Abstract
In this paper, an underlay cooperative cognitive network using a non-orthogonal multiple access (UCCN-NOMA) system is investigated, in which the intermediate multiple relays help to decode and forward two signals and from a source node to two users D1 and D2, respectively, under wiretapping of an eavesdropper (E). We study the best relay selection strategies by three types of relay selection criteria: the first and second best relay selection is based on the maximum channel gain of the links R-D, R-D2, respectively; the third one is to ensure a minimum value of the channel gains from the R-E link. We analyze and evaluate the secrecy performances of the transmissions and from the source node to the destination nodes D1, D2, respectively, in the proposed UCCN-NOMA system in terms of the secrecy outage probabilities (SOPs) over Rayleigh fading channels. Simulation and analysis results are presented as follows. The results of the (sum) secrecy outage probability show that proposed scheme can realize the maximal diversity gain. The security of the system is very good when eavesdropper node E is far from the source and cooperative relay. Finally, the theoretical analyses are verified by performing Monte Carlo simulations.
1. Introduction
Today, the development of smart devices has led to the increase in the number of wireless connections, the mobile data rate, and the consumed energy in the next generation of wireless communication systems [1,2]. The users always wants to connect and get the data quickly and safely. Therefore, in order to deploy and improve the range of the wireless communication system and the connection speed, non-orthogonal multiple access (NOMA) has recently received great attention from researchers in the field of wireless systems as a promising technique to achieve enhanced spectrum efficiency of the 5G mobile network [3,4]. In the NOMA technique, the users can share both time and frequency resources and only adjust their power allocation ratios. In particular, the user with better channel conditions can be allocated to a channel that is occupied by a user with poor channel conditions. The users with strong channel conditions can serve as relays to enhance the system performance by using successive interference cancellation (SIC) [5].
In recent times, there has been many research investigations into NOMA in wireless communication systems [6,7,8]. Cooperative NOMA can achieve the maximum diversity gain for wireless networks. The researchers in [6] studied the cooperative relaying system using the NOMA technique to improve the spectral efficiency. In [7], the authors considered the performance of the NOMA system in amplify-and-forward (AF) relaying systems to increase the data transmission rate for 5G communications. Approaches based on the role of chaos in game theory have been investigated in [9,10] and can be applied in multiple access schemes. The combination of cooperative communication and PLS is an effective approach to overcome the disadvantages of the fading environment, as well as to increase the security capacity of the wireless network.
PLS has been presented by published researches in [8,11]. In [8], the authors evaluated the secrecy performance of cooperative protocols with relay selection methods under the impact of co-channel interference. The authors in [11] studied the impact of correlated fading on the secrecy performance of multiple DFrelaying with the optimal relay selection method. Besides, the authors researched the NOMA technique combined with PLS in [12,13]. In [12], the authors solved the problem of maximizing the minimum confidential information rate among users subject to the secrecy outage constraint and instantaneous transmit power constraint. Cooperative NOMA systems with PLS were investigated in [13] in cases of both AF and DF operations.
In addition, the underlay cognitive radio networks applying the NOMA technique were also proposed by some authors in [14,15,16,17]. In [14], a cooperative transmission scheme has been proposed for a downlink NOMA in CR systems, and this research exploited the maximal spatial diversity. Considering the security principle [18,19,20], the authors in [19] studied secure communication in cognitive DF relay networks in which a pair of cognitive relays is opportunistically selected for security protection against eavesdroppers. In [20], the authors investigated tradeoffs between security and reliability in cooperative cognitive radio networks with the NOMA solution.
In most of the above research, the authors have not considered the combination of NOMA with PLS in UCCN. Excited by the above ideas, in this article, we propose a UCCN using the NOMA scheme in which the intermediate relays help to decode and forward two signals and from a source node to two destination nodes D1 and D2, respectively, under wiretapping of an eavesdropper. The best relay selection strategy is investigated in three types of relay selection criteria: the first and second best relay selection is based on maximizing the value of the channel gains from the links R-D1, R-D2, respectively; the third one is to ensure the minimum value of the channel gains from the R-E link. Then, we analyze and evaluate the secrecy performances of the transmissions and in the proposed UCCN-NOMA scheme in terms of the SOPs over Rayleigh fading channels to advance the spectral efficiency and secure communication in which the best intermediate relay supports power to the destination nodes and perform digital network coding (DNC) to compress the received data and then to forward the signals to the destination nodes.
