Fluctuation–Dissipation Relations in Active Matter Systems
Abstract
1. Introduction
2. Self-Propelled Particles
3. Generalized Fluctuation–Dissipation Relation for Self-Propelled Particles
4. Numerical Results
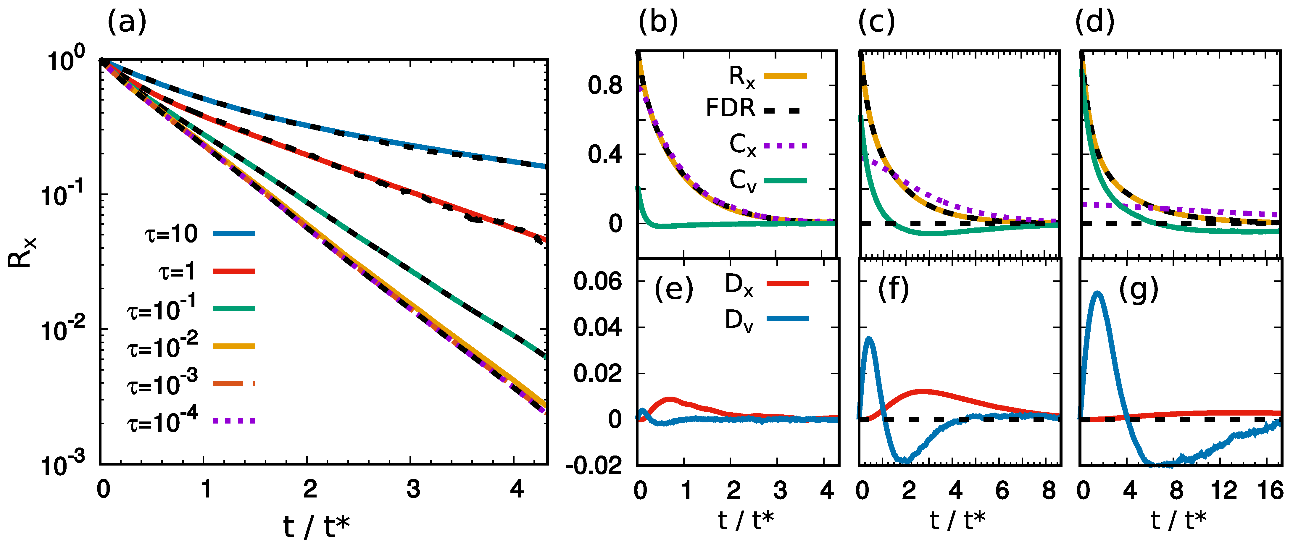
4.1. Quartic Potential
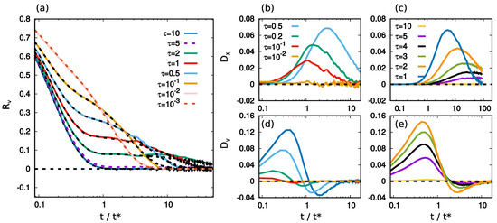
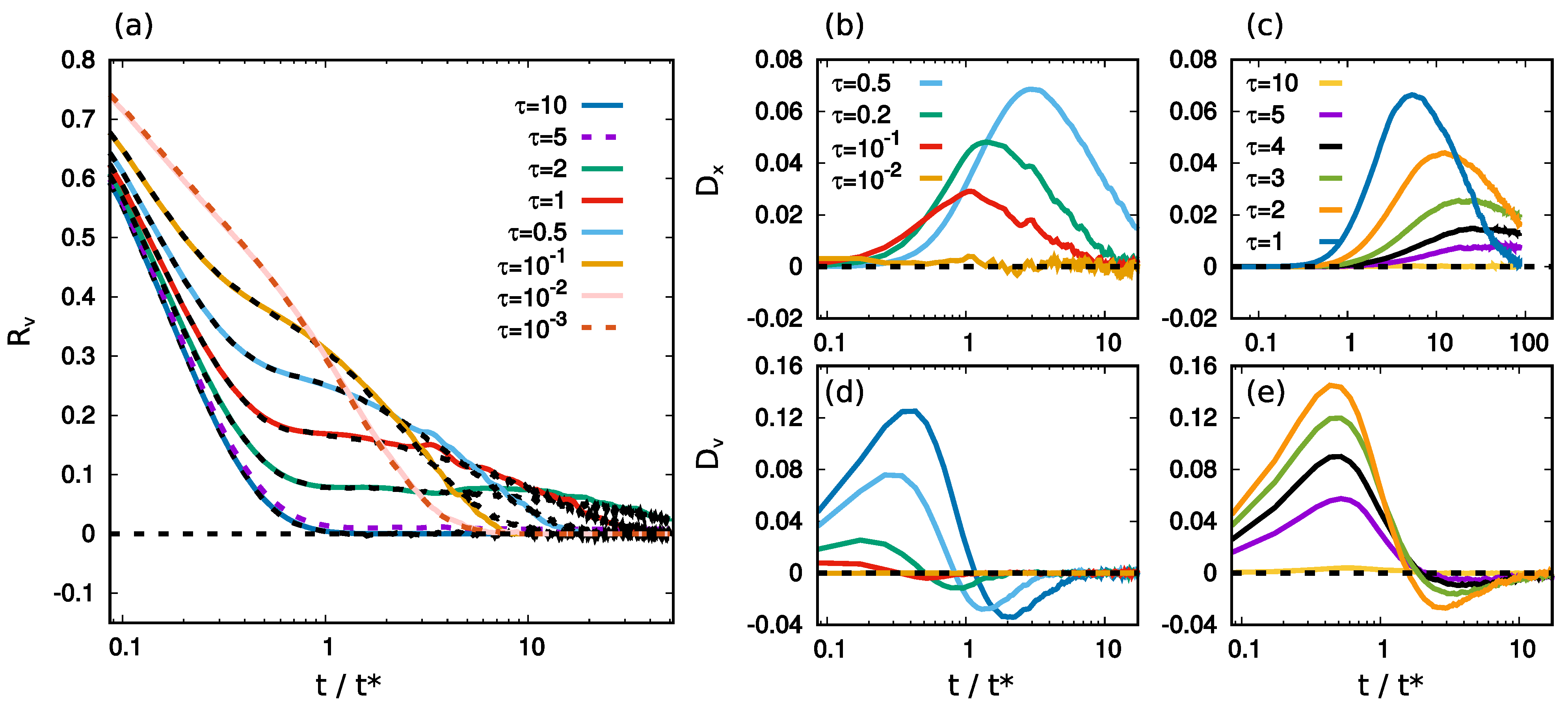
4.1.1. One-Dimensional System
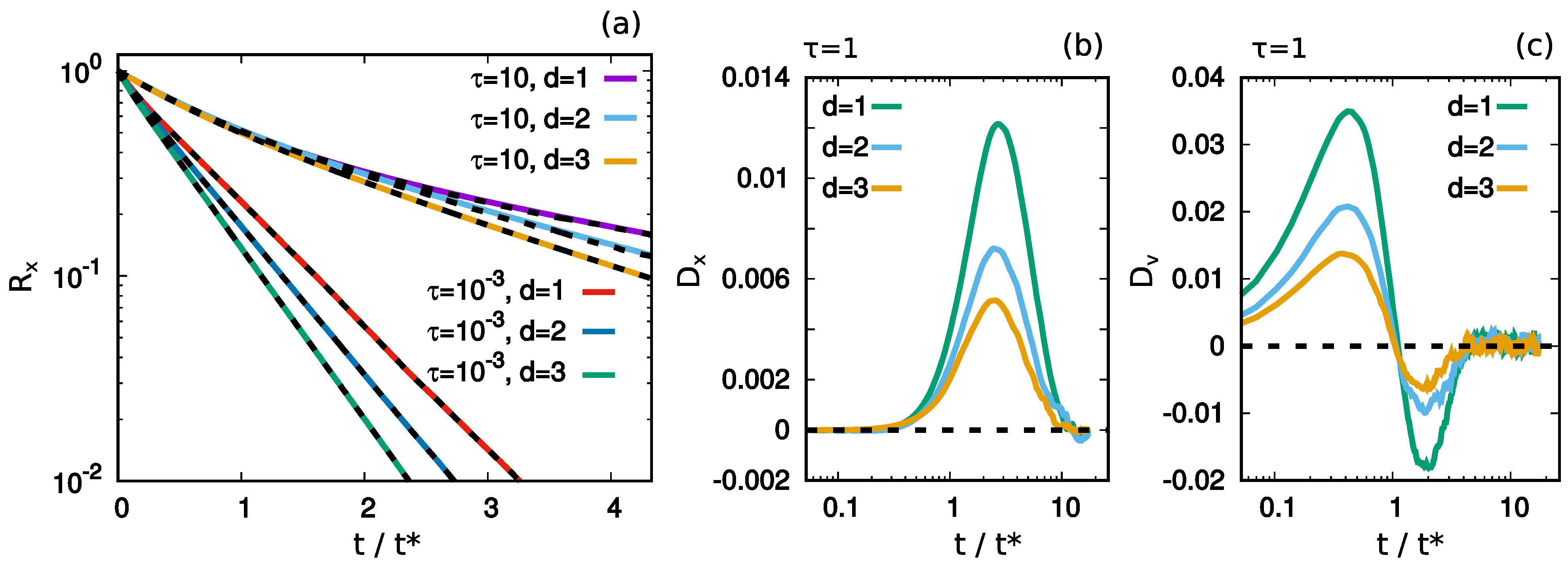
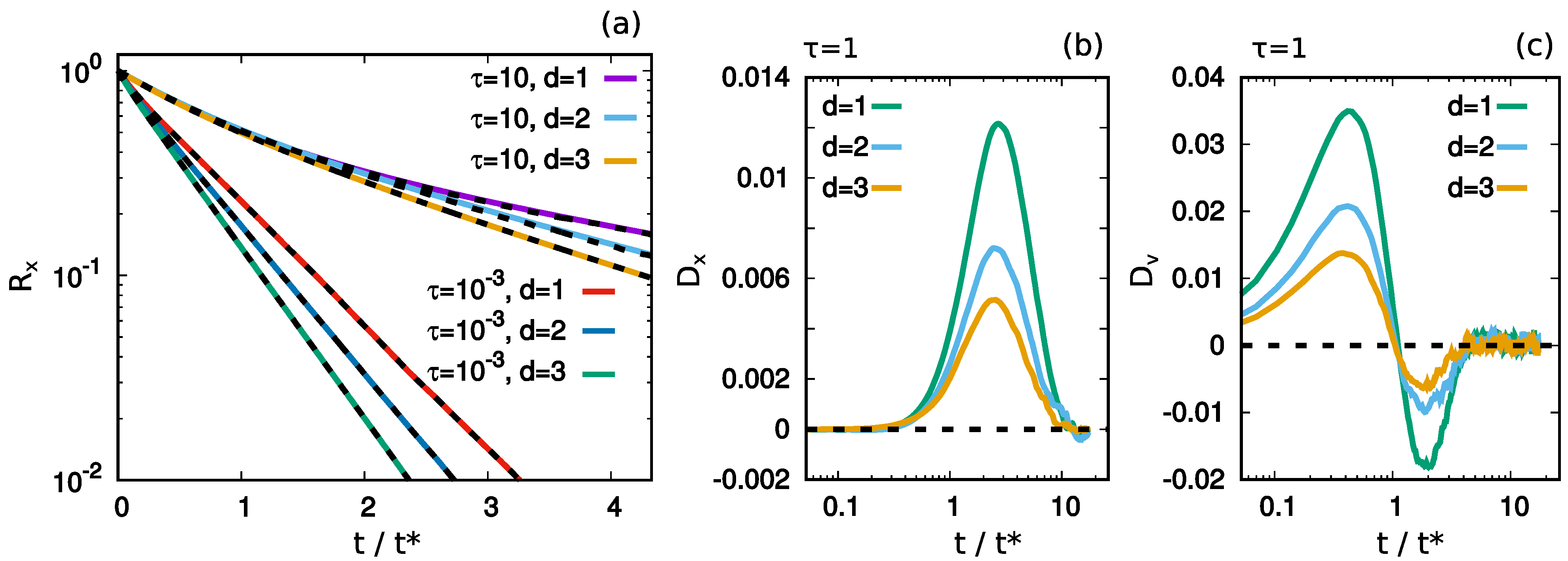
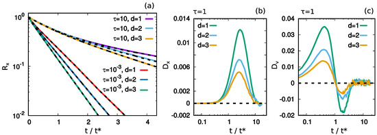
4.1.2. Higher-Dimensional Systems
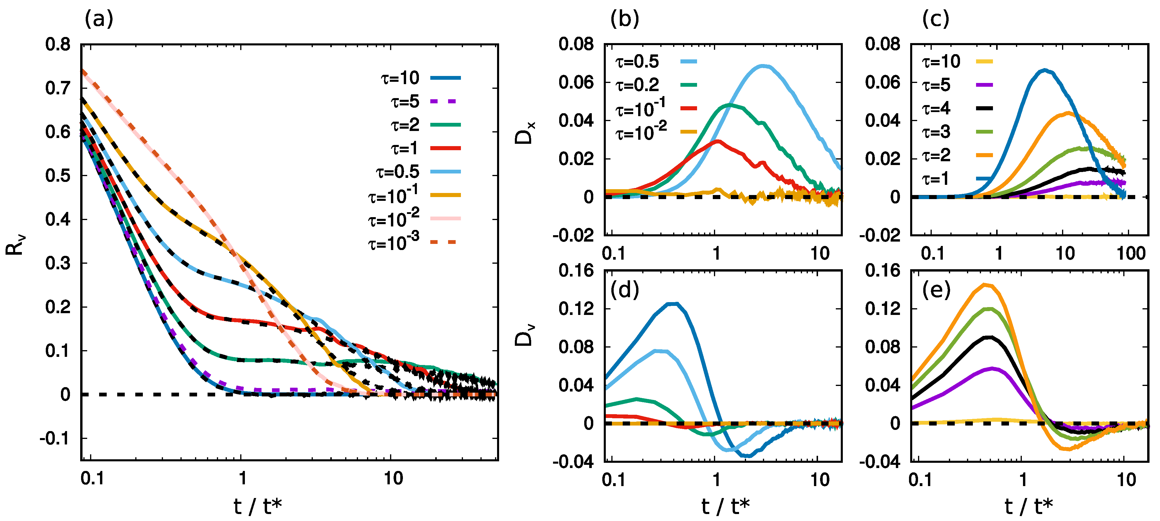
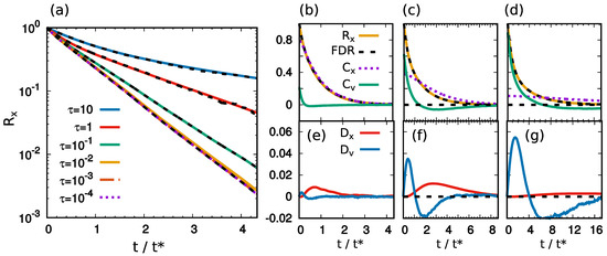
4.2. Double-Well Potential
4.3. Measuring the Non-Equilibrium in Active Systems
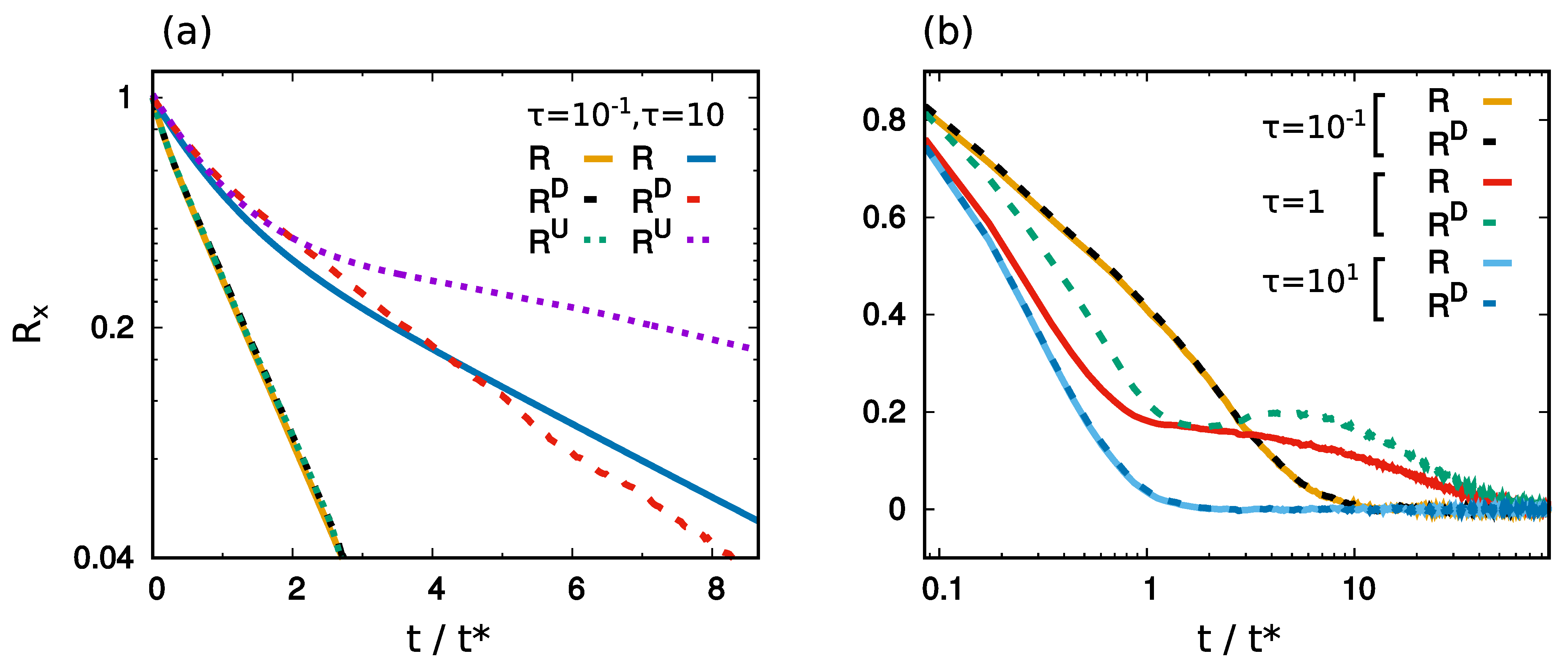
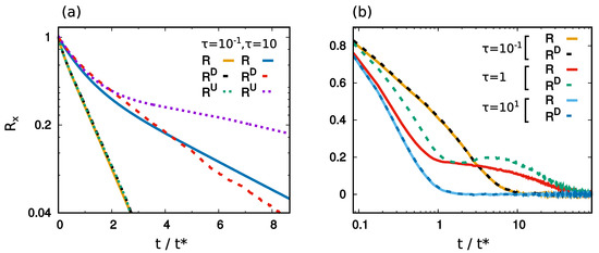
5. Failure of the Approximated Approaches
5.1. Assuming the Detailed Balance
5.2. Unified Colored Noise Approximation
6. Conclusions
Author Contributions
Funding
Acknowledgments
Conflicts of Interest
Appendix A. Derivation of the FDR for Active Particles
Appendix B. The Active Harmonic Oscillator
Appendix C. Response Function with the UCNA Approach
References
- Onsager, L. Reciprocal Relations in Irreversible Processes. I. Phys. Rev. 1931, 37, 405–426. [Google Scholar] [CrossRef]
- Kubo, R. Statistical-Mechanical Theory of Irreversible Processes. I. General Theory and Simple Applications to Magnetic and Conduction Problems. J. Phys. Soc. Jpn. 1957, 12, 570. [Google Scholar] [CrossRef]
- Marconi, U.M.B.; Puglisi, A.; Rondoni, L.; Vulpiani, A. Fluctuation–dissipation: Response theory in statistical physics. Phys. Rep. 2008, 461, 111–195. [Google Scholar] [CrossRef]
- Cugliandolo, L.F. The effective temperature. J. Phys. A Math. Theor. 2011, 44, 483001. [Google Scholar] [CrossRef]
- Puglisi, A.; Sarracino, A.; Vulpiani, A. Temperature in and out of equilibrium: A review of concepts, tools and attempts. Phys. Rep. 2017, 709, 1–60. [Google Scholar] [CrossRef]
