Abstract
Wind erosion removes fine soil particles and thus affects surface soil properties, but the existence of a salt crust could prevent wind erosion and protect fine soil particles. Such results referring to wind erosion affecting soil surface textural properties have been reported by many studies. However, it is still not clear whether soil properties differ between salt-crusted soils and adjacent soils without a salt crust in areas experiencing serious wind erosion. Therefore, the objective of this study was to investigate paired samples from salt-crusted and non-crusted surface soils at 23 sites in the Tarim River Basin. The particle size distribution, salt content and composition, and crust thickness and strength were determined. The results of the pooled t-test reveal that, compared with soils without a salt crust, the salt-crusted soils had finer particles (silt + clay), but this difference only occurred in paired soils from the same site, and the silt content showed the largest difference between the paired soils. The salt content and salt crust strength showed great variability, from 88.52 to 603 g·kg−1 and from 0.30 to 5.96 kg·cm−1, respectively, at all sites, but only a weak relationship (R2 = 0.396) between the salt content and crust strength was found, indicating that the salt content was not the only factor affecting crust strength. Our results suggest that wind erosion and salinization cause great soil texture spatial heterogeneity, especially for silt particles in the Tarim River Basin. Variation in salt crust strength can influence dust emissions and must be considered in future management.
1. Introduction
Wind erosion is a global phenomenon and one of the most serious environmental problems in many arid and semiarid regions of the world [1,2,3]. Wind erosion is a selective process that preferentially targets certain soil particles. In general, winds remove finer soil particles from the eroding area [1,4]. Due to this sorting, the surface soil texture becomes coarser over time, leading to a decrease in SOM (soil organic matter) [5], which is greatly influenced by the texture of topsoil in arid lands [6]. In addition, the wind erodibility of soils shows great differences due to variation in surface soil properties [7,8,9], which was found to impact the spatial heterogeneity of soil properties and soil resource redistribution in arid regions [10,11].
Salt crusts are a typical soil structure that forms as a consequence of soil enrichment and bonding due to salt accumulation [12]. Soil salt crusts are a type of soil surface crust that usually exhibits high concentrations of salt, and they are observed in arid lands with shallow groundwater tables [13,14,15]. Salt crusts have also been reported to form strong surfaces that resist deflation and have a high-threshold friction velocity, to reduce dust emissions, and to stabilize the underlying surface, which is an important factor in resistance against wind erosion for scarce vegetation [16,17,18,19].
Soil texture (silt + clay) plays a major role in semiarid environments [9]. Changes in soil texture caused by wind erosion have been reported by comparing paired soils with different erosion degrees in the field. One might expect winds to suspend and remove clay to a greater degree than silt, but some studies have found that silt is more prone to removal [9]. Comparison of paired soils with different erosion degrees to investigate the effect of wind erosion on soil texture has been conducted in farmland [9,20] and desert environments [6], providing strong evidence of changes in soil texture caused by the wind. However, there is still a lack of investigations into the soil texture of paired samples of soils with and without a salt crust in the field, particularly in inland river basins, which experience serious wind erosion. A main reason for this lack of information may be that in most studies of salt crusts in playa environments [16,21,22,23], the salt crust covers almost all of the surfaces of the dry bed. Studies have focused on the effects of salt crusts on dust emissions, considering various salt contents, salt compositions, and crust strengths and some disturbed, undisturbed, and degraded crusts. In addition, some studies applied a reformed salt crust by spraying salt onto repacked soils in dishes or pans [24,25], but Nield et al. [13] noted that the construction of crusts does not accurately recreate the physical characteristics of in situ crusts.
The Tarim River is a typical inland river in China and is located north of the Tarim Basin, which is one of most important dust source areas in the world because it experiences strong wind erosion, with dust storms [7,26]. Soil salinization problems have received considerable attention because salinization leads to the formation of salt crusts. The patchy distribution of the salt crusts along the Tarim River region allows for the comparison of salt-crusted soils and adjacent soils without a salt crust. A comparative study based on the analysis of paired soil samples could enhance our understanding of soil salt crusts in regard to wind erosion and soil texture changes in topsoil.
However, some studies have noted that if the salt crust has a weak strength [27], it could increase wind erosion. The variable chemical compositions [13], salt mineralogy [28], and salt concentrations [24] also result in differences in dust emissions. A strong relationship between crust strength and the salt content in clay-crusted playas has been identified in Arizona [21], but few results have been reported for other regions. In addition, previous studies have investigated soil potential wind erodibility [8,26], soil moisture [29], soil organic matter [30], and soil infiltration characteristics [31] in the Tarim River region, but information on the physical and chemical properties of salt-crusted soils is still lacking. Therefore, in this study, in addition to the PSD (particle size distribution), we also investigated the physical and chemical properties of the soil, including the salt content, composition, and salt crust thickness and strength. A specific hypothesis was tested: compared to soils without a salt crust, salt-crusted soils exhibit a finer particle size due to the erosion-resistant nature of salt-crusted soils. The aims of this study were to investigate the physicochemical properties of salt-crusted soils and compare them to those of non-crusted soils in the Tarim River area.
2. Materials and Methods
2.1. Study Area
The Tarim River is the longest inland river in China and is located in the northern Tarim Basin. The total length of the Tarim River (main stream) is 1321 km. The annual precipitation in this region is variable, with a mean value of 55 mm, whereas the annual potential evaporation is 3200 mm. Most soils are silt loam from the upper reaches to the middle reaches of the Tarim River. Desert shrubs are dominant, including Tamarix spp., Lycium ruthenicum, and Halimodendron halodendron. The major tree species is Populus euphratica.
