Is the Sand Bubbler Crab (Scopimera globosa) an Effective Indicator for Assessing Sandy Beach Urbanization and Adjacent Terrestrial Ecological Quality?
Abstract
1. Introduction
2. Materials and Methods
2.1. Study Area
2.2. Sampling Design and Sample Collection
2.3. Sample Processing
2.4. Urbanization Index
2.5. Remote-Sensing Ecological Index
2.6. Data Analysis
3. Results
3.1. Environmental Characteristics and Urbanization Index
3.2. RSEI of Adjacent Land
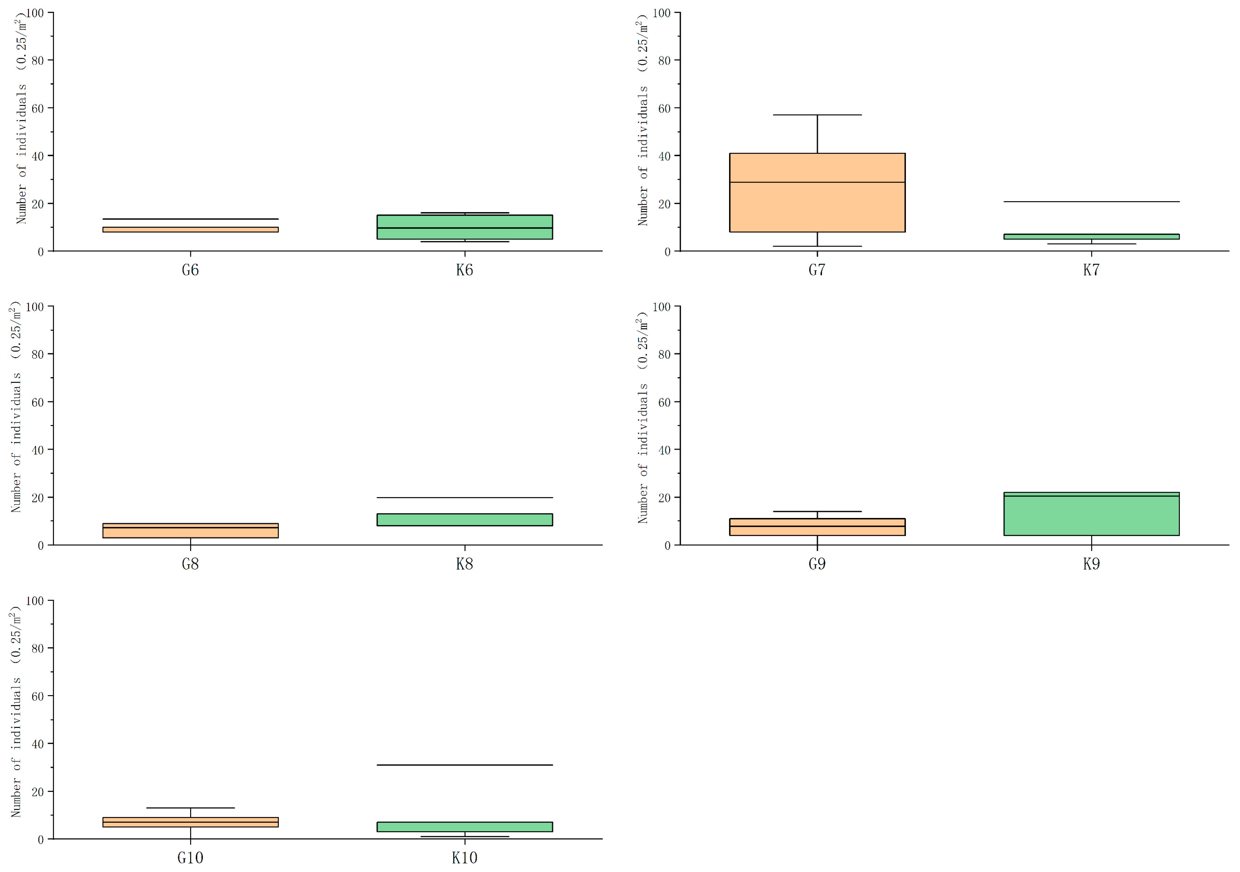
3.3. Sand Bubbler Crab on Sandy Beaches
3.4. Results of Multivariate Generalized Linear Models
4. Discussion
4.1. Urbanization Index on Sandy Beaches
4.2. Populations of Sand Bubbler Crabs on Sandy Beaches
4.3. Impact of Urbanization and Ecological Quality on Sand Bubbler Crab Populations
4.4. Recommendations for Future Research
5. Conclusions
Supplementary Materials
Author Contributions
Funding
Data Availability Statement
Conflicts of Interest
References
- Augusto, M.; Abude, R.R.S.; Cardoso, R.S.; Cabrini, T.M.B. Local Urbanization Impacts Sandy Beach Macrofauna Communities over Time. Front. Mar. Sci. 2023, 10, 1158413. [Google Scholar] [CrossRef]
- Liang, J.; Shu, M.-Y.; Huang, H.-R.; Ma, C.-W.; Kim, S.-K. Using Benthic Indices to Assess the Ecological Quality of Sandy Beaches and the Impact of Urbanisation on Sandy Beach Ecosystems. J. Mar. Sci. Eng. 2024, 12, 487. [Google Scholar] [CrossRef]
- Orlando, L.; Ortega, L.; Defeo, O. Urbanization Effects on Sandy Beach Macrofauna along an Estuarine Gradient. Ecol. Indic. 2020, 111, 106036. [Google Scholar] [CrossRef]
- Day, J.W.; Gunn, J.D.; Burger, J.R. Diminishing Opportunities for Sustainability of Coastal Cities in the Anthropocene: A Review. Front. Environ. Sci. 2021, 9, 663275. [Google Scholar] [CrossRef]
- Taibi, N.-E. Conflict Between Coastal Tourism Development and Sustainability: Case of Mostaganem, Western Algeria. Int. J. Sustain. Dev. 2016, 5, 13–24. [Google Scholar] [CrossRef]
- González, S.A.; Yáñez-Navea, K.; Muñoz, M. Effect of Coastal Urbanization on Sandy Beach Coleoptera Phaleria maculata (Kulzer, 1959) in Northern Chile. Mar. Pollut. Bull. 2014, 83, 265–274. [Google Scholar] [CrossRef]
- Checon, H.H.; Corte, G.N.; Shah Esmaeili, Y.; Muniz, P.; Turra, A. The Efficacy of Benthic Indices to Evaluate the Ecological Quality and Urbanization Effects on Sandy Beach Ecosystems. Sci. Total Environ. 2023, 856, 159190. [Google Scholar] [CrossRef]
- Costa, L.L.; Zalmon, I.R. Multiple Metrics of the Ghost Crab Ocypode quadrata (Fabricius, 1787) for Impact Assessments on Sandy Beaches. Estuar. Coast. Shelf Sci. 2019, 218, 237–245. [Google Scholar] [CrossRef]