- Agarwal, G.S. Fluctuation-Disipation Theorems for Systems in Non-Thermal Equilibrium and Applications. Z. Phys. 1972, 252, 25. [Google Scholar] [CrossRef]
- Falcioni, M.; Isola, S.; Vulpiani, A. Correlation functions and relaxation properties in chaotic dynamics and statistical mechanics. Phys. Lett. A 1990, 144, 341. [Google Scholar] [CrossRef]
- Gnoli, A.; Puglisi, A.; Sarracino, A.; Vulpiani, A. Nonequilibrium Brownian Motion beyond the Effective Temperature. PLoS ONE 2014, 9, e93720. [Google Scholar] [CrossRef]
- Speck, T.; Seifert, U. Restoring a fluctuation-dissipation theorem in a nonequilibrium steady state. Europhys. Lett. 2006, 74, 391. [Google Scholar] [CrossRef]
- Seifert, U.; Speck, T. Fluctuation-dissipation theorem in nonequilibrium steady states. EPL Europhys. Lett. 2010, 89, 10007. [Google Scholar] [CrossRef]
- Warren, P.B.; Allen, R.J. Malliavin Weight Sampling: A Practical Guide. Entropy 2014, 16, 221. [Google Scholar] [CrossRef]
- Novikov, E.A. Functionals and the random-force method in turbulence theory. Sov. Phys. JETP 1965, 20, 1290. [Google Scholar]
- Cugliandolo, L.F.; Kurchan, J.; Parisi, G. Off equilibrium dynamics and aging in unfrustrated systems. J. Phys. I Fr. 1994, 4, 1641. [Google Scholar] [CrossRef]
- Baiesi, M.; Maes, C.; Wynants, B. Fluctuations and response of nonequilibrium states. Phys. Rev. Lett. 2009, 103, 010602. [Google Scholar] [CrossRef]
- Maes, C. Response theory: A trajectory-based approach. Front. Phys. 2020, 8, 00229. [Google Scholar] [CrossRef]
- Lippiello, E.; Corberi, F.; Sarracino, A.; Zannetti, M. Nonlinear response and fluctuation-dissipation relations. Phys. Rev. E 2008, 78, 041120. [Google Scholar] [CrossRef] [PubMed]
- Marchetti, M.; Joanny, J.; Ramaswamy, S.; Liverpool, T.; Prost, J.; Rao, M.; Simha, R.A. Hydrodynamics of soft active matter. Rev. Mod. Phys. 2013, 85, 1143–1189. [Google Scholar] [CrossRef]
- Bechinger, C.; Di Leonardo, R.; Löwen, H.; Reichhardt, C.; Volpe, G.; Volpe, G. Active particles in complex and crowded environments. Rev. Mod. Phys. 2016, 88, 045006. [Google Scholar] [CrossRef]