Environmental problems such as deforestation, desertification, and increased soil salinity have received considerable attention [32,33]. Salt is concentrated in the topsoil due to saline groundwater evaporation [34]. Recently, irrigation practices have caused the seepage of irrigation water, increasing the groundwater table and leading to more serious salinization [35]. The soil salt from agricultural lands dissolved in the irrigation water could diffuse to adjacent non-agricultural areas [34]. The total area of salinized soil grew from 1.226 × 106 hm2 in 1999 to 1.268 × 106 hm2 in 2008 and continues to grow, and the moderately (0.4–0.6%) and heavily salinized soil (>0.6%) had areas of 4.231 × 105 and 6.055 × 105 hm2, respectively, in 2008 [36].
2.2. Soil Sampling
Paired samples of salt crusts and surface soils without a salt crust were collected from 23 locations along the Tarim River at approximately the same time (Figure 1). The soil samples were collected in April 2016, and the area experienced a dust storm in March of the same year. The sites were chosen based on several criteria: (i) the salt crust was continuous, and very small patches of salt crust were avoided; (ii) the areas with a salt crust and without a salt crust had the same land use; (iii) the sites were relatively flat to prevent the influence of topographic relief; (iv) the soil texture (5–20 cm) underlying the soil sample was the same between paired samples at the same sites; (v) the area of the salt crust was larger than 20 m2. We assumed that the particle distribution of the topsoil was only influenced by wind erosion. More salt crust sites (close to 100) can be found due to serious soil salinization along the Tarim River Basin, but only 23 sites met the above criteria. The 23 sites consisted of 11 shrublands, 4 wetlands, 5 farmlands, and 3 deserts, and the 5 salt-crusted soils existed in low-lying areas, compared with the soils without a salt crust. Approximately 2 kg of soil sample was taken at each site.
Figure 1.
The sampling sites in the Tarim River Basin.
For the salt-crusted soils, only the crust was sampled. The crust thickness was determined by a cross-section of the soil by digging a shallow trench, followed by horizontally inserting a knife along the bottom of the trench. The crust thickness was then measured with a vernier caliper. In a nearby area where there was no crust, a sample of surface soil of the same thickness as the salt crust was obtained. The determination of salt crust strength was performed using a penetrometer (Model FDN 32, Wagner Instruments, Greenwich, CT). The use of a penetrometer is the most common method for determining crust strength [16,37]. The penetrometer applies increasing pressure to the surface until the probe induces brittle failure. The strength was measured five times at each site.
2.3. Soil Analysis
In the laboratory, the material was gently crushed, and all soil samples were air-dried and passed through a 2 mm sieve. The carbonate and organic matter were removed with sodium acetate and hydrogen peroxide. The soil aggregates were dispersed with sodium hexametaphosphate. A Malvern Mastersizer S laser diffractometer (Malvern Instruments, Malvern, Cambridge, UK) was used to measure the particle size distribution (PSD). The soil texture was described following the taxonomy of the USDA (United States Department of Agriculture).
Soil pH and EC (electrical conductivity) were determined with an acidity meter and conductivity meter (water/soil = 5:1), respectively. The soluble salt content (water/soil = 5:1) was measured by drying and weighing. The extracted cations (Ca2+, Mg2+, K+, and Na+) were determined by atomic absorption spectrophotometry. SO42− was measured via barium sulfate turbidity, and Cl− was measured through silver nitrate titration.
2.4. Statistical Analysis
A pooled t-test was conducted to compare the mean soil particle size distribution, electrical conductivity, pH value, and salt content in the two treatments (crusted and non-crusted soils). For a specified α (0.05), our null hypothesis (H0) was that no significant difference exists between the two treatments, whereas our alternative hypothesis (H1) was that a significant difference exists between the two treatments. When p < α, we rejected H0 and accepted H1. Statistical regression analysis was conducted using Minitab for Windows.
3. Results
3.1. Salts, Electrical Conductivity, and pH
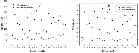
The soluble salt (Figure 2A) contents of the salt-crusted soils ranged from 88.52 to 603.00 g·kg−1 (Table 1), with a mean value of 345.33 g·kg−1 (29.01 g·kg−1 SE (standard error)). The soluble salt contents of the soils without a salt crust ranged from 5.15 to 110.92 g·kg−1, with a mean of 45.53 g·kg−1 (7.72 g·kg−1 SE). As expected, the pooled t-test results reveal that there was a significant difference between soils with and without a salt crust in terms of the salt content. Cl− had the highest content among the examined anions, with a mean of 141.06 g·kg−1 (15.75 g·kg−1 SE). The Cl− content of soils without a crust had a mean of 25.47 g·kg−1 (6.53 g·kg−1 SE) (Figure 2C). Na+ exhibited the highest content among the examined cations in the salt crusts, with a mean of 98.33 g·kg−1 (10.19 g·kg−1 SE). The Na+ content of the topsoils without a crust had a mean of 15.96 g·kg−1 (3.91 g·kg−1 SE). The pooled t-test also showed a significant difference in Na+ and Cl− between the soils with and without a salt crust. Thus, NaCl was clearly the major component of the salt-crusted soils in the Tarim River area.

