that
that is, h is singular at . Consider particular values of the parameters m, . We consider particular values of the parameter . Therefore, all conditions of Theorem 2 hold. Thus, the SFqDEq (6) has a solution.
5. Conclusions
The existence of solutions was successfully investigated for a system of m-singular sum fractional q-differential equations under some integral B.Cs in the sense of CpFqDr. The positive solutions’ existence was also studied with the help of a fixed point Arzelà–Ascoli theorem. Illustrative examples and numerical experiments were provided to validate our theoretical results.
Author Contributions
Conceptualization, M.E.S., R.G., M.K.A.K. and F.M.; methodology, M.E.S., M.I. and F.M.; software, M.E.S. and R.G.; validation, M.K.A.K., F.M. and S.-W.Y.; formal analysis, R.G.; investigation, M.E.S. and M.K.A.K.; resources, F.M., S.-W.Y. and M.I.; data curation, R.G.; writing—original draft preparation, M.E.S., R.G., M.K.A.K. and F.M.; writing—review and editing, M.K.A.K., F.M. and M.I.; visualization, M.E.S.; supervision, M.K.A.K., M.I. and S.-W.Y.; project administration, M.K.A.K.; funding acquisition, S.-W.Y. All authors have read and agreed to the published version of the manuscript.
Funding
Not applicable.
Institutional Review Board Statement
Not applicable.
Informed Consent Statement
Not applicable.
Data Availability Statement
Not applicable.
Acknowledgments
The first and second authors were supported by Bu-Ali Sina University.
Conflicts of Interest
The authors declare that they have no competing interest.
Appendix A. Supporting Information
| Algorithm A1 The proposed method for calculating . |
|
| Algorithm A2 The proposed method for calculating . |
|
| Algorithm A3 The proposed method for calculating . |
|
| Algorithm A4 The proposed method for calculating . |
|
| Algorithm A5 The proposed method for calculating . |
|
Table A1.
Some numerical results for the calculation of with that is constant, and of Algorithm A1.
Table A1.
Some numerical results for the calculation of with that is constant, and of Algorithm A1.
| n | n | ||||||
|---|---|---|---|---|---|---|---|
| 1 | 9 | ||||||
| 2 | 10 | ||||||
| 3 | 11 | ||||||
| 4 | 12 | ||||||
| 5 | 13 | ||||||
| 6 | 14 | ||||||
| 7 | 15 | ||||||
| 8 |
Table A2.
Some numerical results for the calculation of with , and of Algorithm A1.
Table A2.
Some numerical results for the calculation of with , and of Algorithm A1.
| n | n | ||||||
|---|---|---|---|---|---|---|---|
| 1 | 18 | ||||||
| 2 | 19 | ||||||
| 3 | 20 | ||||||
| 4 | 21 | ||||||
| 5 | 22 | ||||||
| 6 | 23 | ||||||
| 7 | 24 | ||||||
| 8 | 25 | ||||||
| 9 | 26 | ||||||
| 10 | 27 | ||||||
| 11 | 28 | ||||||
| 12 | 29 | ||||||
| 13 | 30 | ||||||
| 14 | 31 | ||||||
| 15 | 32 | ||||||
| 16 | 33 | ||||||
| 17 | 34 |
Table A3.
Some numerical results for the calculation of with , and of Algorithm A1.
Table A3.
Some numerical results for the calculation of with , and of Algorithm A1.
