You are currently viewing a new version of our website. To view the old version click .
Land
  • Article
  • Open Access

17 January 2025

The Impact of Agricultural Digitization on Land Productivity: An Empirical Test Based on Micro Panel Data

and
1
School of Management and Economics, Jingdezhen Ceramic University, Jingdezhen 333403, China
2
School of Economics, Sichuan University, Chengdu 610064, China
3
School of International Studies, Sichuan University, Chengdu 610064, China
*
Author to whom correspondence should be addressed.
This article belongs to the Section Land Socio-Economic and Political Issues

Abstract

Digital technology has transformed agriculture by changing traditional production methods and resource allocation. This paper investigates how agricultural digitization affects land productivity, based on farm household data. Findings indicate that agricultural digitization significantly enhances land productivity, with results remaining robust under sensitivity and endogeneity tests. Heterogeneity analysis reveals that the positive effects are more pronounced for larger landholdings, lower levels of human capital, and older farming populations. Mechanism analysis indicates that agricultural digitization improves land productivity by optimizing resource allocation, reducing pollution, enhancing risk resilience, and facilitating the adoption of new technologies. These findings provide valuable insights for developing countries pursuing agricultural digital transformation.

1. Introduction

In recent years, the global food crisis has worsened, with food shortages becoming more widespread. Despite governments’ provision of USD 540 billion in annual support to agricultural producers, 87% of this support has been deemed potentially price-distorting, environmentally harmful, and unproductive []. Developing effective agricultural support programs to create a more efficient and sustainable production system has become a global challenge. Digital technologies, including artificial intelligence, big data, cloud computing, and the Internet of Things (IoT), are being rapidly adopted across the agricultural sector. Agricultural digitization has become a key initiative for countries aiming to enhance agricultural development. For example, the European Union has established the Common European Agricultural Data Space (CEADS) project, Japan has developed the Agricultural Data Collaboration Platform, and India has launched the Digital Agriculture Mission project.
In 2018, the Chinese government issued a clear mandate to promote agricultural digitalization through the Digital Agriculture and Rural Development Plan (2019–2025). The initiative seeks to accelerate agricultural and rural production, operations, and management through digital transformation, using digitalization as a catalyst for modernization. According to data from the Ministry of Agriculture and Rural Affairs, by 2023, the digitalization rate of agricultural production had reached 27.6%. The digitalization rate of field crop planting has also reached 26.4%, and the digital economy in agriculture now accounts for 10.5% of agriculture’s value-added output []. As a result, China’s agricultural sector is undergoing a significant transformation driven by digital technology, reshaping production models, improving resource efficiency, and reducing reliance on the natural environment. The experience and outcomes of China’s agricultural digitalization provide valuable lessons for other countries.
Land is an irreplaceable factor of production and a key spatial resource in agriculture. Recent World Bank data show a rapid decline in global per capita arable land area. This decline has reduced the per capita arable land area from 0.36 km2 in 1961 to 0.18 km2 in 2021 []. The main strategy to address the land-to-population imbalance and ensure food security in developing countries is to increase agricultural output within existing land areas through digital technologies. In 2024, China’s per capita arable land area is projected to be 0.08 km2. Improving land productivity is seen as the main solution to China’s agricultural development challenges and a key goal of its agricultural digitization efforts. However, the effectiveness of these efforts remains uncertain. A review of the existing literature reveals a growing recognition of the role of agricultural digitization in promoting the development of agricultural business entities [,], improving the efficiency of fertilizer and other agricultural resources [], and promoting green development in agriculture []. However, a systematic analysis of the impact of agricultural digitization on land production efficiency is still lacking. In light of the ongoing reduction in arable land in the era of global warming and the growing prevalence of land abandonment in the context of global population aging, a comprehensive examination of the impact of digital agriculture in China on land productivity could offer a valuable theoretical contribution and global perspective on the reform of agricultural support systems in other developing countries. This study has both theoretical and global significance.
This paper aims to quantify the impact of agricultural digitization on land productivity, utilizing data from the China Land Economy Survey (CLES) and conducting a detailed examination of the mechanisms through which agricultural digitization operates. The potential innovations of this study are summarized as follows: (1) Breakthroughs in data granularity and precision. By constructing a micro-level agricultural digitization indicator based on village-level project data, this study surpasses the traditional reliance on macro-level statistics. This approach greatly enhances the explanatory power and reliability of the findings while providing more targeted and actionable policy insights. (2) Comprehensive mechanism analysis. The study incorporates key mediating variables—such as resource misallocation, fertilizer and pesticide use, output uncertainty, and technology adoption—to explore the pathways linking agricultural digitization and land productivity. This rigorous and versatile framework enriches theoretical understanding and serves as a model for exploring digitization impacts in other fields. (3) In-depth heterogeneity analysis. The study examines the effects of agricultural digitization across different land scales, education levels, and aging populations, highlighting its “compensatory effect” for disadvantaged groups. This underscores the equity potential of digital technologies and opens new avenues for research on inclusive technology adoption.