- Elgeti, J.; Winkler, R.G.; Gompper, G. Physics of microswimmers—Single particle motion and collective behavior: A review. Rep. Prog. Phys. 2015, 78, 056601. [Google Scholar] [CrossRef] [PubMed]
- Gompper, G.; Winkler, R.G.; Speck, T.; Solon, A.; Nardini, C.; Peruani, F.; Löwen, H.; Golestanian, R.; Kaupp, U.B.; Alvarez, L.; et al. The 2020 motile active matter roadmap. J. Phys. Condens. Matter 2020, 32, 193001. [Google Scholar] [CrossRef]
- Shaebani, M.R.; Wysocki, A.; Winkler, R.G.; Gompper, G.; Rieger, H. Computational models for active matter. Nat. Rev. Phys. 2020, 2, 181–199. [Google Scholar] [CrossRef]
- Fodor, É.; Marchetti, M.C. The statistical physics of active matter: From self-catalytic colloids to living cells. Physica A Stat. Mech. Its Appl. 2018, 504, 106–120. [Google Scholar] [CrossRef]
- Caprini, L.; Marconi, U.M.B.; Vulpiani, A. Linear response and correlation of a self-propelled particle in the presence of external fields. J. Stat. Mech. Theory Exp. 2018, 2018, 033203. [Google Scholar] [CrossRef]
- Sarracino, A.; Vulpiani, A. On the fluctuation-dissipation relation in non-equilibrium and non-Hamiltonian systems. Chaos Interdiscip. J. Nonlinear Sci. 2019, 29, 083132. [Google Scholar] [CrossRef] [PubMed]
- Fodor, É.; Nardini, C.; Cates, M.E.; Tailleur, J.; Visco, P.; van Wijland, F. How far from equilibrium is active matter? Phys. Rev. Lett. 2016, 117, 038103. [Google Scholar] [CrossRef]
- Szamel, G. Evaluating linear response in active systems with no perturbing field. EPL Europhys. Lett. 2017, 117, 50010. [Google Scholar] [CrossRef][Green Version]
- Sarracino, A. Time asymmetry of the Kramers equation with nonlinear friction: Fluctuation-dissipation relation and ratchet effect. Phys. Rev. E 2013, 88, 052124. [Google Scholar] [CrossRef]
- Berthier, L.; Kurchan, J. Non-equilibrium glass transitions in driven and active matter. Nat. Phys. 2013, 9, 310–314. [Google Scholar] [CrossRef]