- Schlender, K.; Corte, G.; Durdall, A.; Habtes, S.; Grimes, K.W. Urbanization Driving Ocypode quadrata Burrow Density, Depth, and Width across Caribbean Beaches. Ecol. Indic. 2023, 153, 110396. [Google Scholar] [CrossRef]
- Barbosa, T.M.; Carmo, R.F.R.; Silva, L.P.; Sales, R.G.; Vasconcelos, S.D. Diversity of Sarcosaprophagous Calyptratae (Diptera) on Sandy Beaches Exposed to Increasing Levels of Urbanization in Brazil. Environ. Entomol. 2017, 46, 460–469. [Google Scholar] [CrossRef]
- Laitano, M.V.; Chiaradia, N.M.; Nuñez, J.D. Clam Population Dynamics as an Indicator of Beach Urbanization Impacts. Ecol. Indic. 2019, 101, 926–932. [Google Scholar] [CrossRef]
- David, P.M. Crabs That Breathe Air with Their Legs-Scopimera and Dotilla. Nature 1986, 319, 493–495. [Google Scholar]
- Seo, J.; Koo, B.J. The Variation on Sediment Reworking with Influencing Factors by a Sand Bubbler Crab, Scopimera Globosa, in Intertidal Sediments of the Anmyeon Island, Korea. Sustainability 2021, 13, 5703. [Google Scholar] [CrossRef]
- Liang, J.; Ma, C.-W.; Kim, K.-B. Comparing the Environmental Impacts of Pollution from Two Types of Industrial Zones on the Coast. Front. Mar. Sci. 2024, 11, 1433536. [Google Scholar] [CrossRef]
- Schlacher, T.A.; Lucrezi, S.; Connolly, R.M.; Peterson, C.H.; Gilby, B.L.; Maslo, B.; Olds, A.D.; Walker, S.J.; Leon, J.X.; Huijbers, C.M.; et al. Human Threats to Sandy Beaches: A Meta-Analysis of Ghost Crabs Illustrates Global Anthropogenic Impacts. Estuar. Coast. Shelf Sci. 2016, 169, 56–73. [Google Scholar] [CrossRef]
- Koh, C.-H.; De Jonge, V.N. Stopping the Disastrous Embankments of Coastal Wetlands by Implementing Effective Management Principles: Yellow Sea and Korea Compared to the European Wadden Sea. Ocean Coast. Manag. 2014, 102, 604–621. [Google Scholar] [CrossRef]
- Liang, J.; Ma, C.-W. Impact of Anthropogenic Activities on the Biodiversity of Macrobenthos and Benthic Ecological Quality in the Mudflats of Hwangdo Island, South Korea: Field Surveys and Remote Sensing Assessments. Front. Mar. Sci. 2025, 12, 1533891. [Google Scholar] [CrossRef]
- Blott, S.J.; Pye, K. GRADISTAT: A Grain Size Distribution and Statistics Package for the Analysis of Unconsolidated Sediments. Earth Surf. Process. Landf. 2001, 26, 1237–1248. [Google Scholar] [CrossRef]
- Liang, J.; Ma, C.-W.; Kim, K.-B. Ecological Risk Assessment of Heavy Metals in Surface Sediments and Their Impact on Macrobenthos in Asan Bay, South Korea. Front. Mar. Sci. 2024, 11, 1450396. [Google Scholar] [CrossRef]
- Peres-Neto, P.R.; Legendre, P.; Dray, S.; Borcard, D. Variation Partitioning of Species Data Matrices: Estimation and Comparison of Fractions. Ecology 2006, 87, 2614–2625. [Google Scholar] [CrossRef]