2. Literature Review

The positive impact of agricultural digitization on agricultural and rural development has been increasingly acknowledged in the recent literature []. Previous studies have identified multiple mechanisms through which digitization affects agricultural systems, encompassing production processes, operational efficiency, and resource allocation. First, from the perspective of technological advancement, agricultural digitization is seen as a novel approach to enhancing economic efficiency in agricultural production. Technologies such as the Internet of Things (IoT), big data, and algorithms optimize farming processes, contributing to the advancement of precision agriculture [,]. This results in creative destruction and disruptive innovation in traditional agriculture [], thereby enabling more efficient resource management []. Second, from the perspective of reducing transaction costs and alleviating market information asymmetry, agricultural digitization is believed to lower the cost of farmers’ access to commodity and market information, reduce the role of intermediaries, and improve farmers’ ability to interact with the market. This, in turn, leads to more efficient resource allocation [,,]. Third, from the perspective of the agricultural industry chain, digitization can facilitate the expansion of farmland operations, stimulate the growth of agricultural social services [], and enhance the resilience of agricultural economies []. Finally, with regard to labor productivity, digitalization is seen as capable of optimizing rural labor structures, increasing labor productivity by 3–5 times, and reducing production costs for farmers [].
This paper focuses on land production efficiency. Previous research has explored the impact of various factors, such as capital and labor availability [], technological advancements, and infrastructure investment in agriculture [], as well as the urban–rural income gap [] and population and economic growth [], on land production efficiency. Some studies have also investigated the relationship between digitalization and agricultural production. For instance, Zhang et al. [] suggest that digital technologies improve technical efficiency by optimizing resource allocation and reducing inputs such as land and labor, thereby increasing green total factor productivity in agriculture. Similarly, Jasmine et al. [] argue that data-driven precision agriculture minimizes waste, reduces the need for pesticides and fertilizers, and enhances yields. Sharma and Tyagi [] contend that digital tools, which enable farmers to make informed decisions about sowing and harvesting times and optimize land use, can increase crop yields and land productivity. Espolov et al. [] emphasize that digital technologies can aid in land use planning, monitor soil fertility, and ensure more efficient and sustainable resource utilization. The impact of digitization on agricultural productivity varies by region, with more pronounced effects in areas with higher levels of digital adoption and infrastructure [,].
The aforementioned studies have effectively explored the relationship between digitization and agricultural development. However, few have directly examined the effect of agricultural digitization on land productivity. Moreover, most studies on agricultural digitization focus on macro-level data, such as provincial-level statistics, which limit the research’s applicability and relevance due to the coarse granularity of the data. The impact of agricultural digitization on land productivity also varies significantly across different socio-economic contexts. Further research is needed to better understand these discrepancies and to develop more targeted and adaptable strategies for supporting digital agriculture []. Additionally, the existing literature lacks in-depth studies on the specific mechanisms through which agricultural digitization affects land productivity. This paper seeks to address these gaps by conducting a more comprehensive and systematic evaluation of the impact of agricultural digitization on land productivity, using micro-survey data from farm households in China.

3. Theoretical Analysis and Research Hypotheses

3.1. Direct Effects of Agricultural Digitization on Land Productivity

Agricultural digitization enhances agricultural production efficiency primarily by optimizing the allocation of production inputs and improving resource utilization. In traditional agricultural production, farmers often rely on experience to make decisions regarding tasks such as irrigation and fertilization, which can lead to inefficient resource use. When production factors are misallocated, agricultural productivity fails to reach its potential level. For instance, farmers frequently respond to labor shortages by over-applying relatively inexpensive fertilizers per unit of land in an attempt to maintain production levels []. This approach not only leads to the overuse of fertilizers but also results in a reduction in total factor productivity (TFP). Agricultural digitization facilitates the optimal allocation of capital inputs through the use of technological solutions. For example, technologies such as GPS and Geographic Information Systems (GIS) can accurately determine the fertility requirements of each plot of land, thus reducing the excessive use of fertilizers, improving fertilizer efficiency, and minimizing the waste of capital inputs. In addition, the use of smart machinery, such as automated tractors and drones, increases the efficiency of capital utilization by autonomously performing tasks like sowing, fertilizing, and harvesting. Similarly, digital technologies improve the allocation of labor by reducing the need for a large labor force, decreasing the labor intensity of farmers, and allowing them to focus on more flexible and efficient production methods. As a result, the dependency of land productivity on the farmers’ skills, experience, and physical abilities is reduced. In light of the aforementioned considerations, this paper puts forth the following proposition:
Hypothesis 1 (H1). 
Agricultural digitization can enhance land productivity by optimizing the allocation of capital and labor resources in agricultural production.
Agricultural digitization not only improves the efficiency of resource allocation but also reduces environmental pollution in agricultural production. The widespread use of synthetic fertilizers and pesticides since the 20th century has significantly increased land productivity, but it has also led to serious environmental and ecological problems. Traditional pesticide application methods involve spraying large areas with pesticides, which not only wastes resources but also leads to overgrowth of crops, reduced quality, or even crop failure. Furthermore, excessive use of pesticides disrupts the ecological balance of the soil, leading to soil degradation and long-term declines in land productivity. Similarly, the overuse of fertilizers can cause soil contamination, impair soil structure, and reduce soil fertility, all of which negatively impact the long-term productivity of the land. Agricultural digitization addresses these issues by enabling precision application of fertilizers and pesticides, real-time monitoring, and data-driven decision-making. These technological solutions not only improve the agricultural production environment but also support the sustainable development of agriculture, offering vital technical support for achieving green agriculture and ecological protection. Therefore, we propose the following hypothesis:
Hypothesis 2 (H2). 
Agricultural digitization can enhance land productivity by reducing the emissions of pollution from agricultural production.
Agricultural digitization, through digital monitoring and sensing technologies, can also help farmers anticipate and mitigate the negative effects of natural risks. Natural disasters, such as floods, droughts, and alternating periods of drought and flood, can have a significant adverse impact on agricultural production by hindering the growth and development of crops. Digital platforms can provide farmers with timely information about weather conditions, meteorological forecasts, and other relevant data, enabling them to take precautionary measures to minimize the impact of these disasters. By leveraging digital forecasting, farmers can adjust variables such as crop variety, planting schedules, fertilizer application, and irrigation strategies in response to expected weather conditions. This adaptation improves resilience and mitigates production uncertainty caused by climatic fluctuations. Additionally, after a disaster, digital platforms can disseminate disaster information rapidly and coordinate resources to assist in the quick recovery of affected crops, thus reducing long-term losses and safeguarding agricultural productivity.
Hypothesis 3 (H3). 
Agricultural digitization can enhance land productivity by enabling producers to mitigate the impact of natural risk shocks.