- Levis, D.; Berthier, L. From single-particle to collective effective temperatures in an active fluid of self-propelled particles. EPL Europhys. Lett. 2015, 111, 60006. [Google Scholar] [CrossRef]
- Nandi, S.K.; Gov, N. Effective temperature of active fluids and sheared soft glassy materials. Eur. Phys. J. E 2018, 41, 117. [Google Scholar] [CrossRef]
- Cugliandolo, L.F.; Gonnella, G.; Petrelli, I. Effective temperature in active Brownian particles. Fluct. Noise Lett. 2019, 18, 1940008. [Google Scholar] [CrossRef]
- Preisler, Z.; Dijkstra, M. Configurational entropy and effective temperature in systems of active Brownian particles. Soft Matter 2016, 12, 6043–6048. [Google Scholar] [CrossRef] [PubMed]
- Petrelli, I.; Cugliandolo, L.F.; Gonnella, G.; Suma, A. Effective temperatures in inhomogeneous passive and active bidimensional Brownian particle systems. Phys. Rev. E 2020, 102, 012609. [Google Scholar] [CrossRef] [PubMed]
- Villamaina, D.; Baldassarri, A.; Puglisi, A.; Vulpiani, A. Fluctuation dissipation relation: How to compare correlation functions and responses? J. Stat. Mech. 2009, 2009, P07024. [Google Scholar] [CrossRef]
- Dal Cengio, S.; Levis, D.; Pagonabarraga, I. Linear response theory and Green-Kubo relations for active matter. Phys. Rev. Lett. 2019, 123, 238003. [Google Scholar] [CrossRef]
- Dal Cengio, S.; Levis, D.; Pagonabarraga, I. Fluctuation-Dissipation Relations in the absence of Detailed Balance: Formalism and applications to Active Matter. arXiv 2020, arXiv:2007.07322. [Google Scholar]
- Burkholdera, E.W.; Brady, J.F. Fluctuation-dissipation in active matter. J. Chem. Phys. 2019, 150, 184901. [Google Scholar] [CrossRef]
- Maes, C. Fluctuating motion in an active environment. Phys. Rev. Lett. 2020, 125, 208001. [Google Scholar] [CrossRef]
- Berthier, L.; Flenner, E.; Szamel, G. How active forces influence nonequilibrium glass transitions. New J. Phys. 2017, 19, 125006. [Google Scholar] [CrossRef]
- Mandal, D.; Klymko, K.; DeWeese, M.R. Entropy production and fluctuation theorems for active matter. Phys. Rev. Lett. 2017, 119, 258001. [Google Scholar] [CrossRef]
