Determination of Forces and Moments Per Unit Length in Symmetric Exponential FG Plates with a Quasi-Triangular Hole
Abstract
1. Introduction
2. Analytical Formulations
3. Numerical Results
4. Results
5. Conclusions
- (1)
- By comparing the provided analytical solution in addition to the numerical solution acquired via finite element modeling, favorable compatibility was exhibited between these outcomes.
- (2)
- When a perforated plate subjected to uniaxial loading along the x-direction, the normalized forces and moments per unit length at the proximity of the holes of various aspect rations will be greater at the loading direction compared to other directions.
- (3)
- The hole corner’s curvature radius does not only determine the values of the forces and moments per unit length, but also hole orientation and aspect ratio have substantial roles in this regard. Therefore, cautious modifications of such parameters may substantially decrease the forces and moments concerning every hole at all provided corner curvatures.
- (4)
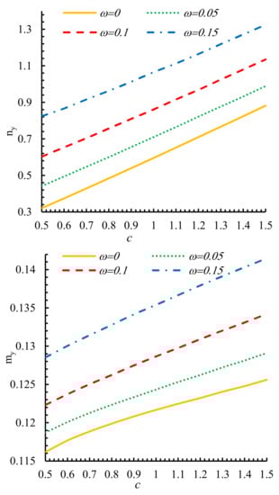
- Most forces and moments per unit length change linearly with aspect ratio of triangular hole (c).
- (5)
- The lowest values of the normalized forces and moments occur in ω = 0 which is equivalent to a circular hole this means that for a triangular hole, the values of the normalized forces and moments are not less than the circular hole in any value of the parameters discussed.
- (6)
- As bluntness parameter (ω) increases, the normalized forces and moments increase at different rotation angles.
Author Contributions
Funding
Conflicts of Interest
Nomenclature
| Mapping function | |
| Complex variable | |
| ,, , | Complex constants related to the roots of the characteristic equation | 
| Bluntness | |
| Hole geometry | |
| Imaginary constant | |
| Counter | |
| Shear strain | |
| Layers counter | |
| Reduced stiffness matrix | |
| Mid-plate shear strain | |
| Thickness | |
| Total thickness | |
| Distance to mid plane | |
| Thickness of each layer | |
| Exponential function | |
| Material properties in the upper layers | |
| Material properties in the lower layers | |
| Napier number (2.718) | |
| Exponential function constant | |
| Real part | |
| Potential function | |
| Hole aspect ratio | |
| The roots of the characteristic equation | |
| Hole rotation angle | |
| The hole size | |
| , | Normal stress | 
| Shear stress | |
| , | Longitudinal strain | 
| , | Midline longitudinal strains | 
| ,, | Intra-curvature curvature | 
| ,, | Resultant forces | 
| , , | Moments resultants | 
| Number of layers | |
| Tensile stiffness matrix | |
| Coupling matrix | |
| Bending stiffness matrix | |
| , , | Complex constant in calculating force and moments | 
| Anisotropy factor | |
| Components of internal force | |
| Force at the boundary of hole | |
| Normal bending at the boundary of hole | |
| Transverse force at the boundary of hole | |
| length of the hole arc | 
References
- Muskhelishvili, N.I. Some Basic Problems of the Mathematical Theory of Elasticity, 2nd ed.; Cambridge University Press: Cambridge, UK, 1962. [Google Scholar]
- Savin, G.N. Stress Concentration Around Holes; Pergamon Press: New York, NY, USA, 1961. [Google Scholar]
- Lekhnitskii, S.G. Anisotropic Plates, 2nd ed.; Gordon and Breach Science: New York, NY, USA, 1968. [Google Scholar]
- Sharma, D.S. Stress distribution around polygonal holes. Int. J. Mech. Sci. 2012, 65, 115–124. [Google Scholar] [CrossRef]
- Sharma, D.S. Moment distribution around polygonal holes in infinite plate. Int. J. Mech. Sci. 2014, 78, 177–182. [Google Scholar] [CrossRef]
- Rezaeepazhand, J.; Jafari, M. Stress Analysis of Composite Plates with a Quasi-Square Cutout Subjected to Uniaxial Tension. J. Reinf. Plast. Compos. 2009, 29, 2015–2026. [Google Scholar] [CrossRef]
- Ukadgaonker, V.G.; Rao, D.K.N. A general solution for stress resultants and moments around holes in unsymmetric laminates. Compos. Struct. 2000, 49, 27–39. [Google Scholar] [CrossRef]
- Jafari, M.; Chaleshtari, M.H.B. Using dragonfly algorithm for optimization of orthotropic infinite plates with a quasi-triangular cut-out. Eur. J. Mech. A/Solids 2017, 66, 1–14. [Google Scholar] [CrossRef]
- Jafari, M.; Moussavian, H.; Chaleshtari, M.H.B. Optimum Design of Perforated Orthotropic and Laminated Composite Plates under in-plane loading by genetic algorithm. Struct. Multidiscip. Optim. 2017, 57, 341–357. [Google Scholar] [CrossRef]
- Yang, Q.; Gao, C.F.; Chen, W. Stress analysis of a functional graded material plate with a circular hole. Arch. Appl. Mech. 2009, 80, 895–907. [Google Scholar] [CrossRef]
- Yang, Q.; Gao, C.; Chen, W. Stress concentration in a finite functionally graded material plate. Sci. China Ser. G Phys. Mech. Astron. 2012, 55, 1263–1271. [Google Scholar] [CrossRef]
- Sharma, D.S. Stress concentration around circular/elliptical/triangular cutouts in infinite composite plate. In Proceedings of the World Congress on Engineering, London, UK, 6–8 July 2011. [Google Scholar]
- Pan, E. Exact Solution for Functionally Graded Anisotropic Elastic Composite Laminates. J. Compos. Mater. 2003, 37, 1903–1920. [Google Scholar] [CrossRef]
- Reid, R.G.; Paskaramoorthy, R. An extension to classical lamination theory for use with FGPs. Compos. Struct. 2011, 93, 639–648. [Google Scholar] [CrossRef]
- Dave, J.; Sharma, D.S. Stresses and moments in through-thickness FGP weakened by circular/elliptical cut-out. Int. J. Mech. Sci. 2016, 105, 146–157. [Google Scholar] [CrossRef]
- Mohammadi, M.; Dryden, J.R.; Jiang, L. Stress concentration around a hole in a radially inhomogeneous plate. Int. J. Solids Struct. 2011, 48, 483–491. [Google Scholar] [CrossRef]
- Enab, T. Stress concentration analysis in FGPs with elliptic holes under biaxial loadings. Ain Shams Eng. J. 2014, 5, 839–850. [Google Scholar] [CrossRef]
- Mehrparvar, M.; Ghannadpour, S. Plate assembly technique for nonlinear analysis of relatively thick FGPs containing rectangular holes subjected to in-plane compressive load. Compos. Struct. 2018, 202, 867–880. [Google Scholar] [CrossRef]
- Ghannadpour, S.; Mehrparvar, M. Energy effect removal technique to model circular/elliptical holes in relatively thick composite plates under in-plane compressive load. Compos. Struct. 2018, 202, 1032–1041. [Google Scholar] [CrossRef]
- Craciun, E.-M.; Soós, E. Anti-plane States in an Anisotropic Elastic Body Containing an Elliptical Hole. Math. Mech. Solids 2005, 11, 459–466. [Google Scholar] [CrossRef]
- Craciun, E.M.; Barbu, L. Compact closed form solution of the incremental plane states in a pre-stressed elastic composite with an elliptical hole. ZAMM 2013, 95, 193–199. [Google Scholar] [CrossRef]
- Marin, M.; Abbas, I.; Vlase, S.; Craciun, E.-M. A Study of Deformations in a Thermoelastic Dipolar Body with Voids. Symmetry 2020, 12, 267. [Google Scholar] [CrossRef]
- Savadkoohi, H.S.A.; Jafari, M. Studying the effect of different parameters on stress resultant and moments distribution around non-circular cutouts in unsymmetric laminates. ZAMM 2017, 97, 1317–1330. [Google Scholar] [CrossRef]
- Jafari, M.; Chaleshtari, M.H.B.; Abdolalian, H. General solution of stress field in exponential functionally graded material plates containing a quasi-rectangular cutout. J. Compos. Mater. 2018, 53, 405–421. [Google Scholar] [CrossRef]
- Moussavian, H.; Jafari, M. Optimum design of laminated composite plates containing a quasi-square cutout. Struct. Multidiscip. Optim. 2016, 55, 141–154. [Google Scholar] [CrossRef]