3.2. Indirect Effects of Agricultural Digitization on Land Productivity

Technological progress is a key driver of the modernization and transformation of traditional agriculture, and digitization reinforces the impact of technological advancement. In practice, the technologies available to agricultural producers significantly influence how they allocate production inputs. However, both governments and businesses face financial barriers in promoting new agricultural technologies to farmers. Furthermore, farmers must invest time and resources to identify reliable and effective learning avenues, which may not always align with their interest or willingness to adopt innovative agricultural technologies. In particular, due to information asymmetry, new technologies often carry a degree of risk. Nevertheless, agricultural digitization, supported by modern information technologies, can facilitate the flow of information between farmers and external technology providers, reducing the barriers to technology adoption. Digital platforms transform previously inaccessible agricultural production data into quantifiable, traceable, and predictable metrics, enabling farmers to make more informed decisions, and helping farmers better understand the benefits of these technologies and make more informed decisions. Moreover, the rapid penetration of digital technologies in agriculture can create a more expansive service space for other innovations, accelerating the diffusion of agricultural technologies across regions and driving the broader adoption of new practices. Consequently, agricultural digitization can spur innovation and improve the productivity of agricultural land.
Hypothesis 4 (H4). 
Agricultural digitization can facilitate the adoption of new agricultural technologies, thereby improving land productivity.
In summary, this study constructs a theoretical analysis framework to empirically examine the impact of agricultural digitalization on land productivity and further explores the underlying mechanisms, as illustrated in Figure 1.
Figure 1. Theoretical analysis framework.

4. Materials and Methods

4.1. Data Sources

This study uses data from the 2021–2022 China Land Economy Survey (CLES), which were conducted by Nanjing Agricultural University. The survey employs a PSP sampling method to select 26 research districts and counties across 13 prefecture-level cities in Jiangsu Province, with a total of 2600 farming households in 52 administrative villages participating. This dataset is comprehensive and suitable for addressing the research objectives. Jiangsu Province is one of the most advanced regions in China in terms of agricultural digitization, with digital villages ranking second in the country and many administrative villages having implemented digitization projects. Additionally, Jiangsu is a significant agricultural region and a major contributor to China’s grain production. In 2023, the total area of grain cultivation in Jiangsu Province was 81.884 million mu, with an average yield of 463.8 kg per mu, resulting in a total output of 37.977 million tons []. The data collected offers detailed information on various aspects of agricultural production and land market conditions, especially at the village level regarding agricultural digitization. After processing the data, a total of 2078 farm samples from 52 villages were retained for analysis.

4.2. Definition of Variables

1. Dependent Variable. The dependent variable in this study is land production efficiency. In line with prior research on land productivity [], this paper measures land productivity in terms of crop production per unit area, using the natural logarithm, denoted as “ln_landprod”. A stochastic frontier production function is also used to assess land production efficiency in robustness tests.
2. Core Explanatory Variable. The key explanatory variable in this study is agricultural digitization, denoted as “D_digit”. While the existing literature lacks a comprehensive discussion of proxy variables for measuring agricultural digitization, this study defines agricultural digitization based on four types of digitalization projects: plantation digitization, seed industry digitization, agricultural machinery digitization, and agricultural reclamation digitization. In Chinese practice, the construction and application of agricultural digitalization projects are typically conducted by village collectives, rather than by individual farmers. Accordingly, agricultural households in a village are assigned a value of 1 if the village has implemented any of these types of agricultural digitalization projects, and a value of 0 if not.
3. Mechanism variables. This paper identifies six key mechanism variables, which include the agricultural capital misallocation index, agricultural labor misallocation index, pesticide use, fertilizer use, crop output uncertainty, and the number of applications of advanced agricultural technologies.
The misallocation index serves as a crucial indicator of factor allocation efficiency. Based on the research of Syrquin [], this paper focuses on the allocation efficiency of agricultural capital and agricultural labor factors, assuming a constant land factor endowment. It is assumed that the production function of each farm household satisfies the Cobb–Douglas form with constant returns to scale. The variable coefficient panel model with variable intercept and slope is used to estimate the output elasticity of agricultural capital and labor in each region, allowing for the calculation of the misallocation index of agricultural capital (K_misalloc) and the misallocation index of agricultural labor (L_misalloc).
K _ m i s a l l o c i t = 1 γ K i 1 ,   L _ m i s a l l o c i t = 1 γ L i 1
In Equation (1), γ K i and γ L i denote the capital and labor price distortion indices, respectively, which are calculated as follows:
γ K i = K i K / s i ρ K i ρ K , γ L i = L i L / s i ρ L i ρ L
In Equation (2), s i = y i / Y represents the share of agricultural output of farmers in the total sample of agricultural output Y ; K i / K and L i / L represent the actual use of agricultural capital and labor in the total sample, respectively. If the misallocation index is less than 1, it indicates insufficient input of that factor; Otherwise, it indicates excessive input of that factor.
Agricultural capital refers to the average cost of seeds, fertilizers, pesticides, irrigation, machinery, etc., invested by farmers in production, while the actual use of labor refers to the average number of days of agricultural work by farmers in a year. The capital and labor output elasticities, represented by ρ K i and ρ L i , respectively, are used to quantify the responsiveness of agricultural output to changes in these inputs.
The application of chemical fertilizers and pesticides represents a significant contributor to point source pollution in food production. In the absence of rigorous regulation, farmers often resort to the excessive use of chemical fertilizers and pesticides in pursuit of higher yields. Accordingly, this paper employs the natural logarithm of the cost of fertilizers and pesticides per unit of planted area as a measure of the utilization of fertilizers and pesticides, respectively.
The occurrence of shocks, such as natural disasters, can serve to exacerbate the uncertainty surrounding crop output. Accordingly, this paper employs the concept of crop output uncertainty to assess the resilience of farmers in the context of agricultural production. To analyze uncertainty, it is first necessary to measure it. This paper focuses on the deviation of farmers’ output from the average under the same production environment in the same year. Specifically, the method of adjusting the rate of deviation is employed, and the calculation formula is as follows:
Y t = Y t 1 × ( 1 + v t )
U n c e r t t = Y t Y t Y t = Y t Y t 1 × ( 1 + v t ) 1
In Equations (3) and (4), Y t denotes the output of the farm household in the year t , Y t 1 denotes the average output in the year t−1, and v t denotes the growth rate of the actual average output of other farm households in the year t under the same production conditions. U n c e r t t reflects the degree of deviation of output from the average output and is expressed in absolute terms. A reduction in the magnitude of the deviation will result in a concomitant reduction in the uncertainty with which the farmer undertakes production. This, in turn, will lead to a diminution in the extent to which the farmer is affected by external shocks, such as those resulting from natural risks.
The questionnaire investigated farmers’ use of new agricultural technologies. Specifically, CLES has compiled data on the adoption of twelve agricultural technologies by farmers, which are: soil testing and fertilization, crop cultivation and management, pest and disease control, mechanized production, energy-efficient and high-performance facility agriculture, water-saving irrigation, livestock and poultry health and hygiene breeding, comprehensive utilization of crop straw, agricultural clean and renewable energy, internet information technology services, improved seed, and disaster prevention and mitigation. This paper measures the number of advanced agricultural technology applications in terms of the share of the type of agricultural technology acquired and applied by farmers in relation to all types of agricultural technology, denoted as “Tech_adopt”.
4. Control variables. Based on existing research, this study controls three categories of variables. The first category pertains to household demographic characteristics, including the gender of the household head, political affiliation of the household head, household human capital, health status of household members, and the dependency ratio. The second category includes variables related to household agricultural production, such as household internet usage, the average income of working-age laborers in the household, per capita non-agricultural working hours, the proportion of elderly farmers in the household, land management scale, the use of machinery, social networks, and access to agricultural credit. The third category encompasses development environmental characteristics, with the selected variable being the per capita net income at the village level. The definitions and descriptive statistics for each variable are presented in Table 1.
Table 1. Variable Definition and Descriptive Statistics.