- Caprini, L.; Marconi, U.M.B. Active particles under confinement and effective force generation among surfaces. Soft Matter 2018, 14, 9044–9054. [Google Scholar] [CrossRef]
- Wittmann, R.; Brader, J.M.; Sharma, A.; Marconi, U.M.B. Effective equilibrium states in mixtures of active particles driven by colored noise. Phys. Rev. E 2018, 97, 012601. [Google Scholar] [CrossRef] [PubMed]
- Bonilla, L.L. Active ornstein-uhlenbeck particles. Phys. Rev. E 2019, 100, 022601. [Google Scholar] [CrossRef] [PubMed]
- Dabelow, L.; Bo, S.; Eichhorn, R. Irreversibility in active matter systems: Fluctuation theorem and mutual information. Phys. Rev. X 2019, 9, 021009. [Google Scholar] [CrossRef]
- Martin, D.; O’Byrne, J.; Cates, M.E.; Fodor, É.; Nardini, C.; Tailleur, J.; van Wijland, F. Statistical Mechanics of Active Ornstein Uhlenbeck Particles. arXiv 2020, arXiv:2008.12972. [Google Scholar]
- Woillez, E.; Kafri, Y.; Gov, N.S. Active Trap Model. Phys. Rev. Lett. 2020, 124, 118002. [Google Scholar] [CrossRef]
- Wu, X.L.; Libchaber, A. Particle diffusion in a quasi-two-dimensional bacterial bath. Phys. Rev. Lett. 2000, 84, 3017. [Google Scholar] [CrossRef]
- Maggi, C.; Paoluzzi, M.; Pellicciotta, N.; Lepore, A.; Angelani, L.; Di Leonardo, R. Generalized energy equipartition in harmonic oscillators driven by active baths. Phys. Rev. Lett. 2014, 113, 238303. [Google Scholar] [CrossRef]
- Maggi, C.; Paoluzzi, M.; Angelani, L.; Di Leonardo, R. Memory-less response and violation of the fluctuation-dissipation theorem in colloids suspended in an active bath. Sci. Rep. 2017, 7, 17588. [Google Scholar] [CrossRef]
- Chaki, S.; Chakrabarti, R. Effects of active fluctuations on energetics of a colloidal particle: Superdiffusion, dissipation and entropy production. Physica A Stat. Mech. Its Appl. 2019, 530, 121574. [Google Scholar] [CrossRef]
- Caprini, L.; Hernández-García, E.; López, C.; Marconi, U.M.B. A comparative study between two models of active cluster crystals. Sci. Rep. 2019, 9, 16687. [Google Scholar] [CrossRef] [PubMed]