- Xu, H. A Remote Sensing Urban Ecological Index and Its Application. Acta Ecol. Sin. 2013, 33, 7853–7862. [Google Scholar]
- Tang, H.; Fang, J.; Xie, R.; Ji, X.; Li, D.; Yuan, J. Impact of Land Cover Change on a Typical Mining Region and Its Ecological Environment Quality Evaluation Using Remote Sensing Based Ecological Index (RSEI). Sustainability 2022, 14, 12694. [Google Scholar] [CrossRef]
- Liang, J.; Huang, H.-R.; Shu, M.-Y.; Ma, C.-W. Assessing the Impact of Land-Based Anthropogenic Activities on the Macrobenthic Community in the Intertidal Zones of Anmyeon Island, South Korea. Land 2025, 14, 62. [Google Scholar] [CrossRef]
- López, F.A.; Matilla-García, M.; Mur, J.; Marín, M.R. Four Tests of Independence in Spatiotemporal Data. Pap. Reg. Sci. 2011, 90, 663–686. [Google Scholar] [CrossRef]
- Wang, Y.; Naumann, U.; Wright, S.T.; Warton, D.I. Mvabund– an R Package for Model-based Analysis of Multivariate Abundance Data. Methods Ecol. Evol. 2012, 3, 471–474. [Google Scholar] [CrossRef]
- Akaike, H. Information Theory and an Extension of the Maximum Likelihood Principle. In Selected Papers of Hirotugu Akaike; Parzen, E., Tanabe, K., Kitagawa, G., Eds.; Springer Series in Statistics; Springer: New York, NY, USA, 1998; pp. 199–213. ISBN 978-1-4612-7248-9. [Google Scholar]
- Burnham, K.P.; Anderson, D.R. (Eds.) Model Selection and Multimodel Inference; Springer: New York, NY, USA, 2004; ISBN 978-0-387-95364-9. [Google Scholar]
- Muff, S.; Nilsen, E.B.; O’Hara, R.B.; Nater, C.R. Rewriting Results Sections in the Language of Evidence. Trends Ecol. Evol. 2022, 37, 203–210. [Google Scholar] [CrossRef]
- Reyes-Martínez, M.J.; Ruíz-Delgado, M.C.; Sánchez-Moyano, J.E.; García-García, F.J. Response of Intertidal Sandy-Beach Macrofauna to Human Trampling: An Urban vs. Natural Beach System Approach. Mar. Environ. Res. 2015, 103, 36–45. [Google Scholar] [CrossRef]
- Defeo, O.; McLachlan, A.; Schoeman, D.S.; Schlacher, T.A.; Dugan, J.; Jones, A.; Lastra, M.; Scapini, F. Threats to Sandy Beach Ecosystems: A Review. Estuar. Coast. Shelf Sci. 2009, 81, 1–12. [Google Scholar] [CrossRef]
- Chen, P.Z.; Su, T.L.; Lim, S.S.L. To Hide or to Feed: An Evaluation of Personality Traits in the Sand Bubbler Crab, Dotilla Wichmanni, When Responding to Environmental Interference. Behav. Process. 2019, 164, 123–132. [Google Scholar] [CrossRef]
- Zhang, J.; Zhou, Q.; Cao, M.; Liu, H. Spatiotemporal Change of Eco-Environmental Quality in the Oasis City and Its Correlation with Urbanization Based on RSEI: A Case Study of Urumqi, China. Sustainability 2022, 14, 9227. [Google Scholar] [CrossRef]