4.3. Modeling

To examine the impact of agricultural digitization on land productivity, the baseline model is as follows:
l n _ l a n d p r o d i t = α 0 + α 1 D _ d i g i t i t + j β j X j , i t + γ i + δ t + ε i t
where l n _ l a n d p r o d i t is the land productivity of farm household i in year t. D _ d i g i t i t is the core explanatory variable (agricultural digitization). X j , i t represents the control variables, γ i and δ t are the fixed effects for county and year, respectively. ε i t is the random disturbance term.
To test the mechanism hypothesis, this paper constructs the following mechanism model:
M e c h a n i s m i t = θ 0 + θ 1 D _ d i g i t i t + j ϑ j X j , i t + γ i + δ t + ε i t
where M e c h a n i s m i t represents the mechanism variables (e.g., capital misallocation index, labor misallocation index, etc.), The other variables are defined as above.
In addition, to verify the robustness of the baseline results, this paper also refers to the stochastic frontier production function as proposed by [] to assess land productivity, as indicated by the following formula:
ln Y i = α 0 + β L ln L i + β K ln K i + β D ln D i + β L K ln L i ln K i + β L D ln L i ln D i + β K D ln K i ln D i + 1 / 2 β L L ( ln L i ) 2 + 1 / 2 β K K ( ln K i ) 2 + 1 / 2 β D D ( ln D i ) 2 + ϵ i + η i
In Equation (7), Y i represent the total crop production of the farmer. The meanings of L i and K i are consistent with those defined in (2), while D i denotes the land factor input. The stochastic error, ϵ i , and the efficiency loss, η i , are two distinct concepts. The latter represents the extent to which the land productivity deviates from the production frontier.

5. Results

5.1. Benchmark Model Regression Results

Table 2 presents the results of the baseline regression examining the impact of agricultural digitization on land productivity. Column (1) shows the results without control variables, where the coefficient for agricultural digitization is 0.133 and significant at the 1% level, indicating that agricultural digitization enhances land productivity. In Column (2), after including control variables, the coefficient remains positive and significant at the 1% level. Column (3) includes both year and county fixed effects, with the estimated coefficients remaining consistent. These results provide strong empirical support for the hypothesis that agricultural digitization improves land productivity.
Table 2. Baseline Estimates of the Impact of Agricultural Digitization on Land Productivity.