- Das, S.; Gompper, G.; Winkler, R.G. Confined active Brownian particles: Theoretical description of propulsion-induced accumulation. New J. Phys. 2018, 20, 015001. [Google Scholar] [CrossRef]
- Caprini, L.; Marconi, U.M.B. Active chiral particles under confinement: Surface currents and bulk accumulation phenomena. Soft Matter 2019, 15, 2627–2637. [Google Scholar] [CrossRef]
- Farage, T.F.; Krinninger, P.; Brader, J.M. Effective interactions in active Brownian suspensions. Phys. Rev. E 2015, 91, 042310. [Google Scholar] [CrossRef] [PubMed]
- Maggi, C.; Paoluzzi, M.; Crisanti, A.; Zaccarelli, E.; Gnan, N. Universality class of the motility-induced critical point in large scale off-lattice simulations of active particles. arXiv 2020, arXiv:2007.12660. [Google Scholar]
- Caprini, L.; Marconi, U.M.B.; Maggi, C.; Paoluzzi, M.; Puglisi, A. Hidden velocity ordering in dense suspensions of self-propelled disks. Phys. Rev. Res. 2020, 2, 023321. [Google Scholar] [CrossRef]
- Caprini, L.; Marconi, U.M.B. Time-dependent properties of interacting active matter: Dynamical behavior of one-dimensional systems of self-propelled particles. Phys. Rev. Res. 2020, 2, 033518. [Google Scholar] [CrossRef]
- Puglisi, A.; Marini Bettolo Marconi, U. Clausius relation for active particles: What can we learn from fluctuations. Entropy 2017, 19, 356. [Google Scholar] [CrossRef]
- Caprini, L.; Marconi, U.M.B.; Puglisi, A.; Vulpiani, A. The entropy production of Ornstein—Uhlenbeck active particles: A path integral method for correlations. J. Stat. Mech. Theory Exp. 2019, 2019, 053203. [Google Scholar] [CrossRef]
- Dabelow, L.; Eichhorn, R. Irreversibility in active matter: General framework for active Ornstein-Uhlenbeck particles. arXiv 2020, arXiv:2011.02976. [Google Scholar]
- Marconi, U.M.B.; Puglisi, A.; Maggi, C. Heat, temperature and Clausius inequality in a model for active Brownian particles. Sci. Rep. 2017, 7, 46496. [Google Scholar] [CrossRef] [PubMed]