- Liu, Y.; Meng, Q.; Zhang, L.; Wu, C. NDBSI: A Normalized Difference Bare Soil Index for Remote Sensing to Improve Bare Soil Mapping Accuracy in Urban and Rural Areas. Catena 2022, 214, 106265. [Google Scholar] [CrossRef]
- Zhang, W.; Zhang, W.; Ji, J.; Chen, C. Urban Ecological Quality Assessment Based on Google Earth Engine and Driving Factors Analysis: A Case Study of Wuhan City, China. Sustainability 2024, 16, 3598. [Google Scholar] [CrossRef]
- Kong, W.; Chang, W.; Xie, M.; Li, Y.; Wan, T.; Nie, X.; Mo, D. Long-Term Monitoring and Analysis of Key Driving Factors in Environmental Quality: A Case Study of Fujian Province. Forests 2024, 15, 1541. [Google Scholar] [CrossRef]
- Gormsen, E. The Impact of Tourism on Coastal Areas. GeoJournal 1997, 42, 39–54. [Google Scholar] [CrossRef]
- Das, S.; Bhattacharya, S. Factors Affecting Beach Walkability-Tourists’ Perception Study at Selected Beaches of West Bengal, India. J. Outdoor Recreat. Tour. 2021, 35, 100423. [Google Scholar] [CrossRef]
- Choi, K.H.; Yoon, K.S.; Choi, J.H.; Shin, Y.K.; Lee, J.C.; Suh, M.H.; Munyikwa, K.; Oh, K.H. Anthropogenic Geomorphological Changes during the Last Century in the Kangneung Area along the East Coast of Korea. J. Coast. Res. 2007, 50, 1015–1022. [Google Scholar] [CrossRef]
- Machado, P.M.; Suciu, M.C.; Costa, L.L.; Tavares, D.C.; Zalmon, I.R. Tourism Impacts on Benthic Communities of Sandy Beaches. Mar. Ecol. 2017, 38, e12440. [Google Scholar] [CrossRef]
- Gül, M.R.; Griffen, B.D. Impacts of Human Disturbance on Ghost Crab Burrow Morphology and Distribution on Sandy Shores. PLoS ONE 2018, 13, e0209977. [Google Scholar] [CrossRef]
- Gül, M.R.; Griffen, B.D. Changes in Claw Morphology of a Bioindicator Species across Habitats That Differ in Human Disturbance. Hydrobiologia 2020, 847, 3025–3037. [Google Scholar] [CrossRef]
- De, C. Ethological Interpretation of Making the Pellet Designs by the Bubbler Crab Dotilla on the Modern Intertidal Beaches: A Study from the Bay of Bengal Coast, Eastern India. Palaeontol. Electron. 2024, 27, a11. [Google Scholar] [CrossRef]




| Proximity to Urban Centers | Buildings on the Sand | Cleaning of the Beach | Solid Waste in the Sand | Traffic of Vehicles on the Sand | Frequency of Visitors | |
|---|---|---|---|---|---|---|
| Low | >4 km = 0 3–4 km = 1 | No buildings/structures = 0 One small building = 1 | None = 0 Occasional trash pickup = 1 | No trash observed across the entire beach = 0 Minimal (0–2 pieces of trash within 3 m2) = 1 | No access/traces = 0 Faint traces of potential traffic (1 old tire track observed) = 1 | None = 0 Very few = 1 |