Figure 2.
Total salt content, EC, and ion content in soils with and without a salt crust. (A) the salt content; (B) EC; (C) Cl−, SO42− and Na+; (D) CO32− and HCO3−; (E) Ca2+, Mg2+ and K+.
Table 1.
Summary statistics of soil properties.
A higher content of SO42− was also observed in the salt-crusted soils than in the non-crusted soils, with a mean of 65.55 g·kg−1 (8.88 g·kg−1 SE), whereas in soils without a salt crust, the mean value was 9.57 g·kg−1 (1.49 g·kg−1 SE). The salt crust contents of Mg2+ and Ca 2+ were 9.87 g·kg−1 (1.31 g·kg−1 SE) and 4.85 g·kg−1 (0.26 g·kg−1 SE), respectively. The contents of Mg2+ and Ca 2+ in the soils without a salt crust were lower, with means of 1.02 g·kg−1 (0.27 g·kg−1 SE) and 2.62 g·kg−1 (0.42 g·kg−1 SE), respectively. K+, HCO3−, and CO32− all had low contents in both the salt-crusted and non-crusted soils (Figure 2C,D).
The soil EC of the salt crusts had a mean of 90.96 mS·cm−1 (7.14 mS·cm−1 SE), and soils without a crust had a mean of 17.08 ms·cm−1 (4.22 mS·cm−1 SE) (Figure 2B and Table 1). There was a significant difference between soils with a salt crust and those without, which was consistent with the total salt content, as the EC had a strong positive correlation with the total salt contents of the soils with and without a crust (EC = 0.2568 salt + 2.5474, R2 = 0.974). However, the pH value did not significantly differ between the paired soils, and similar pH values were detected: 8.95 (0.08 SE) and 8.74 (0.05 SE) for soils with and without a salt crust (Table 1), respectively.
3.2. Soil Texture and Particle Size Distribution
Where crusts occurred, silt loam represented the main soil texture at 13 sites (Table 2), 9 sites had a sandy loam texture, and 1 site had a loamy sand texture; no salt crusts were found on sandy soils. Most of the soils with a salt crust were silt loam, which accounted for 56.52% of the soil samples, followed by sandy loam, which accounted for 39.13% of the samples. Among soils without a salt crust, there were four silt loam soils, two loam soils, seven sandy loam soils, four loamy sand soils, and six sandy soils (Table 2). Sandy loam soils accounted for 30.44% of the soil samples, followed by sandy soils, which accounted for 26.09% of the samples.
Table 2.
Texture of soils with and without a salt crust at the sampling sites.
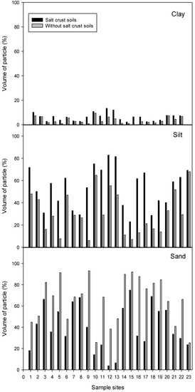
The clay content of the salt-crusted soils ranged from 2.17% to 13.37% (Figure 3 and Figure 4), with a mean of 6.28% (0.67% SE) (Figure 3 and Table 1). The silt content ranged from 22.94% to 82.84%, with a mean of 53.38% (3.76% SE), and the sand content ranged from 3.78% to 74.89%, with a mean of 40.34% (4.39% SE). In soils without a salt crust, the clay content ranged from 0.17% to 9.50%, with a mean of 3.50% (0.53% SE). The silt content ranged from 6.07% to 69.89%, with a mean of 30.60% (4.06% SE), and the sand content ranged from 25.38% to 93.07%, with a mean of 65.90% (4.55% SE). There was a significant difference between soils with and without a crust for all particle size ranges (p < 0.05), including clay, silt, and sand. The salt-crusted soils exhibited markedly higher contents of clay and silt, while soils without a salt crust had an increased sand content.
Figure 3.
Comparison of the clay, silt, and sand contents of soils with and without a salt crust.
Figure 4.
Clay, silt, and sand contents of soils with and without a salt crust at each sampling site.
D50 and D95 are the mean diameters of particles representing the 50th and 95th percentiles of the particle size distribution, respectively, as measured by volume. D50 exhibited means of 40.32 μm (4.62 μm SE) for salt crusts and 79.83 (9.16 μm SE) for non-crusted soils, and D95 had means of 142.77 μm (9.49 μm SE) for salt crusts and 221.42 μm (22.35 μm SE) for non-crusted soils, indicating that salt-crusted soils contained finer particles than non-crusted soils and that there was a significant difference between the two sample types for D50 and D95 (Table 1).
3.3. Crust Thickness and Strength
Crusts can be described by their strength and thickness. The salt crust thickness ranged from 3.67 to 36.61 mm (Figure 5 and Table 1). The thickness of the salt crusts exhibited a positive linear (thickness = 0.0416 salt − 0.4154, R2 = 0.57, p < 0.001) and quadratic (thickness = 0.0002 salt2 − 0.075 salt + 16.96, R2 = 0.81, p < 0.001) correlation with the salt content (Figure 6A). The strength of the salt crusts ranged from 0.30 to 5.96 kg·cm−2 (Figure 4) and presented a positive linear (strength = 0.0074 salt − 0.4394, R2 = 0.396) and quadratic (strength = 0.000074 salt2 − 0.0144 salt + 2.8368, R2 = 0.58) relationship with the salt content (Figure 6B). A good relationship was found between the thickness and strength (R2 = 0.72). A multiple regression analysis was established between clay, silt, pH, thickness of the crust, and strength: strength = 8.690 + 0.5 clay − 0.075 silt − 0.913 pH + 0.239 thick − 0.24 salt, R2 = 0.83, p < 0.001.