The article is summarized with the main contributions as follows. Firstly, we propose a DF-formed cooperation UCCN scheme in which the best relay uses the NOMA and considers PLS to enhance the system performance in 5G wireless networks. Secondly, the SOPs over Rayleigh fading channels are derived and are confirmed by Monte Carlo simulations. Thirdly, the secrecy performances of the transmissions and in the three best relay selection strategies are compared with each other in the proposed UCCN-NOMA system. The organization of paper is as follows: Section 2 describes a UCCN system model with the best relay using NOMA combined with PLS and the operation methods of the proposed system; Section 3 analyses the results of the SOPs for the eavesdropping of the signals and in the proposed UCCN-NOMA system; the simulation results are presented in Section 4; and Section 5 summarizes our conclusions.
2. System Model
In this paper, as shown in Figure 1, we consider a wireless communication system of a UCCN, which contains one source node S, two destination nodes D and D, multi-wireless relay nodes using the NOMA principle, and one eavesdropper node E to wiretap the signals of the links S-D and S-D. In this figure, we assume that the communication between the source S and the destinations D and D is not transmitted directly, and they are linked through the intermediate relays with the presence of the eavesdropper E. Hence, the source node transmits its packets to the destination nodes ( is sent to D, and is sent to D). The R-D link distance is farther than the R-D link distance. In order to transmit data optimally, the best relay node using the NOMA method was selected to help the source node exchange data with destination nodes D and D. The best relay selection strategy is presented by three types of relay selection criteria: the first and second best relay selection is based on the maximum channel gain of the links R-D and R-D, respectively; the third one is to ensure the minimum channel gain of the link R-E.
Figure 1.
System model of a UCCN-NOMA scheme considering PLS.
There are some assumptions as follows. Firstly, each node has a private antenna. Secondly, the variances of zero-mean white Gaussian noises (AWGNs) are equal, denoted similarly as N. Thirdly, all channels are designated for flat and block Rayleigh fading. Finally, the channel state information (CSI) regarding the sources-to-eavesdropper, sources-to-relays, and relays-to eavesdropper channels is known at the source node S and the destination nodes D and D [5].
In Figure 1, , are Rayleigh fading channel coefficients and the link distances of S-R, R-D, R-E, and R-Pu, respectively, where , , and . Hence, the random variables have an exponential distribution with the parameter , where is a path-loss exponent. The respectively distances of R-D, R-E, and R-Pu are illustrated in Figure 1. The cumulative distribution function (cdf) and probability density function (pdf) of random variables are expressed as and , respectively. With the assumptions in this paper, the fading channels are fixed during a block time T, and the variables are independent and identically distributed between two continuous block times.
Based on a time division channel model, the operation method of the proposed UCCN-NOMA system is divided into two timeslots as presented in Figure 2. In the first timeslot, the source node S broadcasts its signal , which contains signals and , to the best relay . The signal is created by the superposition coding method [21]. The selection criteria of the best relay will be discussed in the next section. The best relay uses the SIC technique to decode the signals and sequentially based on the allocated powers to the signals and at the source node S. In the second timeslot, the best relay combines the signals and to the coded signal by the superposition coding and then sends the signal to the destinations D and D. The transmitted can be wiretapped by the eavesdropper E in the wireless environment.
Figure 2.
Operation diagram of the proposed system.
3. Secrecy Outage Probability Analysis
In this section, we analyze the sum SOP for the eavesdropping of the signals and in the proposed UCCN-NOMA system. We assume that a node successfully and safely decodes the received packet if its achievable secrecy capacity is larger than a target secrecy capacity SCth.
At the first timeslot, the source node S creates the signal by the superposition coding [21] and then broadcasts the to all of the relays R. The signal is given by:
where is the power at source node S, and are the power allocation coefficients, and and are the messages sent to D and D. Following the principle of the NOMA, we assume that with .
The received signal at the relay R from the source node S for the decoding of and is given by:
where denote the AWGNs at the relay R with the same variance N, , ( denotes the expectation process of x).
Based on the NOMA scheme, firstly, the relay R decodes from (1) and removes it using SIC, then will be decoded and forward to D without the component in (2). Therefore, the signal received at R after decoding is expressed as follows:
In the second timeslot, the signals received at the destinations D and D related to links R-D and R-D, respectively, can be written as:
where denote the AWGNs at the destination D with the same variance N and P is the transmit power of the relay R.