| n | n | ||||||
|---|---|---|---|---|---|---|---|
| 1 | 21 | ||||||
| 2 | 22 | ||||||
| 3 | 23 | ||||||
| 4 | 24 | ||||||
| 5 | 25 | ||||||
| 6 | 26 | ||||||
| 7 | 27 | ||||||
| 8 | 28 | ||||||
| 9 | 29 | ||||||
| 10 | 30 | ||||||
| 11 | 31 | ||||||
| 12 | 32 | ||||||
| 13 | 33 | ||||||
| 14 | 34 | ||||||
| 15 | 35 | ||||||
| 16 | 36 | ||||||
| 17 | 37 | ||||||
| 18 | 38 | ||||||
| 19 | 39 | ||||||
| 20 | 40 |
References
- Beyer, H.; Kempfle, S. Definition of physical consistent damping laws with fractional derivatives. Z. Angew. Math. Mech. 1995, 75, 623–635. [Google Scholar] [CrossRef]
- He, J.H. Some applications of nonlinear fractional differential equations and their approximations. Sci. Technol. Soc. 1999, 15, 86–90. [Google Scholar]
- He, J.H. Approximate analytic solution for seepage flow with fractional derivatives in porous media. Comput. Methods Appl. Mech. Eng. 1998, 167, 57–68. [Google Scholar] [CrossRef]
- Caputo, M. Linear models of dissipation whose Q is almost frequency independent-II. Geophys. J. Int. 1967, 13, 529–539. [Google Scholar] [CrossRef]
- Yan, J.P.; Li, C.P. On chaos synchronization of fractional differential equations. Chaos Solitons Fractals 2007, 32, 725–735. [Google Scholar] [CrossRef]
- Sommacal, L.; Melchior, P.; Dossat, A.; Petit, J.; Cabelguen, J.M.; Oustaloup, A.; Ijspeert, A.J. Improvement of the muscle fractional multimodel for low-rate stimulation. Biomed. Signal Process. Control 2007, 2, 226–233. [Google Scholar] [CrossRef]
- Rezapour, S.; Mojammadi, H.; Samei, M.E. SEIR epidemic model for COVID-19 transmission by Caputo derivative of fractional order. Adv. Differ. Equ. 2020, 2020, 490. [Google Scholar] [CrossRef] [PubMed]
- Silva, M.F.; Machado, J.A.T.; Lopes, A.M. Fractional order control of a hexapod robot. Nonlinear Dyn. 2004, 38, 417–433. [Google Scholar] [CrossRef]
- Mathieu, B.; Melchior, P.; Oustaloup, A.; Ceyral, C. Fractional differentiation for edge detection. Signal Process 2003, 83, 2421–2432. [Google Scholar] [CrossRef]
- Diethelm, K.; Ford, N.J. Analysis of Fractional Differential Equations. J. Math. Anal. Appl. 2002, 265, 229–248. [Google Scholar] [CrossRef] [Green Version]
- Mishra, S.K.; Samei, M.E.; Chakraborty, S.K.; Ram, B. On q-variant of Dai–Yuan conjugate gradient algorithm for unconstrained optimization problems. Nonlinear Dyn. 2021, 2021, 35. [Google Scholar] [CrossRef]
- Ntouyas, S.K.; Samei, M.E. Existence and uniqueness of solutions for multi-term fractional q–integro-differential equations via quantum calculus. Adv. Differ. Equ. 2019, 2019, 475. [Google Scholar] [CrossRef]
- Lakshmikantham, V.; Vatsala, A.S. Basic theory of fractional differential equations. Nonlinear Anal. Theory Methods Appl. 2008, 69, 2677–2682. [Google Scholar] [CrossRef]
- Samei, M.E. Existence of solutions for a system of singular sum fractional q–differential equations via quantum calculus. Adv. Differ. Equ. 2020, 2020, 23. [Google Scholar] [CrossRef] [Green Version]
- Matar, M.M.; Abbas, M.I.; Alzabut, J.; Kaabar, M.K.A.; Etemad, S.; Rezapour, S. Investigation of the p-Laplacian nonperiodic nonlinear boundary value problem via generalized Caputo fractional derivatives. Adv. Differ. Equ. 2021, 2021, 68. [Google Scholar] [CrossRef]
- Jackson, F. q–difference equations. Am. J. Math. 1910, 32, 305–314. [Google Scholar] [CrossRef]
- Adams, C. The general theory of a class of linear partial q–difference equations. Trans. Am. Math. Soc. 1924, 26, 283–312. [Google Scholar]
- Adams, C. Note on the integro-q–difference equations. Trans. Am. Math. Soc. 1929, 31, 861–867. [Google Scholar]
- Ahmad, B.; Nieto, J.J.; Alsaedi, A.; Al-Hutami, H. Existence of solutions for nonlinear fractional q–difference integral equations with two fractional orders and nonlocal four-point boundary conditions. J. Franklin Inst. 2014, 351, 2890–2909. [Google Scholar] [CrossRef]