Figure 5.
Thickness and strength of salt crusts in the Tarim River Basin.
Figure 6.
Correlations among the thickness, strength, and salt content of salt crusts in the Tarim River Basin: (A) a correlation between the thickness and salt content; (B) a correlation between the strength and salt content.
4. Discussion
4.1. Soil Texture
Our results show that the salt crusts had a wide PSD and range of soil textures because salt accumulation is heavily reliant on the hydraulic conditions [38] that permit salt precipitation to occur at the soil surface. The literature does not show a clear relationship between salt crusts and soil texture, as a wide range of soil textures are found in the literature, including silty clay [39], silty clay loam [40], silty soils [23], silt loam [41], sandy loam [42], and sand [43], and coarser silica sand and glass beads were selected to repack the soil column and generate different thicknesses of salt crusts in the lab [44,45,46,47].
However, our results also reveal finer particles in the salt-crusted soils, but this difference was only found in paired soils from the same site (Table 2). For example, the salt-crusted soils had a silt content that ranged from 22.94% to 82.84%. Similarly, the silt content of the non-crusted soils ranged from 6.07% to 69.89%. The silt content of the salt-crusted soils was only higher than that of the soils without a salt crust at the same site (Figure 3); similarly, this was also true for the sand and clay contents (Figure 6), where differences were only found at the same sites.
A rational explanation for the salt-crusted soils having a finer PSD and soil texture is that the finer soil fractions are protected by the anti-wind erosion composition inherent to salt crusts. Salts are an important soil ingredient, forming cement-like bonds between soil particles and large and stable aggregates that strongly resist deflation [23], which are protected by salt crusts [48]. However, some studies have shown that salt crusts in playas are associated with dust emissions [49,50,51,52,53]. The emission of soil particles is highly dependent on the abrasive action of unconsolidated fine fractions in playa environments [21,49]. Some studies have described halite salt crusts as “puffy” or “hairy”, suggesting that the surfaces may be more susceptible to erosion. In our study, however, “puffy” or “hairy” salt crusts were not found, and the salt crusts showed greater strength with larger aggregates (Figure 7), where the size of aggregates had a range from 2 cm to 18 cm. A recent study [19] reported a strong structure for a NaCl salt crust, and a weak strength for Na2CO3 and MgSO4 salt crusts, which was attributed to a difference in the salt crystal behavior between the salt types. The main chemical composition of the salt crusts was NaCl, and only a small amount of Na2CO3 and MgSO4 was found in our crust samples; thus, in our research, the salt crusts had high strength and inhibited dust emissions. The Tarim Basin is one of most important potential dust storm source areas in the world [54], and strong wind erosion leads to the removal of finer particles from soils without a salt crust.
Figure 7.
Salt crusts on topsoils in the Tarim River Basin.
Wind erosion is an important factor affecting the evolution of soil texture [6]. In comparison to the clay contents (2.78% mean value), our results reveal a greater difference in silt contents (22.74% mean value). A possible reason for this difference is that wind erosion is very selective regarding soil particles, particularly favoring those of silt size [9,55]. Leon and John [55] noted that silt was removed through sorting by wind in western Kansas after 36 years. Similar results were also reported by Zhao et al. [20], Madden et al. [56], and Colazo and Buschiazzo [9].
In general, primary clay particles are smaller than silt particles, and one might expect winds to suspend and remove clay to a greater degree than silt, but clay particles are frequently aggregated into larger sizes [55], forming coarser aggregates in fine-textured soils. Clay particles appeared to be an adhesive when there was enough water to wet the soil and rebind individual particles to form non-erodible soil aggregates [57], which was mostly due to the presence of Na+ montmorillonite [58]. A clay amendment was also suggested as an effective measure to reduce dust emissions [57]. Therefore, this is the main reason why the clay content contributed less dust emissions. Overall, there are two probable reasons that led to a larger difference in silt between the paired soils: the first is that the soil particles were preferentially depleted by enhanced wind erosion; the second is that a high silt content was found in our soil samples, which provided potential erodible particles. Some studies reported a relationship between SOM and aggregates, but a very low SOM (Table 1) was found across all soil samples. Previous studies reported that a low SOM had almost no influence on the soil properties [59]; thus, we did not consider a contribution to the soil properties from SOM.