5.2. Robustness Tests

To ensure the robustness of the baseline results, three types of robustness tests were conducted:
1. Replacing the Measurement of the Dependent Variable. Firstly, this study uses the stochastic frontier production function to measure land productivity, denoted as “ln_landprod_Y”, with regression results presented in column (1) of Table 3. It shows that both the coefficient and its significance are close to those of the baseline regression, with a regression coefficient of 0.197, which is significant at the 1% level. Secondly, since rice, wheat, and corn are the primary grain crops produced in Jiangsu, this study further uses the logarithms of per-unit-area yields of rice, wheat, and corn as dependent variables. From the regression results shown in columns (2) through (4) of Table 3, the estimated coefficients are all positive and significant at least at the 10% level. This demonstrates that the positive impact of agricultural digitization on land productivity is consistent, regardless of the measurement approach.
Table 3. Robustness Test: Replacing Measures of Land Productivity.
2. Decomposing the Core Explanatory Variable. Agricultural digitization was subdivided into four categories: plantation digitization, seed industry digitization, agricultural machinery digitization, and agricultural reclamation digitization. The columns (1) to (4) of Table 4 presents the regression results for these components. All four categories show positive and statistically significant coefficients, confirming that each aspect of digitization contributes to enhancing land productivity. This decomposition analysis indicates that multiple components of digitization may play a role, providing a more nuanced understanding of how digitization affects land productivity. Additionally, this study constructs the core explanatory variable using the number of agricultural digitization projects implemented in the village. For instance, if a village adopts four of the aforementioned types of projects, the variable D_digit is assigned a value of 4. The corresponding regression results are reported in column (5) of Table 4. The estimated results are consistent with the baseline regression, indicating that the conclusions of this study are robust.
Table 4. Robustness test: Replacing the Caliber of Core Variables.
3. Estimation Based on Propensity Score Matching (PSM). The adoption of digital agricultural technologies by villages or farmers may result from their inherent resource endowments, which could lead to self-selection bias and estimation errors. The PSM method, by matching samples based on propensity scores, can effectively reduce selection bias and improve the reliability of the estimated results. Therefore, this study employs PSM using nearest neighbor matching (k = 4), kernel matching (default kernel function and bandwidth), and caliper matching (k = 4, with a caliper radius set to 0.25 times the standard deviation of the propensity score, equivalent to 0.03) to match treated samples with control samples. After matching, none of the variables reject the null hypothesis of no systematic differences between the treatment and control groups, the differences in sample characteristics are significantly reduced (see Appendix A Table A1), and both the common support and balance assumptions are satisfied. The estimated results obtained are presented in Table 5. As shown, all coefficients remain significantly positive, confirming the robustness of the previous results.
Table 5. Robustness Test: Using Propensity Score Matching (PSM) Method.
4. Sensitivity Analysis. We follow the sensitivity analysis framework proposed by Cinelli et al. [] to address the potential influence of omitted variables. Specifically, we evaluate whether including omitted variables with a strength of 1–3 times the observed variables alters the estimated coefficients.
Figure 2 illustrates the changes in the estimated coefficients of the core explanatory variables as the strength of omitted variables increases. The red line represents β = 0, while the four points in the lower-left corner correspond to estimations without omitted variables and with omitted variables added at 1–3 times the observed strength. All four points remain to the left of the red line, indicating that the sign of the core explanatory variables’ coefficients does not change, even with the inclusion of omitted variables at three times the observed strength. This confirms the robustness of the results.
Figure 2. Staterate_total Estimated Coefficients.
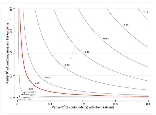
Figure 3 presents a contour plot of the t-statistic, with the four points maintaining their statistical significance. All points lie to the left of the red line, which represents a t-statistic of 1.96 at the 5% significance level. This demonstrates that even when omitted variables with three times the observed strength are included, the regression coefficients remain statistically significant, further supporting the baseline results’ stability.
Figure 3. Staterate_total Estimated Coefficient T-statistic.
Figure 4 shows the least favorable scenario for the regression outcomes under omitted variable shocks. The three lines represent scenarios where omitted variables account for 100%, 75%, and 50% of the residual variance. The three dots indicate omitted variables with strengths of 1–3 times the intensity of the land operation scale, a key factor influencing land productivity. Even in the worst-case scenario, where omitted variables explain 100% of the residual variance, the omitted variable would need to be more than three times as strong as the land operation scale to overturn the conclusions.
Figure 4. Worst-case Estimation for Overturning Staterate_total Estimation Results.
These analyses confirm that the study’s core findings are robust, even under significant omitted variable shocks.

5.3. Endogeneity Test

To address the potential endogeneity concerns arising from omitted variables or reverse causality, referring to Zhou and Ge [], an instrumental variable (IV) approach was employed. The logarithmic distance from farmers’ households to the nearest county center, which interacted with the township-level agricultural digitization adoption rate, was used as the instrument. This instrument satisfies both the relevance and exogeneity conditions: Firstly, the level of agricultural digitization in a village is influenced by its proximity to urban centers due to differences in government investment and support. As the distance increases, the enthusiasm and support of local departments for the advancement of agricultural digitization may diminish, potentially leading to a decline in the level of development of digital agriculture in the village. Secondly, the distance to urban centers is not directly related to individual farm productivity, ensuring the instrument’s exogeneity.
Table 6 presents the IV regression results. The first-stage regression indicates a significant negative correlation between the instrument and agricultural digitization, confirming the instrument’s relevance (F-value = 48.257, exceeding the critical threshold of 10). The second-stage regression shows that the coefficient for agricultural digitization remains positive and significant at the 1% level, consistent with the baseline results. These findings reinforce the causal relationship between agricultural digitization and improved land productivity.
Table 6. Endogeneity Test: Instrumental Variables Approach.

5.4. Heterogeneity Test

To explore the differential impacts of agricultural digitization, heterogeneity tests were conducted by grouping the sample based on three criteria: land operation scale, household human capital, and the proportion of elderly agricultural workers. The results are detailed in Table 7.
Table 7. Heterogeneity Test.
1. Land Operation Scale. Farmers were grouped into three categories: small-scale (<50 acres), medium-scale (50–150 acres), and large-scale (>150 acres). The regression results show that the positive impact of digitization increases with the size of the landholding. For small-scale farmers, the coefficient is 0.075 (significant at the 5% level), while for large-scale farmers, it rises to 0.255 (significant at the 1% level). This suggests that large-scale farmers, with greater financial and operational capacity, are better positioned to adopt and benefit from digital technologies.
2. Household Human Capital. Households were divided into two groups based on whether their human capital level (measured by the proportion of members with secondary education or above) was above or below the sample average. The results indicate that households with lower human capital experience a stronger positive effect of digitization (coefficient = 0.289, significant at the 5% level) compared to higher human capital households (coefficient = 0.152, significant at the 10% level). This demonstrates that digital technologies can compensate for skill deficiencies by standardizing and automating agricultural operations. This is a notable finding in the context of developing countries, where the quality of human capital among agricultural laborers is typically low. This may be attributed to the fact that farmers with low human capital often engage in rudimentary, primarily manual agricultural tasks, where digital technologies can effectively serve as substitutes. Additionally, digital technologies enhance these farmers’ ability to access and process complex information, empowering them to make better-informed decisions.
3. Elderly Agricultural Workers. The aging of the Chinese agricultural population represents a significant challenge that will likely exert a detrimental influence on the availability of agricultural labor. Accordingly, this study classifies the sample into two groups, “above mean” and “below mean,” based on the mean elderly agricultural workers’ ratio in families. Specifically, this study uses the proportion of elderly individuals engaged in agricultural work within a farming household to reflect the degree of agricultural population aging. Elderly individuals are defined as those aged 60 and above, with no differentiation in the aging standard between men and women. This standard is based on the Law of the PRC on the Protection of the Rights and Interests of the Elderly. The results show that digitization has a greater impact on households with a higher share of elderly workers (coefficient = 0.253, significant at the 5% level) compared to those with fewer elderly workers (coefficient = 0.179, significant at the 10% level). This may be attributed to agricultural digitalization technologies, such as automated equipment, smart irrigation systems, and drone monitoring, which can supplant arduous physical labor, diminish the labor burden on older farmers, and enhance their capacity to learn and adapt to novel agricultural technologies through accessible information.
Furthermore, following a stratified analysis approach, this study examined the robustness of heterogeneous aging effects across groups with different human capital levels. The results are detailed in Table 8. We found that for households with a higher degree of aging, regardless of their human capital status, agricultural digitization had a notably stronger effect on improving land productivity compared to households with lower degrees of aging. Similarly, for households with lower human capital, the impact of agricultural digitization on improving land productivity is significantly higher, regardless of the degree of aging, compared to households with higher human capital. This provides more substantial evidence supporting the paper’s central argument.
Table 8. Heterogeneity Analysis: Cross-Validation of Household Human Capital and Aging.