| Material | E1(GPa) | E2(GPa) | G12(GPa) | ν12 | 
|---|---|---|---|---|
| Graphite BMI | 124 | 8.46 | 4.59 | 0.28 | 
© 2020 by the authors. Licensee MDPI, Basel, Switzerland. This article is an open access article distributed under the terms and conditions of the Creative Commons Attribution (CC BY) license (http://creativecommons.org/licenses/by/4.0/).
Share and Cite
Jafari, M.; Chaleshtari, M.H.B.; Abdolalian, H.; Craciun, E.-M.; Feo, L. Determination of Forces and Moments Per Unit Length in Symmetric Exponential FG Plates with a Quasi-Triangular Hole. Symmetry 2020, 12, 834. https://doi.org/10.3390/sym12050834
Jafari M, Chaleshtari MHB, Abdolalian H, Craciun E-M, Feo L. Determination of Forces and Moments Per Unit Length in Symmetric Exponential FG Plates with a Quasi-Triangular Hole. Symmetry. 2020; 12(5):834. https://doi.org/10.3390/sym12050834
Chicago/Turabian StyleJafari, Mohammad, Mohammad Hossein Bayati Chaleshtari, Hamid Abdolalian, Eduard-Marius Craciun, and Luciano Feo. 2020. "Determination of Forces and Moments Per Unit Length in Symmetric Exponential FG Plates with a Quasi-Triangular Hole" Symmetry 12, no. 5: 834. https://doi.org/10.3390/sym12050834
APA StyleJafari, M., Chaleshtari, M. H. B., Abdolalian, H., Craciun, E.-M., & Feo, L. (2020). Determination of Forces and Moments Per Unit Length in Symmetric Exponential FG Plates with a Quasi-Triangular Hole. Symmetry, 12(5), 834. https://doi.org/10.3390/sym12050834
 
        

 
       