4.2. Salt Crust
Some studies [21,27,37,60] have noted that strength is the most important property of crust resistance to wind erosion. Previous studies showed that sand sprayed with a NaCl solution of varied concentrations to form crusts caused a range of yield strengths [24]. Houser and Nickling [21] also reported that the spatially averaged crust strength ranged from a minimum of 0.94 kg cm−2 to a maximum of 3.96 kg cm−2 at all of the sites in a series of clay-crusted playas in Arizona, and a strong linear relationship (R2 = 0.83) between the salt content and average crust strength was found. In our study, the strength of the salt crusts ranged from 0.30 to 5.96 kg·cm−2 at all of the sites. The salt crust strength showed more variability in the Tarim River area, but only a weak linear relationship (R2 = 0.396) between the salt content and crust strength was observed. The main reason for this difference is that the study by Houser and Nickling [21] was conducted in clay-crusted playas, and the quantity of silt- and clay-sized material in the crust ranged from 74% to 100%. The soil texture was relatively similar, but great soil texture variation was observed in our study area (Table 2); therefore, only a weak linear relationship (R2 = 0.396) was found in our study. The weak relationship also indicated that the salt content was not the only factor affecting salt crust strength in the Tarim River area. The multiple regression analysis indicated that crust strength was significantly influenced by multiple factors, including the soil texture, pH value, salt content, and thickness. The more positive slope (0.5) for clay than silt (0.075) may be attributed to the fact that clay could prompt the soil particles to cement each other (as mentioned above), thus having a larger influence on the crust strength. The thickness and salt content had similar positive slopes due to the good relationship between them. Overall, a higher salt content, thickness, and clay content will generate a stronger salt crust. The effect of the pH value on strength is still unclear, but if we remove the pH value, the R2 will be decreased, indicating that the influence of the pH value cannot be neglected; thus, the relationship between the crust strength and pH value should be investigated in future. Shao et al. [61] suggested that the amount of dust emitted from a surface also varies with the variability in binding strength, and Houser and Nickling [21] reported that the susceptibility of a surface to erosion decreases rapidly as the crust strength increases. These studies noted that strength was an important factor impacting dust emissions; therefore, crust strength variation should be considered in future research in the Tarim River Basin.
4.3. Soil Salinization and Soil Erosion
Both soil erosion and soil salinization cause serious damage to plant growth and human environments. More than 250 million people in the world are directly affected by desertification, while more than 1 billion people in about 100 countries face the threat of soil salinization [62], according to the United Nations Convention to Combat Desertification. Therefore, it is undesirable to reduce soil wind erosion by increasing the area of soil salinization, which is against the Land Degradation Neutrality (LDN) concept: land use and management should not disrupt the existing balance between “not yet degraded” and “already degraded” such as to cause a net increase in degraded land [63].
Soil erosion (soil becomes coarse) recovery is extremely difficult because the improvement in soil properties is a long process. However, the amelioration of saline soils is faster and easier through soil flushing. Leaching of salts from the topsoil to lower depths down below the root zone is a prevalent method of saline soil amelioration [58]. Soil flushing using fresh water is also commonly conducted in the Tarim River Basin, and the evaluation of leaching requirements is a hot topic in the Tarim River. The leaching of saline soils is simple and easy to carry out for local farmers, which leads to an increase in the area of cultivated land in the Tarim River. However, the wind erosion risks will be increased in soil without a salt crust, as suggested by the reduction in dust emissions by salt crusts in our research. It seems that soil degradation could be improved by saline soil amelioration, but it may introduce new soil degradation risks (soil erosion).
Therefore, our research results imply that wind erosion risk increases should be considered if the salinity of the soil is ameliorated and the soil is transformed into cropland. We also suggest that some conservation agriculture practices (e.g., no-tillage, manure application, residue cover, and addition of clay) must be considered to reduce soil loss due to wind. Otherwise, the original threat of soil salinization may be transformed into soil erosion and may lead to further degradation of lands. Thus, our research results provide insights relevant to the implementation of the LDN concept.
5. Conclusions
Paired samples from salt-crusted and non-crusted surface soils at 23 sites in the Tarim River Basin were investigated. In comparison to the clay contents, the silt particle contents showed a larger difference between the paired soils, indicating that wind erosion and salinization are important drivers of the surface soil particle size distribution, especially for silt particles in the Tarim River Basin. The salt content was not the only factor influencing crust strength, and existing studies agree that crust strength is an important factor influencing dust emissions. Crust strength showed high variation in the Tarim River Basin; therefore, crust strength variation should be considered in future research. Our results enhance the understanding of the effects of soil salt crusts on the heterogeneous texture of surface soils in areas that experience serious wind erosion. Additionally, in order to increase the cultivated land area, the amelioration of saline soils by fresh water flushing is also common in the Tarim River Basin, but wind erosion risk increases should be considered, and some conservation agriculture practices (e.g., no-tillage, manure application, and residue cover) should be applied to reduce soil loss due to wind.
Author Contributions
X.L.: conceptualization, data curation, funding acquisition, and writing—original draft; M.G.: investigation. All authors have read and agreed to the published version of the manuscript.
Funding
This research was supported by the West Light Foundation of Chinese Academy of Sciences (grant no. 2020-XBQNXZ-012) and the National Natural Science Foundation of China (grant no. 41977013).
Institutional Review Board Statement
Not applicable.
Informed Consent Statement
Not applicable.
Data Availability Statement
The experimental data used to support the findings of this study are available from the corresponding author upon request.
Conflicts of Interest
The authors declare no conflict of interest.