- Caprini, L.; Marconi, U.M.B.; Puglisi, A.; Vulpiani, A. Comment on “Entropy Production and Fluctuation Theorems for Active Matter”. Phys. Rev. Lett. 2018, 121, 139801. [Google Scholar] [CrossRef] [PubMed]
- Martin, D. AOUP in the presence of Brownian noise: A perturbative approach. arXiv 2020, arXiv:2009.13476. [Google Scholar]
- Szamel, G. Self-propelled particle in an external potential: Existence of an effective temperature. Phys. Rev. E 2014, 90, 012111. [Google Scholar] [CrossRef]
- Caprini, L.; Marini Bettolo Marconi, U.; Puglisi, A.; Vulpiani, A. Active escape dynamics: The effect of persistence on barrier crossing. J. Chem. Phys. 2019, 150, 024902. [Google Scholar] [CrossRef] [PubMed]
- Woillez, E.; Kafri, Y.; Lecomte, V. Nonlocal stationary probability distributions and escape rates for an active Ornstein—Uhlenbeck particle. J. Stat. Mech. Theory Exp. 2020, 2020, 063204. [Google Scholar] [CrossRef]
- Caprini, L.; Marconi, U.M.B.; Puglisi, A. Activity induced delocalization and freezing in self-propelled systems. Sci. Rep. 2019, 9, 1386. [Google Scholar] [CrossRef] [PubMed]
- Stenhammar, J.; Marenduzzo, D.; Allen, R.J.; Cates, M.E. Phase behaviour of active Brownian particles: The role of dimensionality. Soft Matter 2014, 10, 1489–1499. [Google Scholar] [CrossRef]
- Fily, Y. Self-propelled particle in a nonconvex external potential: Persistent limit in one dimension. J. Chem. Phys. 2019, 150, 174906. [Google Scholar] [CrossRef]
- Wio, H.S.; Colet, P.; San Miguel, M.; Pesquera, L.; Rodriguez, M. Path-integral formulation for stochastic processes driven by colored noise. Phys. Rev. A 1989, 40, 7312. [Google Scholar] [CrossRef]
- Bray, A.; McKane, A.; Newman, T. Path integrals and non-Markov processes. II. Escape rates and stationary distributions in the weak-noise limit. Phys. Rev. A 1990, 41, 657. [Google Scholar] [CrossRef]
- Sharma, A.; Wittmann, R.; Brader, J.M. Escape rate of active particles in the effective equilibrium approach. Phys. Rev. E 2017, 95, 012115. [Google Scholar] [CrossRef] [PubMed]