5.5. Mechanism Testing

To investigate how agricultural digitization enhances land productivity, the paper examines its effects on six mechanism variables. The regression results in Table 9 reveal the following:
Table 9. Mechanism Tests.
1. Improving Resource Allocation Efficiency. Agricultural digitization significantly reduces the capital misallocation index by 1.755 and the labor misallocation index by 0.956, both significant at the 1% level. This indicates that digitization optimizes the allocation of production inputs, enhancing resource use efficiency.
2. Reducing Environmental Pollution. Precision application technologies enabled by digitization lead to reductions in fertilizer use (coefficient = −0.153) and pesticide use (coefficient = −0.156), both significant at the 5% level. These findings confirm that digitization mitigates non-point source pollution, supporting sustainable agricultural practices.
3. Mitigating Production Risk. Agricultural digitization decreases output uncertainty by 1.384, significant at the 1% level, suggesting improved resilience to production shocks.
4. Facilitating Technology Adoption. Digitization has a significant positive effect (coefficient = 0.029, significant at the 5% level) on the number of advanced technologies adopted by farmers. This highlights the role of digital platforms in disseminating and encouraging the use of innovative agricultural practices.
These results confirm that agricultural digitization improves land productivity through both direct mechanisms, such as resource optimization, pollution reduction, and risk mitigation, and indirect mechanisms, such as technology adoption. The four hypotheses proposed in this paper have thus been verified.

6. Discussion

Previous studies have primarily explored the effects of agricultural digitization from macro perspectives, such as agricultural green total factor productivity [,] and high-quality agricultural development []. Based on micro-level household data, this study conducts an in-depth analysis of how agricultural digitization affects land productivity and its underlying mechanisms, extending the existing literature in several aspects.
First, this study provides a new analytical perspective for examining the effects of agricultural digitization by constructing micro-level digitization indicators. Previous studies largely relied on provincial panel data [] or digital village construction indicators [] to measure agricultural digitization levels. These macro indicators often fail to accurately reflect the specific applications of digital technology in agricultural production. This paper constructs agricultural digitization indicators based on village-level project data, improving the accuracy and explanatory power of estimation results. Particularly in exploring impact mechanisms and heterogeneous effects, the application of micro-data enables us to more precisely identify how households with different characteristics respond to digital technology, which has important implications for developing targeted digital agriculture policies.
Second, this study systematically analyzes the mechanisms through which agricultural digitization enhances land productivity. Previous research has shown that digital technology can affect agricultural production efficiency through various channels, including improving fertilizer utilization efficiency [], optimizing agricultural resource allocation [], and promoting large-scale agricultural operations and informatization []. This study further reveals that agricultural digitization not only optimizes input factor allocation but also enhances land productivity by reducing non-point source pollution, strengthening risk resilience, and promoting technology adoption. These findings not only enrich the theoretical framework of how agricultural digitization influences agricultural production but also provide important policy implications for using agricultural digital technology to address climate change risks and improve environmental benefits in agriculture.
Third, this study reveals the heterogeneous characteristics of agricultural digitization effects. We find that agricultural digitization has more significant positive impacts on households with large-scale operations, low human capital, and aging agricultural labor. This finding provides counter-evidence to concerns raised by Lioutas et al. [] that agricultural digitization might exacerbate rural wealth disparities, and aligns with Šermukšnytė-Alešiūnienė and Melnikienė’s [] view that digitization can promote sustainable development among smallholder farmers. This indicates that agricultural digitization can lower the technical barriers to agricultural production, helping vulnerable groups overcome production disadvantages and enabling farmers with different human capital levels to better participate in modern agricultural production, demonstrating a significant “compensation effect.” This study further quantifies this effect at the micro level. These conclusions have important implications for promoting inclusive development in agricultural digitization.
However, this study has several limitations. Due to data availability constraints, this study only uses household survey data from Jiangsu Province. The levels and application patterns of agricultural digitization may vary across different regions, and the universality of our findings requires broader data support. Additionally, this study only employs two years of panel data, which may not fully capture the long-term effects of agricultural digitization. Finally, this study primarily focuses on the impact of agricultural digitization on land productivity; future research could further explore its effects on other aspects of agricultural production, such as agricultural product quality and farmer income.