| Medium | 2–3 km = 2 1–2 km = 3 | 2–3 small structures = 2 >3 small structures = 3 | Occasional raking = 2 Regular raking = 3 | Some waste (3–4 pieces of trash within 3 m2) = 2 Some waste (5 pieces of trash within 3 m2) = 3 | Weathered/scarce traces (1–2 faded tire tracks observed) = 2 Scarce/clear tracks (1–2 clear fresh tire tracks observed) = 3 | Several = 2 Many visitors; considered “popular” = 3 |
| High | 0.5–1 km = 4 0–0.5 km = 5 | 2 buildings/structures = 4 >3 buildings = 5 | Small machinery used = 4 Large machinery used = 5 | Multiple types/pieces of waste (6–7 pieces of trash within 3 m2) = 4 (7 + pieces of trash within 3 m2) = 5 | Frequent but limited traffic (3+ fresh tire tracks limited to one section of the beach) = 4 Frequent traffic across the entire beach (3+ tire tracks) = 5 | 2–3 people/minute = 4 >3 people/minute = 5 |
| p-Value | Language of Evidence |
|---|---|
| 1–0.1 | Little or no evidence |
| 0.1–0.05 | Weak evidence |
| 0.05–0.01 | Moderate evidence |
| 0.01–0.001 | Strong evidence |
| 0.001–0.0001 | Very strong evidence |
| Sandy Beach | Beach Temperature | p-Value | Mean Grain Size | p-Value | Ignition Loss | p-Value |
|---|---|---|---|---|---|---|
| G6 | 21–21.8 (21.4 ± 0.02) | p > 0.05 | 2.45–3.05 (2.86 ± 0.09) | p > 0.05 | 0.37–0.52 (0.42 ± 0.14) | p > 0.05 |
| K6 | 20.9–23.6 (22.6 ± 0.05) | 2.38–3.08 (2.85 ± 0.10) | 0.27–0.55 (0.43 ± 0.25) | |||
| G7 | 25.5–27.0 (26.3 ± 0.02) | p > 0.05 | 2.72–3.20 (2.89 ± 0.06) | p > 0.05 | 0.59–3.39 (1.54 ± 0.72) | p > 0.05 |
| K7 | 26.3–29.0 (27.8 ± 0.04) | 1.05–2.88 (2.33 ± 0.32) | 0.89–2.56 (1.57 ± 0.42) | |||
| G8 | 28.7–30.8 (29.6 ± 0.03) | p = 0.032 | 2.54–3.02 (2.86 ± 0.07) | p > 0.05 | 0.08–0.19 (0.11 ± 0.41) | p > 0.05 |
| K8 | 30.3–32.8 (31.4 ± 0.03) | 2.50–3.02 (2.81 ± 0.08) | 0.08–0.16 (0.11 ± 0.29) | |||
| G9 | 28.7–30.8 (29.6 ± 0.03) | p = 0.016 | 2.45–2.95 (2.80 ± 0.07) | p > 0.05 | 0.49–0.73 (0.61 ± 0.16) | p > 0.05 |
| K9 | 30.3–32.8 (31.4 ± 0.03) | 1.51–2.92 (2.61 ± 0.24) | 0.40–0.81 (0.57 ± 0.28) | |||
| G10 | 18.7–21.2 (20.1 ± 0.05) | p = 0.008 | 2.46–3.03 (2.78 ± 0.09) | p > 0.05 | 0.22–0.52 (0.37 ± 0.33) | p > 0.05 |
| K10 | 21.4–22.8 (21.9 ± 0.03) | 1.52–2.96 (2.66 ± 0.24) | 0.19–0.69 (0.44 ± 0.46) |
| G6 | K6 | G7 | K7 | G8 | K8 | G9 | K9 | G10 | K10 | |
|---|---|---|---|---|---|---|---|---|---|---|
| Proximity to urban centers | 2 | 3 | 2 | 3 | 2 | 3 | 2 | 3 | 2 | 3 |
| Buildings on the sand | 0 | 2 | 0 | 2 | 0 | 2 | 0 | 2 | 0 | 2 |
| Cleaning of the beach | 0 | 3 | 0 | 3 | 0 | 3 | 0 | 3 | 0 | 3 |
| Solid waste in the sand | 3 | 2 | 4 | 3 | 3 | 3 | 3 | 2 | 3 | 2 |