Similarly, the node E also wiretaps the packets and from R, respectively, and the received signals at node E are obtained as follows:
where denote the AWGNs at E with the same variance N.
In the system model, under the interference constraint at the Pu node, the relays R have to adjust their transmitting powers so that the interference power at the Pu must be less than a threshold value, . The maximum powers of nodes S and R are given, respectively, as:
With Formulas (4) and (5), the received signal-to-interference and noise ratios (SINRs) at the destination D for decoding the information signals and are obtained, respectively, as follows:
Applying Formulas (6) and (7), the received SINRs at the node E for eavesdropping the information signal of D and the signal of D from the relay R are obtained, respectively, as follows:
Applying the Shannon capacity formula, the achievable rates of the links R-Y are formulated as:
where the ratio 1/2 represents the fact that data transmission is split into two time slots, and .
The secrecy capacity of the UCCN system with DF-based NOMA for the R-D communication can be expressed as:
where ; ; are the secrecy capacities from the relay R to the destination D, given, respectively, as:
3.1. The Sum SOP of the Secrecy Transmission in the Proposed UCCN-NOMA System with the Best Relay Selection: Case ST1
In this section, firstly, we find the best relay based on the maximum channel gain of the R-D link. Then, we calculate the SOPs of the ST1case in which the destination nodes D and D do not get the signal safely from the source node S through under the malicious attempt of the eavesdropper E. Finally, we calculate their sum SOPs to compare fairly with the sum SOPs of the ST2 and ST3 cases in Section 3.2 and Section 3.3.
First, the best relay is selected based on a criterion as follows:
From the definition of in (16), the CDF of is obtained as:
The pdf of is inferred as:
The next, we calculate the SOP of the ST1 case in which the destination node D does not receive the signal safely from the best relay under the malicious attempt of the eavesdropper E, presented by a math expression as follows:
In this paper, we consider the worst case in which the node E can take the data of D with the best conditions. From (21), we have an upper constraint of as follows:
where , , ,
To solve in (22), we use two lemmas as follows:
Lemma 1.
A is obtained by a closed-form expression as follows:
where .
Proof.
The proof of Lemma 1 is provided in Appendix A. ☐
Lemma 2.
The following expression is valid for A:
Proof.
The proof of Lemma 2 is presented clearly in Appendix B.
The exact upper expression of the SOP is provided in the following theorem. ☐
Theorem 1.
The upper expression is obtained by the expression as:
where
and .
Proof.
☐
Substituting Lemma 1 and Lemma 2 into (22), is shown in two cases as:
-When :
-When :
where
A in (26b) is calculated as
where
The A in (26b) is presented as:
By setting , A in (28) is given as:
where
Finally, we calculate the SOP of the ST1 case in which the destination node D does not receive the signal safely from the source node S through the best relay R under the malicious attempt of the eavesdropper E as follows:
By performing the pdf of the random variables , and the cdf of the random variable , (33) is achieved by the closed-form expression as:
3.2. The SOP of the Secrecy Transmission in the Proposed UCCN-NOMA System with the Best Relay Selection: Case ST2
Similar to Section 3.1, first, we find the best relay based on the maximum channel gain of the R-D link. Next, we calculate the SOPs of the ST2 case in which the destination nodes D, D do not receive the signal safely from the source node S through under the malicious attempt of the eavesdropper E. Finally, we calculate their sum SOPs.
Firstly, we calculate the best relay similarly as the expression of the best relay in Section 3.1, and the best relay is selected based on a criterion as follows:
The cdf and pdf of the random variable is expressed similarly as (17) and (18) and is shown as , The SOP of the ST2 case occurs when the destination D does not receive signals safely from the source node S. The SOP of the ST2 is obtained by a math expression as follows:
Second, we calculate the SOP of the ST2 case in which the destination node D does not receive the signal safely from the source node S through the best relay R under the malicious attempt of the eavesdropper E as follows:
Similar to solving , we consider the worst case in which the node E can take data with the best condition. We rewrite (41), an upper constraint of , as follows:
We calculate similar to , and after some algebra, the probability of can be expressed as:
where .