7. Conclusions and Policy Recommendation

This study investigates the impact of agricultural digitization on land productivity using data from the 2021–2022 China Land Economy Survey. The results demonstrate that agricultural digitization significantly enhances land productivity, with robust findings confirmed through sensitivity analyses and endogeneity tests. A heterogeneity analysis reveals that the positive effects of digitization are more pronounced for larger-scale farmers, households with lower levels of human capital, and those with a higher proportion of elderly agricultural workers. Furthermore, mechanism analysis indicates that agricultural digitization improves land productivity by optimizing resource allocation, reducing environmental pollution, enhancing risk resilience, and facilitating the adoption of advanced agricultural technologies. These findings highlight the value of agricultural digitization in improving land use efficiency and building a more sustainable, inclusive, and resilient agricultural system. Based on the research findings, this paper offers the following policy recommendations:
  • Digitalization should be regarded as the core driving force for ensuring food security and promoting transformations in agricultural production methods. Agricultural digitalization provides an effective pathway to address issues such as low land productivity and resource scarcity. It should be incorporated into national food security and agricultural modernization strategies, with increased financial support and the construction of core digital infrastructure. This will enable the precise allocation of resources, dynamic monitoring of risks, and scientifically informed decision-making in the agricultural value chain, ultimately enhancing the productivity and resilience of agricultural systems.
  • The synergy between digitalization and advanced agricultural technologies should be actively promoted. Agricultural digitalization plays a crucial role in facilitating the adoption of new technologies and reducing the costs of technological diffusion. The agricultural technology promotion system should be closely integrated with digital platforms, and through regional adaptability testing and the widespread application of digital tools, the costs of accessing agricultural technologies should be reduced. This will enhance the accessibility and applicability of new technologies in different agricultural ecological zones.
  • The integration of digital technologies with green production practices should be accelerated. Agricultural digitalization has shown significant advantages in optimizing resource utilization and reducing environmental pollution, making it a key driver for achieving sustainable agricultural development. Priority should be given to supporting green technologies such as precision fertilization and real-time pest and disease management, which are low-cost and highly efficient. Regional demonstration projects should showcase the effectiveness of these technologies in improving production efficiency and reducing environmental burdens, particularly in regions with high environmental pressures.
  • Empowering vulnerable groups and enhancing the inclusiveness of agricultural digitalization should be prioritized. Agricultural digitalization has a significant “compensatory effect” on low-skilled and elderly farmers, effectively reducing production disadvantages and technological gaps. Personalized digital training programs should be designed for vulnerable groups, lowering the threshold for technology adoption and ensuring that all groups fairly benefit from the digit.

Author Contributions

Conceptualization, H.Z. (Hongming Zhang); Methodology, H.Z. (Haihua Zhu); Formal analysis, H.Z. (Hongming Zhang); Writing—review and editing, H.Z. (Haihua Zhu). All authors have read and agreed to the published version of the manuscript.

Funding

This work was supported by the National Social Science Foundation of China (Grant No. 23CGJ007) and the Soft Science Research Project of Sichuan Province Science and Technology Program (Grant No. 2023JDR0120) for Haihua Zhu.

Data Availability Statement

The original contributions presented in the study are included in the article, further inquiries can be directed to the corresponding author.

Conflicts of Interest

The authors declare that they have no conflict of interest in this work.

Appendix A

Table A1. Standardized Bias Test Results Under Different Matching Methods.
Table A1. Standardized Bias Test Results Under Different Matching Methods.
VariablesBefore MatchingAfter Matching
Nearest Neighbor MatchingKernel
Matching
Caliper
Matching
t Value p Value t Value p Value t Value p Value t Value p Value
D_male−2.350.0190.790.4290.530.5940.850.395
D_pol2.100.036−0.660.511−0.470.639−0.270.789
Edu10.820.0000.220.8250.450.650−0.020.986
D_net5.010.0000.280.7830.410.6820.330.740
Health3.780.0000.030.9750.080.9320.260.795
Dep_ratio−2.250.0250.310.7540.250.8060.850.394
ln_income3.030.0020.250.7990.210.8320.230.816
Nfarm_hrs−1.280.199−0.050.958−0.150.881−0.360.716
Elder_farm2.110.035−0.680.498−0.510.610−0.250.802
ln_landarea−2.630.0090.710.4760.360.7190.570.569
D_mach0.300.7670.220.8290.080.9350.140.887
D_credit3.150.0020.090.9310.060.9540.310.759
Social_exp6.080.0000.210.8310.530.598−0.060.951
ln_vill_inc1.240.215−0.200.842−0.070.944−0.130.898