- Ahmad, B.; Ntouyas, S.; Purnaras, I. Existence results for nonlocal boundary value problems of nonlinear fractional q–difference equations. Adv. Differ. Equ. 2012, 2012, 140. [Google Scholar] [CrossRef] [Green Version]
- Balkani, N.; Rezapour, S.; Haghi, R.H. Approximate solutions for a fractional q–integro-difference equation. J. Math. Ext. 2019, 13, 201–214. [Google Scholar]
- Ferreira, R. Nontrivials solutions for fractional q–difference boundary value problems. Electron. J. Qual. Theory Differ. Equ. 2010, 70, 1–101. [Google Scholar] [CrossRef]
- Samei, M.E.; Ranjbar, G.K.; Hedayati, V. Existence of solutions for equations and inclusions of multi-term fractional q–integro-differential with non-separated and initial boundary conditions. J. Inequalities Appl. 2019, 2019, 273. [Google Scholar] [CrossRef] [Green Version]
- Zhao, Y.; Chen, H.; Zhang, Q. Existence results for fractional q–difference equations with nonlocal q–integral boundary conditions. Adv. Differ. Equ. 2013, 2013, 48. [Google Scholar] [CrossRef] [Green Version]
- Agarwal, R.P.; Baleanu, D.; Hedayati, V.; Rezapour, S. Two fractional derivative inclusion problems via integral boundary condition. Appl. Math. Comput. 2015, 257, 205–212. [Google Scholar] [CrossRef]
- Akbari Kojabad, E.; Rezapour, S. Approximate solutions of a sum-type fractional integro-differential equation by using Chebyshev and Legendre polynomials. Adv. Differ. Equ. 2017, 2017, 351. [Google Scholar] [CrossRef] [Green Version]
- Liang, S.; Samei, M.E. New approach to solutions of a class of singular fractional q–differential problem via quantum calculus. Adv. Differ. Equ. 2020, 2020, 14. [Google Scholar] [CrossRef] [Green Version]
- Aydogan, S.M.; Baleanu, D.; Mousalou, A.; Rezapour, S. On high order fractional integro-differential equations including the Caputo-Fabrizio derivative. Bound. Value Probl. 2018, 2018, 90. [Google Scholar] [CrossRef]
- Baleanu, D.; Rezapour, S.; Etemad, S.; Alsaedi, A. On a time-fractional integro-differential equation via three-point boundary value conditions. Math. Probl. Eng. 2015, 2015, 12. [Google Scholar] [CrossRef]
- He, C.Y. Almost Periodic Differential Equations; Higher Education Press: Beijing, China, 1992. (In Chinese) [Google Scholar]
- Barbǎalat, I. Systems d’equations differential d’oscillations nonlinearies. Rev. Roumaine Math. Pure Appl. 1959, 4, 267–270. [Google Scholar]
- Samei, M.E.; Hedayati, V.; Rezapour, S. Existence results for a fractional hybrid differential inclusion with Caputo-Hadamard type fractional derivative. Adv. Differ. Equ. 2019, 2019, 163. [Google Scholar] [CrossRef]
- Annaby, M.; Mansour, Z. q–Fractional Calculus and Equations; Springer: Heidelberg, Germany; Cambridge, UK, 2012. [Google Scholar] [CrossRef]
- Samko, S.; Kilbas, A.; Marichev, O. Fractional Integrals and Derivatives: Theory and Applications; Gordon and Breach Science Publishers: Lausanne, Switzerland; Philadelphia, PA, USA, 1993. [Google Scholar]
- Krasnoselskii, M.A. Positive Solution of Operator Equation; Noordhoff: Groningen, The Netherlands, 1964. [Google Scholar]
- Garrappa, R. Numerical Solution of Fractional Differential Equations: A Survey and a Software Tutorial. Mathematics 2018, 6, 16. [Google Scholar] [CrossRef] [Green Version]
Publisher’s Note: MDPI stays neutral with regard to jurisdictional claims in published maps and institutional affiliations. |
© 2021 by the authors. Licensee MDPI, Basel, Switzerland. This article is an open access article distributed under the terms and conditions of the Creative Commons Attribution (CC BY) license (https://creativecommons.org/licenses/by/4.0/).