3.3. The SOP of the Secrecy Transmission in the Proposed UCCN-NOMA System with the Best Relay Selection: Case ST3
In this case, we find the best relay based on the minimum channel gain of the R-E link. The SOPs of the ST3 case in which the destination nodes D and D do not receive the signal safely from the source node S under the malicious attempt of the eavesdropper E are expressed next. Finally, we calculate their sum SOPs. The best relay selection is given as:
The cdf and pdfof the random variable are calculated as:
The SOP of the ST3 case is similar to those in Section 3.1 and Section 3.2 and is shown by two math expressions, respectively, as follows:
By replacing Formula (13), , into (48) and (49), finally, we can easily calculate the probability , , respectively, as:
-When :
-When :
where
4. Simulation Results
In this section, the SOPs of ST1, ST2 and ST3 are analyzed and evaluated using the theoretical analyses and the Monte Carlo simulations. In the two-dimensional plane, the coordinates of S, R, D, D, Pu, and E were set as S(0, 0), R, D(1, 0), D, Pu, E, respectively, satisfying . Therefore, , , , , and . We assumed that the target secrecy capacity and the path-loss exponent were set to constants, (bits/s/Hz) and . The value range of can be from 2–7, which depends on the transmission environments. To simplify the presentation, the parameters used to simulate and analyze are summarized in Table 1 as follows.
Table 1.
Simulation parameters.
Figure 3 presents the sum SOPs of ST1, ST2 and ST3 versus Q(dB) when the symmetric network model is considered with M = 3, , , , SC = 1 (bit/s/Hz), , , , . As shown in Figure 3, we can see that the secrecy performance of ST3 outperformed ST1 and ST2. The sum SOPs of ST1, ST2 and ST3 decreased when Q(dB) increased due to the increment of transmit powers. This can be explained by applying the NOMA technique and the selected relay method as in Section 3.1, Section 3.2 and Section 3.3.
Figure 3.