References

  1. FAO (Food and Agriculture Organization of the United Nations); UNDP (United Nations Development Program); UNEP (United Nations Environment Program). A Multi-Billion-Dollar Opportunity Repurposing Agricultural Support to Transform Food Systems; FAO: Rome, Italy, 2021. [Google Scholar]
  2. Ministry of Agriculture and Rural Affairs of the People’s Republic of China. Vigorously Promote the Development of Smart Agriculture and Empower the Construction of Agricultural Modernization. 2024. Available online: http://www.scs.moa.gov.cn/zcjd/202410/t20241028_6465095.htm (accessed on 1 December 2024).
  3. World Bank. Available online: https://data.worldbank.org.cn/indicator/AG.LND.ARBL.HA.PC (accessed on 14 November 2024).
  4. Gao, Y.; Wang, S.P.; Han, Z.M. Agricultural digitalization and the development of new agricultural operators. J. Zhong Nan Univ. Econ. Law 2023, 5, 108–121. [Google Scholar]
  5. Du, J.J.; Zhang, Y.D.; Liu, B.M.; Dong, N.H. Impact of digital village construction on agricultural green total factor productivity and its mechanisms. China Popul. Resour. Environ. 2023, 33, 165–175. [Google Scholar]
  6. Wang, H.M.; Zhu, J.J. An empirical study on the impact of agricultural digitalization on fertilizer utilization efficiency. Chin. J. Eco-Agric. 2024, 32, 1857–1868. [Google Scholar]
  7. Jiang, Q.; Li, J.; Si, H.; Su, Y. The Impact of the Digital Economy on Agricultural Green Development: Evidence from China. Agriculture 2022, 12, 1107. [Google Scholar] [CrossRef]
  8. He, M.; Wang, X. Development of agricultural digital transformation: Importance, barriers and implementation path. Gui Zhou Soc. Sci. 2023, 9, 161–168. [Google Scholar]
  9. Bronson, K. Digitization and Big Data in Food Security and Sustainability. In Encyclopedia of Food Security and Sustainability; Elsevier: Amsterdam, The Netherlands, 2019; pp. 582–587. [Google Scholar]
  10. Espolov, T.I.; Espolov, A.T.; Suleimenov, Z.Z.; Ospanov, B.S.; Aituganov, K.K. Economic problems of agricultural digitalization. Int. J. Manag. Bus. Res. 2019, 9, 142–150. [Google Scholar]
  11. Feng, B.H.; Wang, X.H. The impact mechanism and policy suggestions for digital agriculture in promoting rural revitalization. J. Xi’an Univ. Financ. Econ. 2024, 37, 119–129. [Google Scholar]
  12. Tang, Y.; Chen, M. The Impact of Agricultural Digitization on the High-Quality Development of Agriculture: An Empirical Test Based on Provincial Panel Data. Land 2022, 11, 2152. [Google Scholar] [CrossRef]
  13. Yin, H.D.; Huo, P.; Wang, S.G. Agricultural and Rural Digital Transformation: Realistic Representation. Impact Mech. Promot. Strategy Reform 2020, 12, 48–56. [Google Scholar]
  14. Chen, Y.M. Mechanism Innovation for the Integrated Development of Digital Economy and Rural Industry. Issues Agric. Econ. 2021, 12, 81–91. [Google Scholar]
  15. Šermukšnytė-Alešiūnienė, K.; Melnikienė, R. The Effects of Digitalization on the Sustainability of Small Farms. Sustainability 2024, 16, 4076. [Google Scholar] [CrossRef]
  16. Guo, N.; Lyu, T.X.; Zong, H.L. Impact of agricultural digitization on agricultural economic resilience. Chin. J. Econ. Agric. 2024, 11, 1–12. [Google Scholar]
  17. Ren, J.; Chen, X.; Gao, T.; Chen, H.; Shi, L.; Shi, M. New Digital Infrastructure’s Impact on Agricultural Eco-Efficiency Improvement: Influence Mechanism and Empirical Test—Evidence from China. Int. J. Environ. Res. Public Health 2023, 20, 3552. [Google Scholar] [CrossRef] [PubMed]
  18. Bragagnolo, C.; Barros, G. Impactos Dinâmicos dos Fatores de Produção e da Produtividade sobre a Função de Produção Agrícola. Braz. J. Rural. Econ. Sociol. 2015, 53, 31–50. [Google Scholar] [CrossRef]
  19. Piya, S.; Kiminami, A. Sources of Agricultural Productivity in Low and Lower Middle Income Countries. Stud. Reg. Sci. 2011, 41, 77–91. [Google Scholar] [CrossRef]
  20. Peng, J.; Wen, L.; Fu, L.; Yi, M. Total factor productivity of cultivated land use in China under environmental constraints: Temporal and spatial variations and their influencing factors. Environ. Sci. Pollut. Res. 2020, 27, 18443–18462. [Google Scholar] [CrossRef]
  21. Wang, X.; Dietrich, J.P.; Lotze-Campen, H.; Biewald, A.; Stevanović, M.; Bodirsky, B.L.; Brümmer, B.; Popp, A. Beyond land-use intensity: Assessing future global crop productivity growth under different socioeconomic pathways. Technol. Forecast. Soc. Chang. 2020, 160, 120208. [Google Scholar] [CrossRef]
  22. Zhang, Q.; Yang, Y.; Li, X.; Wang, P. Digitalization and Agricultural Green Total Factor Productivity: Evidence from China. Agriculture 2024, 14, 1805. [Google Scholar] [CrossRef]
  23. Jasmine, B.G.; Vinothina, V.; Prakash, V.S.; Sandhya, M.; Vignesh, K. Enhancing Agriculture Productivity with IoT-Enabled Predictive Analytics and Machine Learning. In International Conference on Data Management, Analytics & Innovation; Springer: Singapore, 2024. [Google Scholar]
  24. Sharma, S.; Tyagi, R. Digitalization of Farming Knowledge Using Artificial Intelligence and Vedic Scripture. In Proceedings of the IEEE International Conference on ICT in Business Industry & Government (ICTBIG), Indore, India, 8–9 December 2023; pp. 1–6. [Google Scholar]
  25. Bocean, C.G. A Cross-Sectional Analysis of the Relationship between Digital Technology Use and Agricultural Productivity in EU Countries. Agriculture 2024, 14, 519. [Google Scholar] [CrossRef]
  26. Wang, X.; Shao, L.L. Agricultural Inputs, Urbanization, and Urban-Rural Income Disparity: Evidence from China. China Econ. Rev. 2019, 55, 67–84. [Google Scholar] [CrossRef]
  27. Hu, L.L. The flowers of “numbers” and “wisdom” bloom in the field of hope. Xinhua Daily, 21 June 2023; p. 2. [Google Scholar]
  28. Deng, X.; Peng, J.; Wan, C. The Impact of Internet Use on Land Productivity: Evidence from China Land Economy Survey. Land 2024, 13, 262. [Google Scholar] [CrossRef]
  29. Syrquin, M. Productivity Growth and Factor Reallocation; Oxford University Press: Oxford, UK, 1986. [Google Scholar]
  30. Cinelli, C.; Ferwerda, J.; Hazlett, C. Sensemakr: Sensitivity Analysis Tools for OLS in R and Stata; Social Science Electronic Publishing: Rochester, NY, USA, 2024. [Google Scholar]
  31. Zhou, S.Y.; Ge, Y.J. The Credit Financing Effect of Digital Agriculture Development: Evidence from Family Farms in Jiangsu Province. China Rural. Surv. 2024, 5, 160–184. [Google Scholar]
  32. Lioutas, E.D.; Charatsari, C.; De Rosa, M. Digitalization of agriculture: A way to solve the food problem or a trolley dilemma? Technol. Soc. 2021, 67, 101744. [Google Scholar] [CrossRef]
Disclaimer/Publisher’s Note: The statements, opinions and data contained in all publications are solely those of the individual author(s) and contributor(s) and not of MDPI and/or the editor(s). MDPI and/or the editor(s) disclaim responsibility for any injury to people or property resulting from any ideas, methods, instructions or products referred to in the content.

Article Metrics

Citations

Article Access Statistics

Multiple requests from the same IP address are counted as one view.