- Maggi, C.; Marconi, U.M.B.; Gnan, N.; Di Leonardo, R. Multidimensional stationary probability distribution for interacting active particles. Sci. Rep. 2015, 5, 10742. [Google Scholar] [CrossRef] [PubMed]
- Wittmann, R.; Maggi, C.; Sharma, A.; Scacchi, A.; Brader, J.M.; Marconi, U.M.B. Effective equilibrium states in the colored-noise model for active matter I. Pairwise forces in the Fox and unified colored noise approximations. J. Stat. Mech. Theory Exp. 2017, 2017, 113207. [Google Scholar] [CrossRef]
- Marconi, U.M.B.; Maggi, C. Towards a statistical mechanical theory of active fluids. Soft Matter 2015, 11, 8768–8781. [Google Scholar] [CrossRef]
- Marconi, U.M.B.; Gnan, N.; Paoluzzi, M.; Maggi, C.; Di Leonardo, R. Velocity distribution in active particles systems. Sci. Rep. 2016, 6, 23297. [Google Scholar] [CrossRef] [PubMed]





Publisher’s Note: MDPI stays neutral with regard to jurisdictional claims in published maps and institutional affiliations. |
© 2021 by the authors. Licensee MDPI, Basel, Switzerland. This article is an open access article distributed under the terms and conditions of the Creative Commons Attribution (CC BY) license (http://creativecommons.org/licenses/by/4.0/).
Share and Cite
Caprini, L.; Puglisi, A.; Sarracino, A. Fluctuation–Dissipation Relations in Active Matter Systems. Symmetry 2021, 13, 81. https://doi.org/10.3390/sym13010081
Caprini L, Puglisi A, Sarracino A. Fluctuation–Dissipation Relations in Active Matter Systems. Symmetry. 2021; 13(1):81. https://doi.org/10.3390/sym13010081
Chicago/Turabian StyleCaprini, Lorenzo, Andrea Puglisi, and Alessandro Sarracino. 2021. "Fluctuation–Dissipation Relations in Active Matter Systems" Symmetry 13, no. 1: 81. https://doi.org/10.3390/sym13010081
APA StyleCaprini, L., Puglisi, A., & Sarracino, A. (2021). Fluctuation–Dissipation Relations in Active Matter Systems. Symmetry, 13(1), 81. https://doi.org/10.3390/sym13010081