References
- Jarrah, M.; Mayel, S.; Tatarko, J.; Funk, R.; Kuka, K. A review of wind erosion models: Data requirements, processes, and validity. Catena 2020, 187, 104388. [Google Scholar] [CrossRef]
- Lyu, X.; Li, X.; Wang, H.; Gong, J.; Li, S.; Dou, H.; Dang, D. Soil wind erosion evaluation and sustainable management of typical steppe in Inner Mongolia, China. J. Environ. Manag. 2021, 277, 111488. [Google Scholar] [CrossRef] [PubMed]
- Lemboye, K.; Almajed, A.; Alnuaim, A.; Arab, M.; Alshibli, K. Improving sand wind erosion resistance using renewable agriculturally derived biopolymers. Aeolian Res. 2021, 49, 100663. [Google Scholar] [CrossRef]
- Du, H.; Zuo, X.; Li, S.; Wang, T.; Xue, X. Wind erosion changes induced by different grazing intensities in the desert steppe, Northern China. Agric. Ecosyst. Environ. 2019, 274, 1–13. [Google Scholar] [CrossRef]
- Chappell, A.; Webb, N.P.; Leys, J.F.; Waters, C.M.; Orgill, S.; Eyres, M.J. Minimising soil organic carbon erosion by wind is critical for land degradation neutrality. Environ. Sci. Policy 2019, 93, 43–52. [Google Scholar] [CrossRef]
- Yan, Y.; Xin, X.; Xu, X.; Wang, X.; Yang, G.; Yan, R.; Chen, B. Quantitative effects of wind erosion on the soil texture and soil nutrients under different vegetation coverage in a semiarid steppe of northern China. Plant Soil 2013, 369, 585–598. [Google Scholar] [CrossRef]
- Li, X.; Feng, G.; Sharratt, B.; Zheng, Z. Aerodynamic properties of agricultural and natural surfaces in northwestern Tarim Basin. Agric. For. Meteorol. 2015, 204, 37–45. [Google Scholar] [CrossRef]
- Li, X.; Feng, G.; Sharratt, B.S.; Zheng, Z.; Pi, H.; Gao, F. Soil Wind Erodibility Based on Dry Aggregate-Size Distribution in the Tarim Basin. Soil Sci. Soc. Am. J. 2014, 78, 2009–2016. [Google Scholar] [CrossRef]
- Colazo, J.C.; Buschiazzo, D. The Impact of Agriculture on Soil Texture Due to Wind Erosion. Land Degrad. Dev. 2015, 26, 62–70. [Google Scholar] [CrossRef]
- Li, J.; Okin, G.S.; Alvarez, L.; Epstein, H. Effects of wind erosion on the spatial heterogeneity of soil nutrients in two desert grassland communities. Biogeochemistry 2008, 88, 73–88. [Google Scholar] [CrossRef]
- Li, J.; Okin, G.S.; Epstein, H.E. Effects of enhanced wind erosion on surface soil texture and characteristics of windblown sediments. J. Geophys. Res. Biogeosci. 2009, 114, G02003. [Google Scholar] [CrossRef] [Green Version]
- Li, X.; Shi, F. The Effect of Flooding on Evaporation and the Groundwater Table for a Salt-Crusted Soil. Water 2019, 11, 1003. [Google Scholar] [CrossRef] [Green Version]
- Nield, J.M.; McKenna Neuman, C.; O’Brien, P.; Bryant, R.G.; Wiggs, G.F.S. Evaporative sodium salt crust development and its wind tunnel derived transport dynamics under variable climatic conditions. Aeolian Res. 2016, 23, 51–62. [Google Scholar] [CrossRef] [Green Version]
- Li, X.; Shi, F. Effects of evolving salt precipitation on the evaporation and temperature of sandy soil with a fixed groundwater table. Vadose Zone J. 2021, 20, e20122. [Google Scholar] [CrossRef]
- Li, X.H.; Shi, F.Z. Salt precipitation and evaporative flux on sandy soil with saline groundwater under different evaporation demand conditions. Soil Res. 2021, 60, 187–196. [Google Scholar] [CrossRef]
- Baddock, M.C.; Zobeck, T.M.; Van Pelt, R.S.; Fredrickson, E.L. Dust emissions from undisturbed and disturbed, crusted playa surfaces: Cattle trampling effects. Aeolian Res. 2011, 3, 31–41. [Google Scholar] [CrossRef]
- Brungard, C.W.; Boettinger, J.L.; Hipps, L.E. Wind erosion potential of lacustrine and alluvial soils before and after disturbance in the eastern Great Basin, USA: Estimating threshold friction velocity using easier-to-measure soil properties. Aeolian Res. 2015, 18, 185–203. [Google Scholar] [CrossRef]
- Webb, N.P.; Strong, C.L. Soil erodibility dynamics and its representation for wind erosion and dust emission models. Aeolian Res. 2011, 3, 165–179. [Google Scholar] [CrossRef]
- Dai, J.; Zhang, G.; Liu, L.; Shi, P.; Zhang, H.; Han, X.; Xue, K.; Hu, X.; Zhang, J.; Xiang, M.; et al. Effects of efflorescence and subflorescence by different salts on soil physical properties and aeolian erosion. Catena 2022, 215, 106323. [Google Scholar] [CrossRef]
- Zhao, H.-L.; He, Y.-H.; Zhou, R.-L.; Su, Y.-Z.; Li, Y.-Q.; Drake, S. Effects of desertification on soil organic C and N content in sandy farmland and grassland of Inner Mongolia. Catena 2009, 77, 187–191. [Google Scholar] [CrossRef]