The sum SOPs of the UCCN-NOMA system versus Q(dB) when M = 3, , , and SC = 1 (bit/s/Hz).
In Figure 4, we compare the sum SOPs with two defined thresholds in two values: Case 1, SC = 0.7 (bit/s/Hz), and Case 2, SC = 1 (bit/s/Hz). It is clear that the lower the threshold is, the better the sum SOPs becomes. Lastly, the simulation results in Figure 3 and Figure 4 were suitable for the theoretical results of ST1, ST2, and ST3. Hence, we can conclude that the derived formulas during the analysis were accurate.
Figure 4.
The sum SOPs of the UCCN-NOMA system versus Q(dB) when M = 3, , , , SC = 0.7 (bit/s/Hz) and SC = 1 (bit/s/Hz).
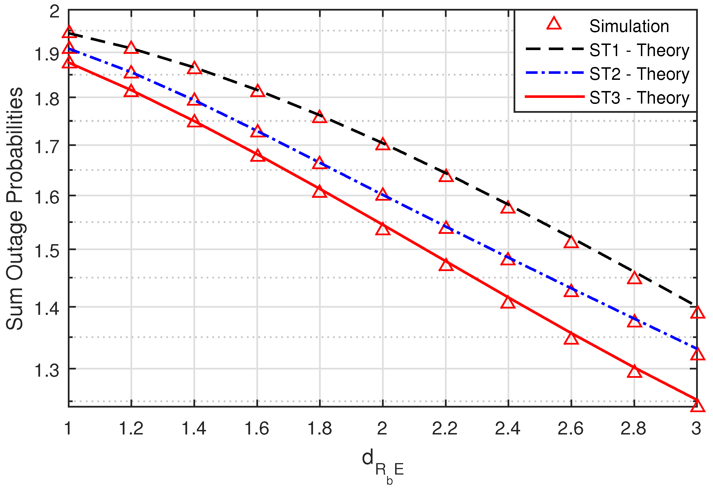
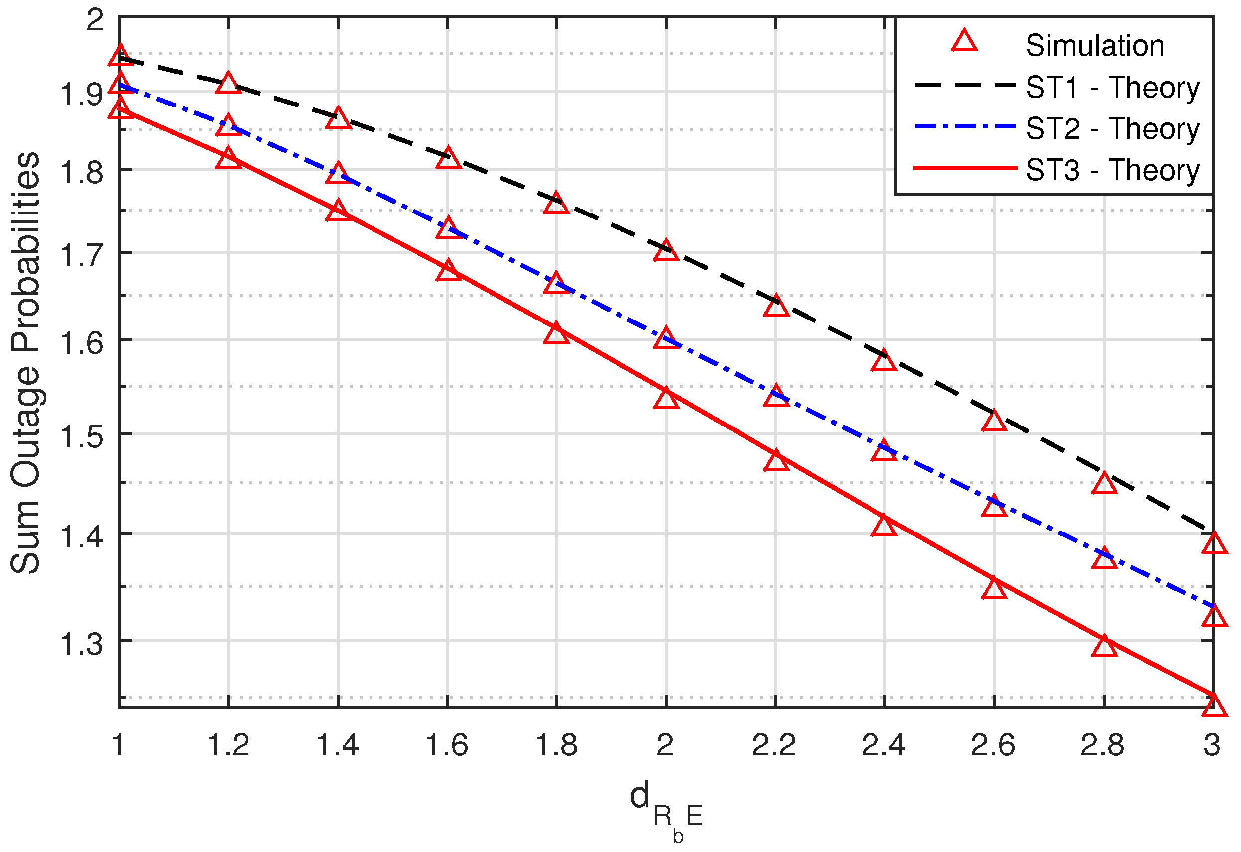
Figure 5 presents the sum SOPs versus the location of the eavesdropper node E when the symmetric network model is considered with M = 3, , , , Q (dB) = 10 dB, SC = 1 (bit/s/Hz), and moves from one to three. In Figure 5, the sum SOPs of ST3 are also smaller than the sum SOPs of ST1 and ST2. The simulation results and the theoretical results are logical. In addition, we can see that if the value increased, the sum SOPs decreased. This result means that the security of the system is very good when eavesdropper node E is far from the source and cooperative relay.
Figure 5.
The sum SOPs of the UCCN-NOMA system versus when M = 3, , , and SC = 1 (bit/s/Hz).
Figure 6 presents the sum SOPs versus Q(dB) when M = 3, , , , SC = 1 (bit/s/Hz), , and . As can be observed from Figure 6, the sum SOPs of ST1, ST2, and ST3 decreased at the higher Q(dB) regions. This clear because the proposed UCCN-NOMA system used NOMA, and the considered PLS with the best relay selection achieved higher secrecy efficiency. When link distance , the security of the system is better than when . However, the security of system in ST2 is smaller than two for the remaining cases due to D being near the relay.
Figure 6.
The sum SOPs of the UCCN-NOMA system versus Q(dB) when M = 3, , , , SC = 1 (bit/s/Hz), , and .