| Vehicles traffic on the sand | 0 | 1 | 1 | 3 | 0 | 3 | 0 | 3 | 0 | 1 |
| Visitor frequency | 1 | 5 | 3 | 5 | 3 | 5 | 2 | 5 | 1 | 5 |
| Urbanization index value | 0.2 | 0.5 | 0.3 | 0.6 | 0.3 | 0.6 | 0.2 | 0.6 | 0.2 | 0.5 |
| Biomass | Model | Urbanization Index | NDBSI | LST | AICi | Δi | Wi |
|---|---|---|---|---|---|---|---|
| M1 | + | - | + | 527.19 | 0 | 0.96 | |
| M2 | + | - | - | 534.08 | 6.89 | 0.03 | |
| M3 | - | + | - | 538.72 | 11.53 | 0 | |
| M4 | - | - | + | 538.97 | 11.78 | 0 | |
| M5 | - | + | + | 540.49 | 13.3 | 0 | |
| RI | 0.99 | 0.03 | 0.97 |
| Abundance | Model | Urbanization Index | NDVI | Wetness | AICi | Δi | Wi |
|---|---|---|---|---|---|---|---|
| M1 | + | - | - | 382.83 | 0 | 0.27 | |
| M2 | + | + | - | 383.23 | 0.40 | 0.22 | |
| M3 | + | - | + | 383.51 | 0.67 | 0.19 | |
| M4 | + | + | + | 384.16 | 1.33 | 0.14 | |
| M5 | - | + | - | 385.35 | 2.52 | 0.08 | |
| M6 | - | - | + | 385.58 | 2.74 | 0.07 | |
| M7 | - | + | + | 387.26 | 4.43 | 0.03 | |
| RI | 0.83 | 0.47 | 0.43 |
Disclaimer/Publisher’s Note: The statements, opinions and data contained in all publications are solely those of the individual author(s) and contributor(s) and not of MDPI and/or the editor(s). MDPI and/or the editor(s) disclaim responsibility for any injury to people or property resulting from any ideas, methods, instructions or products referred to in the content. |
© 2025 by the authors. Licensee MDPI, Basel, Switzerland. This article is an open access article distributed under the terms and conditions of the Creative Commons Attribution (CC BY) license (https://creativecommons.org/licenses/by/4.0/).
Share and Cite
Huang, H.-R.; Liang, J.; Ma, C.-W. Is the Sand Bubbler Crab (Scopimera globosa) an Effective Indicator for Assessing Sandy Beach Urbanization and Adjacent Terrestrial Ecological Quality? Land 2025, 14, 842. https://doi.org/10.3390/land14040842
Huang H-R, Liang J, Ma C-W. Is the Sand Bubbler Crab (Scopimera globosa) an Effective Indicator for Assessing Sandy Beach Urbanization and Adjacent Terrestrial Ecological Quality? Land. 2025; 14(4):842. https://doi.org/10.3390/land14040842
Chicago/Turabian StyleHuang, Hai-Rui, Jian Liang, and Chae-Woo Ma. 2025. "Is the Sand Bubbler Crab (Scopimera globosa) an Effective Indicator for Assessing Sandy Beach Urbanization and Adjacent Terrestrial Ecological Quality?" Land 14, no. 4: 842. https://doi.org/10.3390/land14040842
APA StyleHuang, H.-R., Liang, J., & Ma, C.-W. (2025). Is the Sand Bubbler Crab (Scopimera globosa) an Effective Indicator for Assessing Sandy Beach Urbanization and Adjacent Terrestrial Ecological Quality? Land, 14(4), 842. https://doi.org/10.3390/land14040842