- Houser, C.A.; Nickling, W.G. The factors influencing the abrasion efficiency of saltating grains on a clay-crusted playa. Earth Surf. Process. Landf. 2001, 26, 491–505. [Google Scholar] [CrossRef]
- Nield, J.M.; Bryant, R.G.; Wiggs, G.F.S.; King, J.; Thomas, D.S.G.; Eckardt, F.D.; Washington, R. The dynamism of salt crust patterns on playas. Geology 2015, 43, 31–34. [Google Scholar] [CrossRef] [Green Version]
- Argaman, E.; Singer, A.; Tsoar, H. Erodibility of some crust forming soils/sediments from the Southern Aral Sea Basin as determined in a wind tunnel. Earth Surf. Process. Landf. 2006, 31, 47–63. [Google Scholar] [CrossRef]
- O’Brien, P.; McKenna Neuman, C. A wind tunnel study of particle kinematics during crust rupture and erosion. Geomorphology 2012, 173–174, 149–160. [Google Scholar] [CrossRef]
- Langston, G.; McKenna Neuman, C. An experimental study on the susceptibility of crusted surfaces to wind erosion: A comparison of the strength properties of biotic and salt crusts. Geomorphology 2005, 72, 40–53. [Google Scholar] [CrossRef]
- Li, X.H.; Feng, G.L.; Zhao, C.Y.; Zheng, Z.H. Fine-Particle Emission Potential from Overflowing Areas of the Tarim River. Soil Sci. 2013, 178, 556–567. [Google Scholar] [CrossRef]
- Rice, M.A.; McEwan, I.K.; Mullins, E. A conceptual model of wind erosion of soil surfaces by saltaing particles. Earth Surf. Process. Landf. 1999, 24, 383–392. [Google Scholar] [CrossRef]
- Buck, B.J.; King, J.; Etyemezian, V. Effects of Salt Mineralogy on Dust Emissions, Salton Sea, California. Soil Sci. Soc. Am. J. 2011, 75, 1971–1985. [Google Scholar] [CrossRef] [Green Version]
- Dong, L.; Xiong, Y.; Huang, Q.; Xu, X.; Huo, Z.; Huang, G. Evaporation-induced salt crystallization and feedback on hydrological functions in porous media with different grain morphologies. J. Hydrol. 2021, 598, 126427. [Google Scholar] [CrossRef]
- Li, X.; Feng, G.; Sharratt, B. Soil organic carbon within the vadose zone of a floodplain. Environ. Earth Sci. 2018, 77, 247. [Google Scholar] [CrossRef]
- Li, X.; Feng, G.; Zhao, C.; Shi, F. Characteristics of soil infiltration in the Tarim River floodplain. Environ. Earth Sci. 2016, 75, 782. [Google Scholar] [CrossRef]
- Chen, Y.; Xu, C.; Chen, Y.; Liu, Y.; Li, W. Progress, challenges and prospects of eco-hydrological studies in the Tarim river basin of Xinjiang, China. Environ. Manag. 2013, 51, 138–153. [Google Scholar] [CrossRef] [PubMed]
- Feng, Q.; Liu, W.; Si, J.; Su, Y.; Zhang, Y.; Cang, Z.; Xi, H. Environmental effects of water resource development and use in the Tarim River basin of northwestern China. Environ. Geol. 2005, 48, 202–210. [Google Scholar]
- Zhou, H.H.; Chen, Y.N.; Li, W.H. Soil properties and their spatial pattern in an oasis on the lower reaches of the Tarim River, northwest China. Agric. Water Manag. 2010, 97, 1915–1922. [Google Scholar] [CrossRef]
- Yan, J.; Chen, X.; Luo, G.; Guo, Q. Temporal and spatial variability response of groundwater level to land use/land cover change in oases of arid areas. Chin. Sci. Bull. 2006, 51, 51–59. [Google Scholar] [CrossRef]
- Gao, F.; Huang, Q.; Sun, X.; Yan, Z. Study on Dynamic Changes of the Soil Salinization in the Upper Stream of the Tarim River Based on RS and GIS. Procedia Environ. Sci. 2011, 11, 1135–1141. [Google Scholar]
- Rice, M.A.; McEwan, I.K. Crust strength: A wind tunnel study of the effect of impact by saltating particles on cohesive soil surfaces. Earth Surf. Process. Landf. 2001, 26, 721–733. [Google Scholar] [CrossRef]
- Nachshon, U.; Weisbrod, N. Beyond the salt crust: On combined evaporation and subflorescent salt precipitation in porous media. Transp. Porous Media 2015, 110, 295–310. [Google Scholar] [CrossRef]
- Singer, A.; Banin, A.; Poberejzsky, L.; Gilenko, M. Soil Crusts in the Amudarya River Delta: Properties and Formation. In Sustainable Land Use in Deserts; Breckle, S.-W., Ed.; Springer: Berlin/Heidelberg, Germany, 2001. [Google Scholar]
- Joeckel, R.M.; Clement, B.A. Surface features of the Salt Basin of Lancaster County, Nebraska. Catena 1999, 34, 243–275. [Google Scholar] [CrossRef]
- Yang, J.-L.; Zhang, G.-L.; Yang, F.; Yang, R.-M.; Yi, C.; Li, D.-C.; Zhao, Y.-G.; Liu, F. Controlling effects of surface crusts on water infiltration in an arid desert area of Northwest China. J. Soils Sediments 2016, 16, 2408–2418. [Google Scholar] [CrossRef]
- Chen, X.Y. Evaporation from a Salt-Encrusted Sediment Surface—Field And Laboratory Studies. Aust. J. Soil Res. 1992, 30, 429–442. [Google Scholar] [CrossRef]