In Figure 7, we investigate the impact of power allocation coefficients on the security performance of the UCCN system with the NOMA solution. In this figure, we show the impacts of varying and on the system. When increased, the SOPs of the secrecy transmission of the signals and decreased and moved to small values. It is noticed that the power allocation coefficients in Figure 7 can result in significant capacity gains in the UCCN system with NOMA and the best relay selection solution.
Figure 7.
The sum SOPs of the UCCN-NOMA system versus when M = 3, and SC = 1 (bit/s/Hz).
5. Conclusions
In this paper, we proposed a security system with multiple relays of the underlay cooperative cognitive network using the NOMA solution. We showed the three best relay selection cases. We calculated the maximum channel gain of the R-D link to find the best relay for the first case. Similar to the first case, we also calculated the best relay for the second case of the R-D link. The final case presented the minimum value of the channel gains from the R-E link. The secrecy performance of the UCCN-NOMA system in terms of the secrecy outage probabilities over Rayleigh fading channels was analyzed and evaluated. The simulation and analysis results were proven to be reasonable. The results of the (sum) secrecy outage probability showed that the proposed scheme can improve the secrecy performances. In addition, the security of the proposed system was better when eavesdropper node E was far from the source and cooperative relays. Finally, the simulations results verified the high accuracy of the derived theory analyses.
Author Contributions
T.-P.H. designed the idea; T.-P.H., P.N.S. analyzed and performed the simulation; P.N.S. contributed to developing some mathematical analysis parts; T.-P.H. organized and wrote the paper; P.N.S. and M.V. critically reviewed the organization of the paper.
Funding
This work was supported by the grant SGSReg. No. SP2019/41 conducted at VSBTechnical University of Ostrava, Czech Republic.
Conflicts of Interest
The authors declare that they have no competing interests.
Abbreviations
The following abbreviations are used in this manuscript:
| NOMA | Non-orthogonal multiple access |
| UCCN | Underlay cooperative cognitive network |
| PLS | Physical layer security |
| SIC | Successive interference cancellation |
| DNC | Digital network coding |
| AF | Amplify-and-forward |
| DF | Decode-and-forward |
| SOP | Secrecy outage probability |
| CR | Cognitive radio |
Appendix A. Proof of Lemma 1
From Formula (27), we calculate A as follows:
Hence, Appendix A is proven completely.
Appendix B. Proof of Lemma 2
To solve Lemma 2, we calculate A in (22) as follows:
Solving (A3) by using the pdf of the random variable and the cdf of the random variable , (A3) is obtained as:
Hence, Appendix B is proven completely.
References
- Srivantana, T.; Maichalernnukul, K. Two-Way Multi-Antenna Relaying with Simultaneous Wireless Information and Power Transfer. Symmetry 2017, 9, 42. [Google Scholar] [CrossRef]
- Wu, F.; Xiao, L.; Yang, D.; Cuthbert, L.; Liu, X. Transceiver Design and Power Allocation for SWIPT in MIMO Cognitive Radio Systems. Symmetry 2018, 10, 647. [Google Scholar] [CrossRef]
- Ding, Z.; Lei, X.; Karagiannidis, G.K.; Schober, R.; Yuan, J.; Bhargava, V.K. A Survey on Non-Orthogonal Multiple Access for 5G Networks: Research Challenges and Future Trends. IEEE J. Sel. Areas Commun. 2017, 35, 2181–2195. [Google Scholar] [CrossRef]
- Ly, T.T.H.; Nguyen, H.-S.; Nguyen, T.-S.; Huynh, V.V.; Nguyen, T.-L.; Voznak, M. Outage Probability Analysis in Relaying Cooperative Systems with NOMA Considering Power Splitting. Symmetry 2019, 11, 72. [Google Scholar] [CrossRef]
- Liu, Y.; Ding, Z.; Elkashlan, M.; Poor, H.V. Cooperative Non-orthogonal Multiple Access With Simultaneous Wireless Information and Power Transfer. IEEE J. Sel. Areas Commun. 2016, 34, 938–953. [Google Scholar] [CrossRef]
- Ding, Z.; Peng, M.; Poor, H.V. Cooperative Non-Orthogonal Multiple Access in 5G Systems. IEEE Commun. Lett. 2015, 19, 1462–1465. [Google Scholar] [CrossRef]
- Lee, S.; da Costa, D.B.; Vien, Q.; Duong, T.Q.; de Sousa, R.T. Non-orthogonal multiple access schemes with partial relay selection. IET Commun. 2017, 11, 846–854. [Google Scholar] [CrossRef]
- Duy, T.T.; Duong, T.Q.; Thanh, T.L.; Bao, V.N.Q. Secrecy performance analysis with relay selection methods under impact of co-channel interference. IET Commun. 2015, 9, 1427–1435. [Google Scholar] [CrossRef]
- Maide, B.; Riccardo, C.; Luigi, F.; Mattia, F.; Alessandro, R. Does chaos work better than noise? Circuits Syst. Mag. IEEE 2003, 2, 4–19. [Google Scholar]
- Arena, P.; Fazzino, S.; Fortuna, L.; Maniscalco, P. Game theory and non-linear dynamics: The Parrondo Paradox case study. Chaos Solitons Fract. 2003, 17, 545–555. [Google Scholar] [CrossRef]
- Fan, L.; Lei, X.; Yang, N.; Duong, T.Q.; Karagiannidis, G.K. Secrecy Cooperative Networks with Outdated Relay Selection over Correlated Fading Channels. IEEE Trans. Veh. Technol. 2017, 66, 7599–7603. [Google Scholar] [CrossRef]
- He, B.; Liu, A.; Yang, N.; Lau, V.K.N. On the Design of Secure Non-Orthogonal Multiple Access Systems. IEEE J. Sel. Areas Commun. 2017, 35, 2196–2206. [Google Scholar] [CrossRef]
- Chen, J.; Yang, L.; Alouini, M. Physical Layer Security for Cooperative NOMA Systems. IEEE Trans. Veh. Technol. 2018, 67, 4645–4649. [Google Scholar] [CrossRef]
- Liu, X.; Wang, Y.; Liu, S.; Meng, J. Spectrum Resource Optimization for NOMA-Based Cognitive Radio in 5G Communications. IEEE Access. 2018, 6, 24904–24911. [Google Scholar] [CrossRef]
- Lv, L.; Chen, J.; Ni, Q. Cooperative Non-Orthogonal Multiple Access in Cognitive Radio. IEEE Commun. Lett. 2016, 20, 2059–2062. [Google Scholar] [CrossRef]
- Lee, S.; Duong, T.Q.; da Costa, D.B.; Ha, D.; Nguyen, S.Q. Underlay cognitive radio networks with cooperative non-orthogonal multiple access. IET Commun. 2018, 12, 359–366. [Google Scholar] [CrossRef]
- Lv, L.; Chen, J.; Ni, Q.; Ding, Z. Design of Cooperative Non-Orthogonal Multicast Cognitive Multiple Access for 5G Systems: User Scheduling and Performance Analysis. IEEE Trans. Commun. 2017, 65, 2641–2656. [Google Scholar] [CrossRef]
- Ding, X.; Song, T.; Zou, Y.; Chen, X. Relay selection for secrecy improvement in cognitive amplify-and-forward relay networks against multiple eavesdroppers. IET Commun. 2016, 10, 2043–2053. [Google Scholar] [CrossRef]
- Liu, Y.; Wang, L.; Duy, T.T.; Elkashlan, M.; Duong, T.Q. Relay Selection for Security Enhancement in Cognitive Relay Networks. IEEE Wirel. Commun. Lett. 2015, 4, 46–49. [Google Scholar] [CrossRef]
- Li, B.; Qi, X.; Huang, K.; Fei, Z.; Zhou, F.; Hu, R.Q. Security-Reliability Tradeoff Analysis for Cooperative NOMA in Cognitive Radio Networks. IEEE Trans. Commun. 2019, 67, 83–96. [Google Scholar] [CrossRef]
- Son, P.N.; Har, D.; Cho, N.I.; Kong, H.Y. Optimal Power Allocation of Relay Sensor Node Capable of Energy Harvesting in Cooperative Cognitive Radio Network. Sensors 2017, 17, 648. [Google Scholar] [CrossRef] [PubMed]
© 2019 by the authors. Licensee MDPI, Basel, Switzerland. This article is an open access article distributed under the terms and conditions of the Creative Commons Attribution (CC BY) license (http://creativecommons.org/licenses/by/4.0/).