- Zhang, J.G.; Xu, X.W.; Lei, J.Q.; Li, S.Y.; Hill, R.L.; Zhao, Y. The effects of soil salt crusts on soil evaporation and chemical changes in different ages of Taklimakan Desert Shelterbelts. J. Soil Sci. Plant Nutr. 2013, 13, 1019–1028. [Google Scholar] [CrossRef]
- Bergstad, M.; Shokri, N. Evaporation of NaCl solution from porous media with mixed wettability. Geophys. Res. Lett. 2016, 43, 4426–4432. [Google Scholar] [CrossRef] [Green Version]
- Eloukabi, H.; Sghaier, N.; Ben Nasrallah, S.; Prat, M. Experimental study of the effect of sodium chloride on drying of porous media: The crusty–patchy efflorescence transition. Int. J. Heat Mass Transf. 2013, 56, 80–93. [Google Scholar] [CrossRef] [Green Version]
- Nachshon, U.; Weisbrod, N.; Dragila, M.I.; Grader, A. Combined evaporation and salt precipitation in homogeneous and heterogeneous porous media. Water Resour. Res. 2011, 47, W03513. [Google Scholar] [CrossRef]
- Gran, M.; Carrera, J.; Massana, J.; Saaltink, M.W.; Olivella, S.; Ayora, C.; Lloret, A. Dynamics of water vapor flux and water separation processes during evaporation from a salty dry soil. J. Hydrol. 2011, 396, 215–220. [Google Scholar] [CrossRef]
- Song, Y.; Quan, Z.; Liu, L.; Yan, P.; Cao, T. The influence of different underlying surface on sand-dust storm in northern China. J. Geogr. Sci. 2005, 15, 431–438. [Google Scholar] [CrossRef]
- Cahill, T.A.; Gill, T.E.; Reid, J.S.; Gearhart, E.A.; Gillette, D.A. Saltating Particles, Playa Crusts and Dust Aerosols at Owens (Dry) Lake, California. Earth Surf. Process. Landf. 1996, 21, 621–639. [Google Scholar] [CrossRef]
- Wood, W.W.; Sanford, W.E. Eolian transport, saline lake basins, and groundwater solutes. Water Resour. Res. 1995, 31, 3121–3129. [Google Scholar] [CrossRef]
- Gill, T.E. Eolian sediments generated by anthropogenic disturbance of playas: Human impacts on the geomorphic system and geomorphic impacts on the human system. Geomorphology 1996, 17, 207–228. [Google Scholar] [CrossRef]
- Goudie, A.S.; Middleton, N.J. Saharan dust storms: Nature and consequences. Earth-Sci. Rev. 2001, 56, 179–204. [Google Scholar] [CrossRef]
- Yechieli, Y.; Wood, W.W. Hydrogeologic processes in saline systems: Playas, sabkhas, and saline lakes. Earth-Sci. Rev. 2002, 58, 343–365. [Google Scholar] [CrossRef]
- Husar, R.B.; Tratt, D.M.; Schichtel, B.A.; Falke, S.R.; Li, F.; Jaffe, D.; Gassó, S.; Gill, T.; Laulainen, N.S.; Lu, F.; et al. Asian dust events of April 1998. J. Geophys. Res. Atmos. 2001, 106, 18317–18330. [Google Scholar] [CrossRef]
- Leon, L.; John, T. Wind erosion affects soil texture and organic matter. J. Soil Water Conserv. 1986, 41, 191–193. [Google Scholar]
- Madden, N.M.; Southard, R.J.; Mitchell, J.P. Soil water and particle size distribution influence laboratory-generated PM10. Atmos. Environ. 2010, 44, 745–752. [Google Scholar] [CrossRef]
- Pi, H.; Huggins, D.R.; Sharratt, B. Wind erosion of soil influenced by clay amendment in the inland Pacific Northwest, USA. Land Degrad. Dev. 2020, 32, 241–255. [Google Scholar] [CrossRef]
- Qadir, M.; Ghafoor, A.; Murtaza, G. Amelioration strategies for saline soils: A review. Land Degrad. Dev. 2000, 11, 501–521. [Google Scholar] [CrossRef]
- Danalatos, N.G.; Kosmas, C.S.; Driessen, P.M.; Yassoglou, N. Estimation of the Draining Soil-Moisture Characteristic from Standard Data as Recorded in Routine Soil Surveys. Geoderma 1994, 64, 155–165. [Google Scholar] [CrossRef]
- Rice, M.A.; Willetts, B.B.; MceWan, I.K. Wind erosion of crusted soil sediments. Earth Surf. Process. Landf. 1996, 21, 279–293. [Google Scholar] [CrossRef]
- Shao, Y.; Raupach, M.R.; Findlater, P.A. Effect of Saltation Bombardment on the Entrainment of Dust by Wind. J. Geophys. Res. Atmos. 1993, 98, 12719–12726. [Google Scholar] [CrossRef] [Green Version]
- Prasad, M.N.V.; Pietrzykowski, M. Climate Change and Soil Interactions, 1st ed.; Elsevier: Cambridge, MA, USA, 2020. [Google Scholar] [CrossRef]
- Kust, G.; Andreeva, O.; Cowie, A. Land Degradation Neutrality: Concept development, practical applications and assessment. J. Environ. Manag. 2017, 195, 16–24. [Google Scholar] [CrossRef] [PubMed]
Publisher’s Note: MDPI stays neutral with regard to jurisdictional claims in published maps and institutional affiliations. |
© 2022 by the authors. Licensee MDPI, Basel, Switzerland. This article is an open access article distributed under the terms and conditions of the Creative Commons Attribution (CC BY) license (https://creativecommons.org/licenses/by/4.0/).